Univalent function
A regular or meromorphic function
in a domain
of the extended complex plane
such that
whenever
,
, that is,
is a one-to-one mapping from
into
. The inverse function
is then also univalent. Multivalent functions (cf. Multivalent function), and in particular
-valent functions, are a generalization of univalent functions.
In the study of univalent functions one of the fundamental problems is whether there exists a univalent mapping from a given domain
onto a given domain
. A necessary condition for the existence of such a mapping is that
and
have equal degrees of connectivity (see, for example, [1]). If
and
are simply-connected domains whose boundaries contain more than one point, then this condition is also sufficient (see Riemann theorem), and the problem reduces to mapping a given domain onto a disc. In this connection, a special role is played in the theory of univalent functions on simply-connected domains by the class
of functions
that are regular and univalent on the disc
, normalized by the conditions
,
, and having the expansion
![]() | (1) |
In the case of multiply-connected domains, mappings of a given multiply-connected domain onto so-called canonical domains are studied (see Conformal mapping). Let
be the class of functions
that are meromorphic and univalent on a domain
containing the point
, and having an expansion
![]() | (2) |
in a neighbourhood of
. If
, then this class is denoted by
.
The basic problems in the theory of univalent functions are the following: 1) the study of the correspondence of boundaries under conformal mapping (see Boundary correspondence (under conformal mapping); Limit elements; Attainable boundary point); 2) obtaining univalency conditions; and 3) the solution of various extremal problems in function theory, in particular obtaining bounds for various functionals and for the range of values of functionals (see below) and systems of them in some class or other.
Suppose that
is some class (set) of regular or meromorphic functions, and suppose that a complex functional
(or system of functionals
) is given on
. The range of values of the functional
(or of the system of functionals
) on the class
is the set
of points
in
(respectively, the set in points
in
-dimensional complex space
) such that
. Real-valued functionals are also considered. Any set
containing
is called a majorant domain of the functional (or of the system of functionals). Knowledge of the range of values of a functional enables one to reduce the solution of a number of extremal problems to simple problems in analysis. For example, if the range of values
is known for the functional
,
(
fixed), then the problem of finding upper and lower bounds for
reduces to finding the points of
farthest from and closest to the point
.
The first substantial results in the theory of univalent functions were obtained using the area principle. With the aid of the outer area theorem (1916), L. Bieberbach obtained precise upper and lower bounds for
and
for
(see Distortion theorems), gave the bound
for
and conjectured that
for
(see Bieberbach conjecture; Coefficient problem). He also found the exact value of the Koebe constant. Bounds were found for the modulus of a function and its derivative, as well as other bounds for the classes of convex, star-like, typically-real, etc., functions (cf. Convex function (of a complex variable); Star-like function; Typically-real function). The convexity radius and the radius of "star-likeness" were found for a number of classes (see Limit of star-likeness).
The basic methods of the theory of univalent functions and some of the results obtained from them are given below.
1. The method of integral representations.
This method enables one to solve many problems in the theory of functions quite simply, in particular extremal problems in classes of functions that can be represented by means of Stieltjes integrals: convex functions, close-to-convex functions, star-like functions, typically-real functions, and functions with positive real part (see Carathéodory class). A variational method (see [1]) was developed for classes of functions representable by Stieltjes integrals, by means of which a number of extremal problems have been solved. The method of internal variations (cf. Internal variations, method of) was developed for such classes.
The convex hulls of certain subclasses of
have been found (see [3]). In particular, it has been proved that for every star-like function
there exists a non-decreasing function
on
such that
and
![]() |
See also Integral representation of an analytic function; Parametric representation of univalent functions; Parametric representation method.
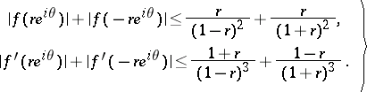
2. The method of boundary integration.
With the aid of this method it has been proved, in particular, that an
satisfies the inequality (see [1])
![]() |
![]() |
where
and
are complete elliptic integrals (cf. Elliptic integral). If
is fixed
, then this inequality determines the range of values of the functional
on the class
. Stronger versions of the distortion theorems were obtained, and theorems were proved on the distortion of chords in the classes
and
(see Distortion theorems and [1]).
See also Method of boundary integration; Area principle.
3. The area method.
Let
be the class of systems of functions
mapping the disc
conformally and univalently onto pairwise disjoint (non-overlapping) domains
and normalized by the conditions
. The following results have been obtained by means of the area theorem in the class
:
1) If
![]() |
then
![]() | (3) |
![]() |
this inequality generalizes an inequality previously known for real
to the class of complex
.
2) If
, then
![]() | (4) |
For the Bieberbach–Eilenberg functions
![]() |
there follows the inequality
![]() | (4prm) |
and conditions have been determined for equality to hold in (4) and (4prm).
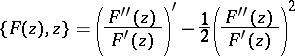
Using the area theorem for non-overlapping domains, bounds have been obtained for the approximation to a regular function on a closed multiply-connected domain by a rational function interpolating the given function at nodes uniformly distributed on the boundary of the domain (see [4]). The range of values of the Schwarzian
![]() |
has been obtained for
, and a number of other ranges of values have been found for classes of functions given on multiply-connected domains (see [4], [5]).
4. Löwner's method.
K. Löwner himself (1923) found the exact bound
for functions
and exact bounds for the coefficients of the expansion of the function inverse to
, in a neighbourhood of the point
. In particular, an exact form of the rotation theorem in the class
was obtained by this method (see Rotation theorems). The following theorem was proved: For
and given
and
, the following inequality is valid:
![]() | (5) |
where
,
, is determined by the condition
![]() |
Inequality (5) is sharp; it implies the following sharp inequalities in the class
(
,
):
![]() | (6) |
By means of distortion theorems it has been established that the Koebe function
![]() |
(
real) realizes the maximum of the linear measure of covering the circle
by the image
of the disc
under mappings by functions of class
when
. This property of functions of class
implies bounds for the area
of the domain
, bounds for the average modulus of a function, and other bounds in the class
; these are asymptotically sharp as
(see [1]).
A convenient reduction of extremal problems on
and some of its subclasses to certain extremal problems on a simpler class has been proposed (see Carathéodory class). This turns out to be applicable to the solution of several extremal problems, in particular to finding the range of values of the system of functionals
(here
,
, is fixed) for
(see [6]).
Löwner's method has been successfully applied to investigate the properties of level curves and to solve extremal problems in the subclass
of bounded functions
:
,
(see [6]).
See also Löwner equation; Löwner method; Parametric representation method.
5. Variational methods.
Boundary and internal variations in the solution of extremal problems lead to differential equations for the boundaries of the extremal domains and for extremal functions, respectively. As a rule, the left-hand side of these equations is a quadratic differential. Various qualitative characteristics of the functions realizing the extremum can be obtained by investigating the properties of the corresponding quadratic differentials. In particular, it turns out that for a large number of extremal problems in the class
(and in other classes), the extremal function maps the disc
onto the whole plane with a finite number of analytic slits. Sometimes the differential equation for the extremal function can be integrated, and one obtains the extremal quantity and all extremal functions in the problem considered. More often one only obtains one or a few equations for the extremal quantity. Some results obtained by variational methods are listed below.
Suppose that
, that
,
,
, do not belong to the image of the domain
under the mapping
, and that
![]() |
It has been proved that
![]() |
with equality only for
![]() |
where
is real (see [1]).
It has been proved (see [1]) that the range of values of the functional
![]() |
for
, where
are given numbers not all zero and
are given points in
, is the disc
![]() |
The problem has been investigated of extremizing
,
, in the class
of functions
that are regular and univalent in the disc
and do not take on given values
in
(see [1]). The special case
is the problem of determining a continuum of least capacity (for a consideration of this problem and its generalizations see [7]).
Various problems for non-overlapping domains have been investigated by a variational method. Thus, the problem of maximizing the product
![]() |
in the class
has been considered (see [1]). A precise bound has been obtained for the product
![]() |
where
are any given positive numbers, for
and 3 (see [1]). This problem is equivalent to the problem of finding the range
of the system of functionals
in the class
.
See also Variational principles (in complex function theory); Variation of a univalent function; Internal variations, method of; Boundary variation, method of; Variation-parametric method.
6. The method of the extremal metric.
In the solution of extremal problems by the method of the extremal metric, a fundamental role is played, as a rule, by the metric generated by a certain quadratic differential
. This is the same quadratic differential that arises in the solution of the problem by the variational method. As an example, two results obtained by this method are given below (see [1], [7]–[9]).
By means of the general coefficient theorem, J.A. Jenkins (1960) has solved the problem of the range of values of the functional
for fixed
in the disc
in the class
of functions in
with real coefficients
. In the classes
and
, where
is the class of functions
,
,
, that are meromorphic and univalent in the disc
, he clarified the influence of the vanishing of a certain number of the initial coefficients on the growth of the subsequent ones.
A supplement to the general coefficient theorem has been given in the case when the differential
has no poles of order higher than one; in addition, by means of the extremal-metric approach, very general theorems have been established on the covering of curves under a univalent conformal mapping of simply- and doubly-connected domains, including, in particular, a refinement of the result on covering of intervals for functions meromorphic and univalent on the disc, and an analogous result for a circular annulus (see [1]).
See also Grötzsch principle; Grötzsch theorems; Strip method (analytic functions); Quadratic differential; Bieberbach–Eilenberg functions; Extremal metric, method of the.
7. The method of symmetrization.
Several complicated extremal problems not lending themselves to solution by other methods have been solved by this method, often in conjunction with others. For example, the following problems are of this kind (see [1], [7]–[10]). For functions
in the class
, a sharp upper bound has been found for the set of points of the circle
,
, not belonging to the image of the disc
under the mapping
. In conjunction with the method of the extremal metric, a sharp upper bound has been found for
for fixed
,
, for
![]() |
with given
,
; the inequalities (6) have been generalized and extended to the class of functions that are
-valent in the mean on the circle:
![]() |
(see Multivalent function).
By the method of symmetrization it has been proved that if
is a convex and non-decreasing function on
, then for
and
,
![]() |
where
(see [11]). If equality holds for some
,
, and for some strictly convex function
, then
![]() |
where
is real.
See [12], [13] for applications of the method of symmetrization to multiply-connected domains. See also Symmetrization method.
References
| [1] | G.M. Goluzin, "Geometric theory of functions of a complex variable" , Transl. Math. Monogr. , 26 , Amer. Math. Soc. (1969) (Translated from Russian) |
| [2] | N.A. Lebedev, I.A. Aleksandrov, "On the variational method in classes of functions representable by means of Stieltjes integrals" Proc. Steklov Inst. Math. , 94 (1969) pp. 91–104 Trudy Mat. Inst. Steklov. , 94 (1968) pp. 79–89 |
| [3] | L. Brickman, T.H. MacGregor, D.R. Wilken, "Convex hulls of some classical families of univalent functions" Trans. Amer. Math. Soc. , 156 (1971) pp. 91–107 |
| [4] | N.A. Lebedev, "The area principle in the theory of univalent functions" , Moscow (1975) (In Russian) |
| [5] | I.M. Milin, "Univalent functions and orthonormal systems" , Transl. Math. Monogr. , 49 , Amer. Math. Soc. (1977) (Translated from Russian) |
| [6] | I.A. Aleksandrov, "Parametric extensions in the theory of univalent functions" , Moscow (1976) (In Russian) |
| [7] | G.V. Kuz'mina, "Moduli of families of curves and quadratic differentials" Proc. Steklov Inst. Math. , 139 (1982) Trudy Mat. Inst. Steklov. , 139 (1980) pp. 1–241 |
| [8] | J.A. Jenkins, "Univalent functions and conformal mappings" , Springer (1958) |
| [9] | C. Pommerenke, "Univalent functions" , Vandenhoeck & Ruprecht (1975) |
| [10] | W.K. Hayman, "Multivalent functions" , Cambridge Univ. Press (1958) |
| [11] | A. Baernstein, "Integral means, univalent functions and circular symmetrization" Acta Math. , 133 (1974) pp. 139–169 |
| [12] | O.P. Mityuk, "The symmetrization principle for multiply-connected domains and certain of its applications" Ukrain. Mat. Zh. , 17 : 4 (1965) pp. 46–54 (In Russian) |
| [13] | I.P. Mityuk, "The symmetrization principle for an annulus and certain of its applications" Sibirsk. Mat. Zh. , 6 : 6 (1965) pp. 1282–1291 (In Russian) |
Comments
Instead of "univalent function" the phrase "Schlicht function" is sometimes used.
References
| [a1] | P.L. Duren, "Univalent functions" , Springer (1983) pp. Sect. 10.11 |
| [a2] | A.W. Goodman, "Univalent functions" , 1–2 , Mariner (1983) |
Univalent function. Encyclopedia of Mathematics. URL: http://encyclopediaofmath.org/index.php?title=Univalent_function&oldid=17211


























