Convex function (of a complex variable)
A regular univalent function
![]() |
in the unit disc
mapping the unit disc onto some convex domain. A regular univalent function
is a convex function if and only if the tangent to the image of
,
, at the point
rotates only in one direction as the circle is traversed. The following inequality expresses a necessary and sufficient condition for convexity of
:
![]() | (1) |
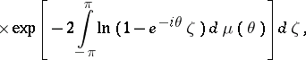
On the other hand,
is a convex function if and only if it can be parametrically expressed as follows:
![]() | (2) |
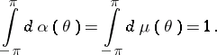
where
is a non-decreasing real-valued function on
such that
![]() |
and
are complex constants,
. Formula (2) can be regarded as a generalization of the Christoffel–Schwarz formula for mappings of the disc
onto convex polygons.
Let
be the class of all convex functions in
normalized by the conditions
,
; let
,
be the subclasses of
consisting of functions that map
onto convex domains of the
-plane with a
-fold symmetry of rotation about the point
,
. The classes
are compact with respect to uniform convergence on compact sets inside
. Their integral representations, in particular formula (2) for
, make it possible to develop variational methods for the solution of extremal problems in the classes
[2], [3], [4], [5].
Fundamental extremal properties of
may be described by the following sharp inequalities:
![]() |
![]() |
![]() |
![]() |
The argument of the function is understood to mean the branch that vanishes if
. In all these estimates the equality sign holds for the function
,
, only. Sharp bounds are also available for the ratio
between the curvature
of the boundary
of the domain
on the class
,
at the point
and the curvature
of the pre-image of
, i.e. the circle
at the point
. The disc
belongs to the domains
,
, and the radius of this circle cannot be increased without imposing additional restrictions on the class of functions. If
, the univalent function
will be star-shaped in
, i.e. will map
onto a domain that is star-shaped with respect to the coordinate origin.
Examples of generalizations and modifications of the class
and its subclasses include: the class
of functions
univalent in
, regular for
and mapping
onto a domain with a convex complement; the class
of functions
regular in the annulus
and normalized in a certain manner, each one of them mapping this annulus univalently onto a domain such that the finite component of its complement is convex and its union with this component is convex as well; and the class
of functions in
with real coefficients in the Taylor series in a neighbourhood of the point
. The concept of a convex function can be extended to multi-valent functions (cf. [2], Appendix).
Of independent interest is the following generalization of a convex function [6]: A function
regular in the disc
is called close-to-convex if there exists a convex function
,
, on
such that, everywhere in
,
![]() |
It has been proved that all functions
in this class
are univalent, and necessary and sufficient conditions for a function
to belong to
have been found. The parametric representation of functions
with the aid of Stieltjes integrals is
![]() |
![]() |
where
and
are non-decreasing real-valued functions with
![]() |
The class
includes convex, star-shaped and other functions. The Bieberbach conjecture,
, is valid for functions
. The following sharp estimates are known:
![]() |
![]() |
![]() |
The argument of a function is understood to mean the branch that vanishes if
. In all these estimates the equality sign holds for the function
,
, only. Geometrically, functions
of class K are characterized by the fact that they map the disc
onto domains
whose exterior
can be filled by rays
drawn from points on the boundary of the domain,
. The concept of a close-to-convex function has been extended to multi-valent functions [7].
References
| [1] | I.I. [I.I. Privalov] Priwalow, "Einführung in die Funktionentheorie" , 1–3 , Teubner (1958–1959) (Translated from Russian) |
| [2] | G.M. Goluzin, "Geometric theory of functions of a complex variable" , Transl. Math. Monogr. , 26 , Amer. Math. Soc. (1969) (Translated from Russian) |
| [3] | V.A. Zmorovich, "On some variational problems in the theory of univalent functions" Ukrain. Math. Zh. , 4 : 3 (1952) pp. 276–298 (In Russian) |
| [4] | I.A. Aleksandrov, V.V. Chernikov, "Extremal properties of star-shaped mappings" Sibirsk. Mat. Zh. , 4 : 2 (1963) pp. 261–267 (In Russian) |
| [5] | V.A. Zmorovich, "On certain classes of analytic functions, univalent in an annulus" Mat. Sb. , 32 (74) : 3 (1953) pp. 633–652 (In Russian) |
| [6] | W. Kaplan, "Close-to-convex schlicht functions" Michigan Math. J. , 1 (1952) pp. 169–185 |
| [7] | D. Styer, "Close-to-convex multivalued functions with respect to weakly starlike functions" Trans. Amer. Math. Soc. , 169 (1972) pp. 105–112 |
Comments
With the phrase "sharp estimatesharp estimate" is meant an estimate which cannot be improved (as is usual in complex analysis).
The Bieberbach conjecture has been proved for arbitrary (normalized) univalent functions in
, see Bieberbach conjecture and the references to it.
Convex function (of a complex variable). I.A. AleksandrovYu.D. Maksimov (originator), Encyclopedia of Mathematics. URL: http://encyclopediaofmath.org/index.php?title=Convex_function_(of_a_complex_variable)&oldid=14229














