Siegel method
A method for investigating the arithmetical properties of the values assumed at algebraic points by $E$-functions that satisfy linear differential equations with coefficients in
; first proposed by C.L. Siegel [1].
An entire function
![]() |
is called an
-function if all its coefficients
belong to an algebraic field of finite degree (cf. Algebraic number; Field), if for every
the maximum modulus of the
is
and if there exists a sequence of rational integers
such that
is an algebraic integer for
. Examples are
,
and the Bessel function
(cf. Bessel functions).
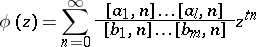
Let
, and
,
. If
and
are rational numbers,
and
, then the function
![]() |
is an
-function; it satisfies a linear differential equation of order
with coefficients in
.
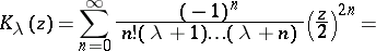
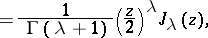
Siegel's main result pertains to the values of the function
![]() |
![]() |
where
is the Bessel function. If
is a rational number,
then for any algebraic number
the numbers
and
are algebraically independent over
(cf. Algebraic independence).
In 1949 Siegel presented his method in a general setting, but the conditions that had to be imposed on the
-functions
so that their values could be assumed algebraically independent proved to be very hard to check. He was therefore unable to achieve any concrete new results.
Further development and generalization of Siegel's method should be credited to A.B. Shidlovskii (see [2]–[3]): Let
be
-functions which constitute a solution to the system of differential equations
![]() | (1) |
and let
be an algebraic number distinct from zero and from the singular points of the system (1); then the
numbers
are algebraically independent over
if and only if the functions
are algebraically independent over
. This theorem implies, in particular, that if
are algebraically independent, then all the numbers
are transcendental (cf. Transcendental number); the same holds for all non-zero
-points of the functions
distinct from the poles of the system (1), provided
is algebraic. The theorem has produced a great number of results concerning specific
-functions, and algebraic independence proofs for values of
-functions satisfying linear homogeneous and inhomogeneous differential equations of order higher than two. For example, the function
![]() |
satisfies a linear differential equation of order
with coefficients in
; it can be proved that for any algebraic number
, the
numbers
,
;
, are algebraically independent over
.
Under the same conditions, the maximum number of numbers
which are algebraically independent over
is equal to the maximum number of functions
which are algebraically independent over
. If
are
-functions that are algebraically independent over
and that satisfy the system (1), then for all points
, with the possible exception of finitely many, the numbers
are algebraically independent over
. In each specific case the exceptional points can actually be determined.
These theorems provide the solution to virtually all problems of a general nature concerning transcendence and algebraic independence of the values of
-functions at algebraic points.
Siegel's methods enables one to estimate the measure of algebraic independence of the numbers
, thus giving the results a quantitative form. If the functions
are algebraically independent, then
, where
is independent of
and
depends only on
and the degree of the algebraic number
.
References
| [1] | C.L. Siegel, "Ueber einige Anwendungen Diophantischer Approximationen" Abh. Deutsch. Akad. Wiss. Phys.- Math. Kl. : 1 (1929) pp. 1–41 |
| [2] | A.B. Shidlovskii, "On tests for algebraic independence of the values of a class of entire functions" Izv. Akad. Nauk SSSR Ser. Mat. , 23 : 1 (1959) pp. 35–66 (In Russian) |
| [3] | A.B. Shidlovskii, "On transcendency and algebraic independence of values of -functions related with an arbitrary number of algebraic equations in the rational function field" Izv. Akad. Nauk SSSR Ser. Mat. , 26 : 6 (1962) pp. 877–910 (In Russian) |
| [4] | A.B. Shidlovskii, "On arithmetic properties of values of analytic functions" Proc. Steklov Inst. Math. , 132 (1972) pp. 193–233 Trudy Mat. Inst. Steklov. , 132 (1972) pp. 169–202 |
| [5] | S. Lang, "A transcendence measure for -functions" Mathem. , 9 (1962) pp. 157–161 |
| [6] | N.I. Fel'dman, A.B. Shidlovskii, "The development and present state of the theory of transcendental numbers" Russian Math. Surveys , 22 : 3 (1967) pp. 1–79 Uspekhi Mat. Nauk , 22 : 3 (1967) pp. 3–81 |
Comments
In the article above,
is the measure of algebraic independence, cf. Algebraic independence, measure of.
References
| [a1] | A.B. Shidlovskii, "Transcendental numbers" , de Gruyter (1989) (Translated from Russian) |
| [a2] | Y. André, " -functions" , Vieweg (1989) |
Siegel method. Encyclopedia of Mathematics. URL: http://encyclopediaofmath.org/index.php?title=Siegel_method&oldid=37572






-functions related with an arbitrary number of algebraic equations in the rational function field" Izv. Akad. Nauk SSSR Ser. Mat. , 26 : 6 (1962) pp. 877–910 (In Russian)
-functions" Mathem. , 9 (1962) pp. 157–161
-functions" , Vieweg (1989)