Generalized function
A mathematical concept generalizing the classical concept of a function. The need for such a generalization arises in many problems in engineering, physics and mathematics. The concept of a generalized function makes it possible to express in a mathematically-correct form such idealized concepts as the density of a material point, a point charge or a point dipole, the (space) density of a simple or double layer, the intensity of an instantaneous source, etc. On the other hand, the concept of a generalized function reflects the fact that in reality a physical quantity cannot be measured at a point; only its mean values over sufficiently small neighbourhoods of a given point can be measured. Thus, the technique of generalized functions serves as a convenient and adequate apparatus for describing the distributions of various physical quantities. Hence generalized functions are also called distributions.
Generalized functions were first introduced at the end of the 1920-s by P.A.M. Dirac (see [1]) in his research on quantum mechanics, in which he made systematic use of the concept of the
-function and its derivatives (see Delta-function). The foundations of the mathematical theory of generalized functions were laid by S.L. Sobolev [2] in 1936 by solving the Cauchy problem for hyperbolic equations, while in the 1950-s L. Schwartz (see [3]) gave a systematic account of the theory of generalized functions and indicated many applications. The theory was then intensively developed by many mathematicians and theoretical physicists, mainly in connection with the needs of theoretical and mathematical physics and the theory of differential equations (see [4]–[7]). The theory of generalized functions has made great advances, has numerous applications, and is extensively used in mathematics, physics and engineering.
Formally, a generalized function
is defined as a continuous linear functional on some vector space of sufficiently "good" (test) functions
;
. An important example of a test space is the space
— the collection of
-functions on an open set
, with compact support in
, endowed with the topology of the strong inductive limit (union) of the spaces
,
,
compact,
. The space
is the collection of
-functions with support in
, with the topology given by the countable set of norms
![]() |
An example of a test function in
is the "cap functioncap" :
![]() |
![]() |
The space of generalized functions
is the space dual to
;
,
. Convergence of a sequence of generalized functions in
is defined as weak convergence of functionals in
, that is,
, as
, in
means that
, as
, for all
.
For a linear functional
on
to be a generalized function in
, that is,
, it is necessary and sufficient that for any open set
there exist numbers
and
such that
![]() | (1) |
If the integer
in (1) can be chosen independently of
, then the generalized function
has finite order; the least such
is called the order of
in
. Thus, by (1), every generalized function
has finite order in any relatively compact
.
The space
is complete: If a sequence of generalized functions
,
in
is such that for any
the sequence of numbers
converges, then the functional
![]() |
belongs to
.
The simplest examples of generalized functions are those generated by locally integrable functions on
:
![]() | (2) |
Generalized functions definable by (2) in terms of locally integrable functions
on
are called regular generalized functions on
; the remaining generalized functions are called singular. There is a one-to-one correspondence between locally integrable functions on
and regular generalized functions on
. In this sense, the "ordinary" , that is, locally integrable on
, functions are (regular) generalized functions in
.
An example of a singular generalized function on
is the Dirac
-function
![]() |
It describes the density of a unit mass concentrated at the point
. The "cap"
(weakly) approximates the
-function:
![]() |
Let
and let
be a "cap" . Then the function
![]() |
in
is called the regularization of
, and
, as
, in
. Moreover, each
in
is the weak limit of functions in
. The latter property is sometimes taken as the starting point for the definition of a generalized function; together with the theorem on the completeness of the space of generalized functions it leads to an equivalent definition of generalized functions [8].
In general, a generalized function need not have a value at an individual point. Nonetheless, one speaks of a generalized function coinciding with a locally integrable function on an open set: A generalized function
coincides on
with a locally integrable function
on
if its restriction to
is
, that is, in accordance with (2), if
![]() |
for all
. One then says that
,
. In particular, with
one obtains a definition of the vanishing of a generalized function
in
. The set of points
of
with the property that
does not vanish on any neighbourhood of
is called the support of
, denoted by
(cf. also Support of a generalized function). If
and is relatively compact, then
is called of compact support in
.
The following theorem on piecewise glueing generalized functions holds: Suppose that for each
a generalized function
in
is given, where
is a neighbourhood of
, so that the elements
are compatible, that is,
in
; then there exists a generalized function
in
that coincides with
in
for all
.
Examples of generalized functions.
1) The Dirac
-function:
.
2) The generalized function
, defined by
![]() |
is called the finite part, or principal value, of the integral of
;
. The distribution
is singular on
, but on the open set
it is regular and coincides with
.
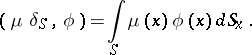
3) The surface
-function. Let
be a piecewise-smooth surface and let
be a continuous function on
. The generalized function
is defined by
![]() |
Here
for
, and
is a singular function. This generalized function describes the space density of masses or charges concentrated on
with surface density
(density of a simple layer).
Linear operations on generalized functions are introduced as extensions of the corresponding operations on the test functions.
Change of variables.
Let
and let
be a linear transformation of
onto
. The generalized function
in
is defined by
![]() | (3) |
Since the operation
is an isomorphism of
onto
, the operation
is an isomorphism of
onto
. In particular, if
,
,
(
is a similarity (with a reflection if
)), then
![]() |
if
(
is a shift by
), then
![]() |
Formula (3) enables one to define generalized functions that are translation invariant, spherically symmetric, centrally symmetric, homogeneous, periodic, Lorentz invariant, etc.
Let the function
have only simple zeros
on the line
. The function
is defined by
![]() |
Examples.
4)
.
5)
.
6)
,
.
7)
.
Products.
Let
and
. The product
is defined by
![]() |
It turns out that
, and for ordinary integrable functions
coincides with the usual multiplication of the functions
and
(cf. also Generalized functions, product of).
Examples.
8)
.
9)
.
However, this product operation cannot be extended to arbitrary generalized functions in such a way that it is associative and commutative. In fact, if this could be done, then one obtains a contradiction:
![]() |
![]() |
![]() |
Such a product can be defined for certain classes of generalized functions, but it may fail to be uniquely defined.
Differentiation.
Let
. The generalized (weak) derivative of
,
![]() |
of order
is defined by
![]() | (4) |
Since the operation
is linear and continuous from
into
, the functional
defined by the right-hand side of (4) is a generalized function in
. If
, then
for all
with
.
The following properties hold: the operation
is linear and continuous from
into
, and any generalized function in
is infinitely differentiable (in the generalized sense); the derivative does not depend on the order of differentiation; the Leibniz formula is valid for the differentiation of a product
, where
; differentiation does not enlarge the support; for any open set
, every generalized function in
is a derivative of a continuous function in
; any differential equation
,
, with constant coefficients can be solved in
, if
is a convex domain; any generalized function of order
with support at the point
can be uniquely represented in the form
![]() |
Examples.
10)
, where
is the Heaviside function (jump function):
![]() |
11)
;
describes the charge density of a dipole of moment
at the point
, oriented along the positive
-axis.
12) The normal derivative of the density of a simple layer on an orientable surface
is a generalization of
:
![]() |
The generalized function
describes the space charge density corresponding to a distribution of dipoles on
with moment surface density
and oriented along a given direction of the normal
to
(density of a double layer).
13) The general solution of the equation
in the class
is
, where
is an arbitrary constant.
14) The general solution of the equation
in the class
is
.
15)
,
.
16) The trigonometric series
![]() |
converges in
; it can be differentiated term by term infinitely many times in
.
17)
.
Cf. also Generalized function, derivative of a.
Direct products.
Let
and
. Their direct product is defined by the formula
![]() | (5) |
Since the operation
is linear and continuous from
into
, the functional
, defined by (5), is a generalized function in
. The direct product is a commutative and associative operation, and
![]() |
A generalized function
in
does not depend on
if it can be represented in the form
![]() |
in this case one writes
.
Examples.
18)
.
19) The general solution in
of the equation for the vibration of a homogeneous string,
, is given by
![]() |
where
and
are arbitrary generalized functions in
.
Convolution.
Let
and
be generalized functions in
with the property that their direct product
can be extended to functions of the form
, where
runs through
, in the following sense: For every sequence of functions
in
with the properties
![]() |
![]() |
(on any compact set), the sequence of numbers
has a limit independent of the sequence
. This limit is called the convolution of
and
, and is denoted by
. Thus,
![]() | (6) |
The completeness of
implies that
. As elementary examples show, the convolution does not exist for all pairs
and
. It does exists if one of the generalized functions is of compact support. If the convolution exists in
, then it is commutative,
, and the following formulas for the differentiation of a convolution are valid:
![]() | (7) |
Also
![]() | (8) |
hence, from (7),
![]() |
Finally
![]() |
The example
![]() |
![]() |
shows that convolution is a non-associative operation. However, associative (and commutative) convolution algebras exist. By (8), the
-function is the identity element in them. For example, a convolution algebra is formed by the set
consisting of the generalized functions in
with support in a convex acute closed cone
with vertex at
. One writes:
![]() |
A generalized function
in
is called a fundamental solution (point-source function) of a differential operator
with constant coefficients if it satisfies the equation
![]() |
If a fundamental solution
of
is known, then a solution can be constructed for the equation
for those
in
for which the convolution
exists, and this solution is given by
.
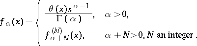
Examples.
20) The kernel of a fractional differentiation or integration operator
,
:
![]() |
Here
,
,
,
,
an integer. If
, then
is the primitive of order
for
(derivative of order
for
).
21)
,
![]() |
22)
,
![]() |
23)
,
![]() |
Fourier transformation.
It is defined on the class
of generalized functions of slow growth. The space of test functions
consists of the
-functions that decrease at infinity together with all their derivatives faster than any power of
. The topology of
is given by the countable set of norms
![]() |
Here
and
, and these imbeddings are continuous. Functions of slow growth that are locally integrable on
are in
, and define regular functionals on
by formula (2).
Every generalized function in
is a derivative of a continuous function of slow growth, and so has finite order on
.
The Fourier transform
of a generalized function
in
is defined by the equation
![]() |
where
![]() |
is the classical Fourier transform. Since the operation
is an isomorphism of
onto
, the operation
is an isomorphism of
onto
, and the inverse of
is given by
![]() |
The following basic formulas hold for
:
![]() |
![]() |
![]() |
if
has compact support. If the generalized function
is periodic with
-period
,
, then
, and it can be expanded in a trigonometric series
![]() |
converging to
in
. Here
![]() |
Examples.
24)
; in particular,
.
25)
; in particular,
.
26)
.
Cf. also Fourier transform of a generalized function.
Laplace transformation.
Let the generalized function
, where
is a closed convex acute cone. Let
, where
is the cone dual to
. The Laplace transform of
is defined by
![]() | (9) |
The mapping
defines an isomorphism of the convolution algebra
onto the algebra
consisting of the functions
that are holomorphic in the wedge
and that satisfy the following growth condition: There exist numbers
and
such that for any cone
(i.e.
) there exists a number
such that
![]() |
The inverse of the Laplace transform
is given by the equation
![]() | (10) |
where the right-hand side of (10) is independent of
.
The one-to-one correspondence between
and
given by equations (9) and (10) can be conveniently represented by the following scheme:
![]() |
in which
is called the transform of
, and
the spectral function of
.
Every
in the algebra
has a boundary value
as
,
, in
, related to the spectral function
of
by the formula
according to (9). The following basic formulas hold for the Laplace transform:
![]() |
![]() |
![]() |
Example.
27)
; in particular,
![]() |
References
| [1] | P.A.M. Dirac, "The principles of quantum mechanics" , Clarendon Press (1947) MR0023198 Zbl 0030.04801 |
| [2] | S.L. Sobolev, "Méthode nouvelle à résoudre le problème de Cauchy pour les équations linéaires hyperboliques normales" Mat. Sb. , 1 (1936) pp. 39–72 |
| [3] | L. Schwartz, "Théorie des distributions" , 1–2 , Hermann (1950–1951) MR2067351 MR0209834 MR0117544 MR0107812 MR0041345 MR0035918 MR0032815 MR0031106 MR0025615 Zbl 0962.46025 Zbl 0653.46037 Zbl 0399.46028 Zbl 0149.09501 Zbl 0085.09703 Zbl 0089.09801 Zbl 0089.09601 Zbl 0078.11003 Zbl 0042.11405 Zbl 0037.07301 Zbl 0039.33201 Zbl 0030.12601 |
| [4] | N.N. Bogolyubov, A.A. Logunov, I.T. Todorov, "Introduction to axiomatic quantum field theory" , Benjamin (1975) (Translated from Russian) MR452277 |
| [5] | I.M. Gel'fand, G.E. Shilov, "Generalized functions" , 1–5 , Acad. Press (1966–1968) (Translated from Russian) Zbl 0801.33020 Zbl 0699.33012 Zbl 0159.18301 Zbl 0355.46017 Zbl 0144.17202 Zbl 0115.33101 Zbl 0108.29601 |
| [6] | V.S. Vladimirov, "Equations of mathematical physics" , MIR (1984) (Translated from Russian) MR0764399 Zbl 0954.35001 Zbl 0652.35002 Zbl 0695.35001 Zbl 0699.35005 Zbl 0607.35001 Zbl 0506.35001 Zbl 0223.35002 Zbl 0231.35002 Zbl 0207.09101 |
| [7] | V.S. Vladimirov, "Generalized functions in mathematical physics" , MIR (1979) (Translated from Russian) MR0564116 MR0549767 Zbl 0515.46034 Zbl 0515.46033 |
| [8] | P. Antosik, J. Mikusiński, R. Sikorski, "Theory of distributions. The sequential approach" , Elsevier (1973) MR0365130 Zbl 0267.46028 |
Comments
The notation
means that the closure
is contained in
. Usually the support of a function (or distribution) is defined as the closure of the set of points where it is non-zero.
References
| [a1] | K. Yosida, "Functional analysis" , Springer (1980) pp. Chapt. 8, Sect. 4; 5 MR0617913 Zbl 0435.46002 |
| [a2] | D.S. Jones, "The theory of generalized functions" , Cambridge Univ. Press (1982) |
| [a3] | W. Rudin, "Functional analysis" , McGraw-Hill (1974) MR1157815 MR0458106 MR0365062 Zbl 0867.46001 Zbl 0253.46001 |
| [a4] | L.V. Hörmander, "The analysis of linear partial differential operators" , 1 , Springer (1983) MR0717035 MR0705278 Zbl 0521.35002 Zbl 0521.35001 |
Generalized function. Encyclopedia of Mathematics. URL: http://encyclopediaofmath.org/index.php?title=Generalized_function&oldid=34447





























































