Namespaces
Variants
Actions

Cylinder functions

From Encyclopedia of Mathematics
Revision as of 16:59, 7 February 2011 by 127.0.0.1 (talk) (Importing text file)
(diff) ← Older revision | Latest revision (diff) | Newer revision → (diff)
Jump to: navigation, search

Bessel functions

Solutions of the Bessel differential equation

(1)

where is an arbitrary real or complex number (see Bessel equation).

Cylinder functions of arbitrary order.

If is not an integer, then the general solution of equation (1) has the form

where and are constants and are the so-called cylinder functions of the first kind or Bessel functions. They have the expansion

The series for on the right-hand side converges absolutely and uniformly for all , , where and are arbitrary positive numbers. The functions and are analytic with singular points and ; the derivatives of and satisfy the following identity:

(2)

But if is an integer, then and are linearly independent and the linear combinations of them no longer yield the general solutions of (1). Therefore, apart from cylinder functions of the first kind one introduces cylinder functions of the second kind (or Neumann functions, Weber functions, cf. Neumann functions):

(3)

(another notation is ). By means of these functions the general solution of equation (1) can be written in the form

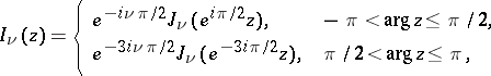
For applications, cylinder functions of the third kind (or Hankel functions) are also important, being solutions of (1). They are denoted by and , where by definition

The identities

(4)

and the relations

hold. For real and the Hankel functions are complex-conjugate solutions of (1). The functions give the real part and the functions give the imaginary part of the Hankel functions.

The cylinder functions of the first, second and third kind satisfy the recurrence formulas

(5)

Every pair of functions

forms (when is not an integer) a fundamental system of solutions of (1).

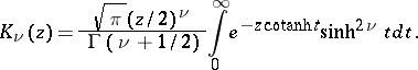
Modified cylinder functions are cylinder functions of an imaginary argument:

and the Macdonald functions (cf. Macdonald function)

These functions are solutions of the differential equation

and satisfy the recurrence formulas

(6)
(7)

Cylinder functions of integral and half-integral orders.

If is an integer, can be defined by means of the Jacobi–Anger formulas

or

The equalities

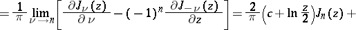
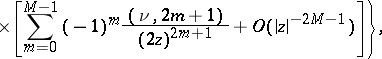
hold. The function is an entire transcendental function of the argument ; when , , is algebraic, is a transcendental number, and for . As a second solution of (1), linearly independent of , one takes, as a rule, the function

(8)

where is Euler's constant. If in one of the finite sums the upper summation index is less than the lower one, the corresponding sum has the value 0. The equality

holds.

Cylinder functions turn into elementary functions if and only if the index takes the values , (spherical Bessel functions or cylinder functions of half-integral order). The following formulas hold :

in particular, ;

in particular, ;

Integral representations of cylinder functions.

When there are Bessel's integral representations

and

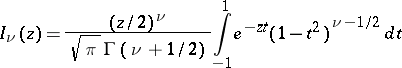
For and there are Poisson's integral representations

and

Apart from these there are many other integral representations, in particular in the form of contour integrals (see [2], [4], [5]).

Asymptotic behaviour of cylinder functions.

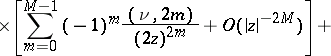
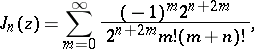
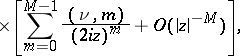
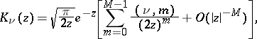
For , , , one has

For real ,

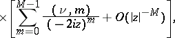
For , there is the following estimate

(9)
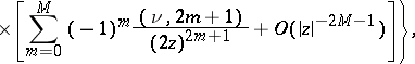
(10)

For the series (9) and (10) terminate. The Hankel functions are the only cylinder functions that tend to 0 for complex values of the variable as (and this is their merit in applications):

For large values of and asymptotic series of special types are used (see [1], [2], [3], [5]).

Zeros of cylinder functions.

The zeros of an arbitrary cylinder function are simple except for . If and are real, then between two real zeros of lies one real zero of . For real , has infinitely many real zeros; for all zeros of are real; if are the positive zeros of , then

For , for the smallest positive zero of . The pairs of functions ; , have no common zeros except . If

then has exactly complex zeros, two of which are pure imaginary; if , , then has exactly complex zeros with non-zero real part.

Addition theorems and series expansions of cylinder functions.

The following addition theorems hold:

where

and

are the ultraspherical polynomials. In expansions of cylinder functions one uses Lommel polynomials (cf. Lommel polynomial), Neumann series, Fourier–Bessel series, and Dirichlet series.

Connected with spherical functions are the Anger functions, the Struve functions, the Lommel functions (cf. Anger function; Struve function; Lommel function), as well as the Kelvin functions and the Airy functions.

Cylinder functions can be defined as limit functions of spherical functions in the following way:

Here, asymptotic representations of spherical functions are connected with cylinder functions and vice versa, for example, as in Hilb's formula

and in the expansions of Macdonald, Watson, Tricomi, and others (see [1], [2], [4]).

Calculation of values of cylinder functions on a computer.

For the numerical evaluation of the functions , , , , , , , , approximations by polynomials and rational functions are convenient (see [5]). For expansions with respect to Chebyshev polynomials see [6]. For the calculation of functions of large integral order, especially on a computer, one uses the recurrence relations (5)–(7) (see [5]).

Information on tables of cylinder functions can be found in [7], [8], [9].

References

[1] G.N. Watson, "A treatise on the theory of Bessel functions" , 1 , Cambridge Univ. Press (1952)
[2] H. Bateman (ed.) A. Erdélyi (ed.) et al. (ed.) , Higher transcendental functions , 2. Bessel functions, parabolic cylinder functions, orthogonal polynomials , McGraw-Hill (1953)
[3] N.N. Lebedev, "Special functions and their applications" , Prentice-Hall (1965) (Translated from Russian)
[4] I.S. Gradshtein, I.M. Ryzhik, "Table of integrals, series and products" , Acad. Press (1980) (Translated from Russian)
[5] M. Abramowitz, I.A. Stegun, "Handbook of mathematical functions" , Dover, reprint (1973) pp. Chapts. 9–11
[6] C.W. Clenshaw, "Chebyshev series for mathematical functions" , Math. Tables , 5 , Cambridge Univ. Press (1962)
[7] A.L. Lebedev, R.M. Fedorova, "Handbook of mathematical tables" , Moscow (1956) (In Russian)
[8] N.M. Burunova, "Mathematical tables" , Moscow (1959) (In Russian) (Completion no. 1)
[9] A.A. Fletcher, J.C.P. Miller, L. Rosenhead, L.J. Comrie, "An index of mathematical tables" , 1–2 , Oxford Univ. Press (1962)

Tables.

References

[1] E.A. Chistova, "Tables of Bessel functions of a real argument and their integrals" , Moscow (1958) (In Russian)
[2] L.N. Karmazina, E.A. Chistova, "Tables of Bessel functions of an imaginary argument and their integrals" , Moscow (1958) (In Russian)
[3] , Tables of Bessel functions of fractional order , 1–2 , Nat. Bur. Standards (1948–1949)
[4] H.K. Crowder, G.C. Francis, "Tables of spherical Bessel functions and ordinary Bessel functions of order half and odd integer of the first and second kind" , Ballistic Res. Lab. Mem. Rep. 1027 (1956)
[5] , Tables of spherical Bessel functions , 1–2 , Nat. Bur. Standards (1947)
[6] , Tables of the Bessel functions and for complex arguments , Nat. Bur. Standards (1947)
[7] , Tables of the Bessel functions and for complex arguments , Nat. Bur. Standards (1950)
[8] , Bessel functions III. Zeros and associated values , Roy. Soc. Math. Tables , 7 , Cambridge Univ. Press (1960)
How to Cite This Entry:
Cylinder functions. Encyclopedia of Mathematics. URL: http://encyclopediaofmath.org/index.php?title=Cylinder_functions&oldid=12530
This article was adapted from an original article by L.N. KarmazinaA.P. Prudnikov (originator), which appeared in Encyclopedia of Mathematics - ISBN 1402006098. See original article