Difference between revisions of "Mathematical physics, equations of"
(Importing text file) |
|||
| Line 119: | Line 119: | ||
<table class="eq" style="width:100%;"> <tr><td valign="top" style="width:94%;text-align:center;"><img align="absmiddle" border="0" src="https://www.encyclopediaofmath.org/legacyimages/m/m062/m062690/m06269077.png" /></td> <td valign="top" style="width:5%;text-align:right;">(13prm)</td></tr></table> | <table class="eq" style="width:100%;"> <tr><td valign="top" style="width:94%;text-align:center;"><img align="absmiddle" border="0" src="https://www.encyclopediaofmath.org/legacyimages/m/m062/m062690/m06269077.png" /></td> <td valign="top" style="width:5%;text-align:right;">(13prm)</td></tr></table> | ||
| − | — the [[ | + | — the [[Neumann problem]]. One distinguishes the exterior and the interior Dirichlet and Neumann problems. For the exterior problems the boundary conditions must be supplemented by conditions at infinity of the type (14), (15) or (16). |
The following eigen value problems are also regarded as boundary value problems for equation (5): To find the values of the parameter <img align="absmiddle" border="0" src="https://www.encyclopediaofmath.org/legacyimages/m/m062/m062690/m06269078.png" /> (the eigen values) for which the homogeneous equation | The following eigen value problems are also regarded as boundary value problems for equation (5): To find the values of the parameter <img align="absmiddle" border="0" src="https://www.encyclopediaofmath.org/legacyimages/m/m062/m062690/m06269078.png" /> (the eigen values) for which the homogeneous equation | ||
Revision as of 08:37, 19 October 2014
Equations which describe mathematical models of physical phenomena. The equations of mathematical physics are part of the subject of mathematical physics. Numerous phenomena of physics and mechanics (hydro- and gas-dynamics, elasticity, electro-dynamics, optics, transport theory, plasma physics, quantum mechanics, gravitation theory, etc.) can be described by boundary value problems for differential equations. A very wide class of models is reducible to such boundary value problems.
A complete description of the evolution of physical processes requires, first, the specification of the state of the process at some fixed moment of time (the initial conditions) and, secondly, the specification of the state on the boundary of the medium in which the process considered occurs (the boundary conditions). The initial and boundary conditions form the boundary value conditions, and the differential equations together with corresponding boundary value conditions define a boundary value problem of mathematical physics.
Below some examples of equations and corresponding boundary value problems are given.
The equation of oscillations
![]() | (1) |
describes the small vibrations of strings, membranes, and acoustic and electromagnetic oscillations. In (1) the space variables
vary in a region
,
, in which the physical process under consideration evolves; also, by their physical meaning the quantities appearing in (1) are such that
,
and
. Moreover, it is assumed that
and
. Under these conditions (1) is a hyperbolic partial differential equation.
For
,
and
, (1) becomes the wave equation
![]() | (2) |
where
is the Laplace operator.
The diffusion equation
![]() | (3) |
describes processes of particle diffusion and heat transport in media. Equation (3) is a parabolic partial differential equation. For
,
and
it becomes the thermal-conductance equation (heat equation):
![]() | (4) |
For stationary processes, in which there is no dependence on the time
, equation (1) and the diffusion equation (3) both take the form
![]() | (5) |
This is an elliptic partial differential equation. For
and
(5) is called the Poisson equation:
![]() | (6) |
and for
— the Laplace equation:
![]() | (7) |
Equations (6) and (7) are satisfied by various kinds of potentials: The Coulomb (Newton) potential, the potentials of the flows of incompressible fluids, etc.
If in the wave equation (2) the external perturbation
is periodic with frequency
:
![]() |
then the amplitude
of a periodic solution with the same frequency
,
![]() |
satisfies the Helmholtz equation
![]() | (8) |
One is led to the Helmholtz equation by considering a scattering (diffraction) problem.
For a complete description of the oscillatory process it is necessary to give the initial perturbation and the initial velocity:
![]() | (9) |
In the case of a diffusion process it suffices to give the initial perturbation
![]() | (10) |
Moreover, on the boundary
of
the solution must take the prescribed values. In the simplest cases, physically-meaningful boundary conditions for equations (1), (3), (5) are described by the relations
![]() | (11) |
where
and
are given non-negative functions that do not vanish simultaneously,
is the outward normal to
, and
is a given function.
Thus, for a string the condition
![]() |
means that the end
of the string is fixed, whereas the condition
![]() |
means that the end
is free. For the heat equation the condition
![]() | (12) |
means that on the boundary
of
a prescribed temperature distribution is kept, whereas the condition
![]() | (13) |
prescribes the heat flow across
. In the case of unbounded regions, for example in the exterior of a bounded domain, the boundary conditions must be supplemented by a condition at infinity. Thus, for the Poisson equation (6) in space
, such a condition is
![]() | (14) |
whereas in the plane
it is
![]() | (15) |
For the Helmholtz equation (8) one imposes at infinity the Sommerfeld radiation condition (cf. Radiation conditions)
![]() |
![]() | (16) |
the sign "-" (respectively, "+" ) corresponds to outgoing (respectively, incident) waves.
A boundary value problem that involves only initial conditions (and hence does not contain boundary conditions, so that
is the whole space
) is called a Cauchy problem. For the equation of oscillation (1) the Cauchy problem (1), (9) is posed as follows: To find a function
of class
which satisfies (1) for
and the initial conditions (9) on the plane
. The Cauchy problem (3), (10) for the diffusion equation is posed in an analogous manner.
If a boundary value problem involves both initial and boundary conditions, then it is called a mixed problem. For equation (1) the mixed problem (1), (9), (11) is posed as follows: To find a function
of class
![]() |
which satisfies equation (1) in the cylinder
, the initial conditions (9) on its bottom base,
, and the boundary condition (11) on its lateral surface
. The mixed problem (3), (10), (11) for the diffusion equation (3) is posed in an analogous manner. There exist also other formulations of boundary value problems, for example the Goursat problem and the Tricomi problem.
For the stationary equation (5) there are no initial conditions and the corresponding boundary value problem is posed as follows: To find a function
of class
that satisfies equation (5) in a region
and the boundary condition
![]() | (11prm) |
on the boundary
of
. For equation (5) the boundary value problem with boundary condition
![]() | (12prm) |
is called the Dirichlet problem, and with boundary condition
![]() | (13prm) |
— the Neumann problem. One distinguishes the exterior and the interior Dirichlet and Neumann problems. For the exterior problems the boundary conditions must be supplemented by conditions at infinity of the type (14), (15) or (16).
The following eigen value problems are also regarded as boundary value problems for equation (5): To find the values of the parameter
(the eigen values) for which the homogeneous equation
![]() | (17) |
has non-trivial solutions (eigen functions) that satisfy the homogeneous boundary condition
![]() | (18) |
If
is a bounded region with sufficiently smooth boundary
, then there exists a countable set of non-negative eigen values
of problem (17), (18) (
,
), each
of finite multiplicity, and the corresponding eigen functions
,
,
form a complete orthonormal system in
; moreover, every function of class
that satisfies the boundary condition (18) admits a regularly-convergent Fourier series expansion with respect to the system of eigen functions
.
The formulation of the boundary value problems discussed above assumes that the solutions are sufficiently regular in the interior of the region as well as up to the boundary. Such formulations of boundary value problems are termed classical. However, in many problems of physical interest one must relinquish such regularity requirements. Inside the region the solution may be a generalized function and satisfy the equation in the sense of generalized functions, while the boundary value conditions may be fulfilled in some generalized sense (almost everywhere, in
, in the weak sense, etc.). Such formulations are called generalized, and the corresponding solutions are called generalized solutions. For example, the generalized Cauchy problem for the wave equation is posed as follows. Let
be a classical solution of the Cauchy problem (2), (9). The functions
and
are extended by zero for
and are denoted by
and
, respectively. Then
satisfies, as a generalized function in the entire space
, the wave equation
![]() | (19) |
Here the initial perturbations
and
serve as external sources of the type of a double layer
and a simple layer
acting instantaneously. This permits one to give the following definition. The generalized Cauchy problem for the wave equation with source
,
for
, is the problem of finding the generalized solutions
in
of the wave equation
![]() | (19prm) |
that vanishes for
. The generalized Cauchy problem for the heat equation (4) is posed analogously.
Since the boundary value problems of mathematical physics describe real physical processes, they must meet the following natural requirements, formulated by J. Hadamard:
1) a solution must exist in some class of functions
;
2) the solution must be unique in, possibly, another class of functions
;
3) the solution must depend continuously on the data of the problem (the initial and boundary conditions, the free terms, the coefficients of the equation, etc.). This requirement is imposed in connection with the fact that, as a rule, the data of physical problems are determined experimentally only approximately, and hence it is necessary to be sure that the solution of the problem does not depend essentially on the measurement errors of these data.
A problem that meets the requirements 1)–3) is called well-posed, and the set of functions
is the well-posedness class. Although requirements 1)–3) seem natural at a first glance, they must nevertheless be proved in the framework of the mathematical model adopted. The proof of the well-posedness is the first validation of a mathematical model — the model is non-contradictory, does not contain parasitic solutions, and is weakly sensitive to measurement errors.
Finding well-posed boundary value problems of mathematical physics and methods for constructing their (exact or approximate) solutions is one of the main objectives of a branch of mathematical physics. It is known that all boundary value problems listed above are well-posed.
Example. The Cauchy problem
,
, is well-posed if
.
A problem that does not satisfy at least one of the conditions 1)–3) is called an ill-posed problem (cf. Ill-posed problems). The importance of ill-posed problems in contemporary mathematical physics is increasing: in this class fall, in the first place, inverse problems, and also problems connected with the treatment and interpretation of results of observations.
An example of an ill-posed problem is the following Cauchy problem for the Laplace equation (Hadamard's example):
![]() |
For
the solution satisfies:
![]() |
whereas
![]() |
In order to solve approximately ill-posed problems one can resort to a regularization method, which utilizes supplementary information on the solution and which amounts to solving a sequence of well-posed problems.
An important role in the equations of mathematical physics is played by the notion of a Green function. The Green function of a linear differential operator
![]() |
![]() |
with given (homogeneous) boundary value conditions on the boundary of the domain of variation of the variables
is, by definition, the function
which satisfies for each
in this domain the equation
![]() | (20) |
In physical situations the Green function
describes the disturbance produced by an instantaneous (at time
) point source (placed at the point
) of intensity one (with the inhomogeneity of the medium and the effect of the boundary accounted for). In the case of operators with constant coefficients and in the absence of a boundary, the Green function for
and
is called a fundamental solution and is denoted by
:
![]() | (20prm) |
The existence of a fundamental solution in the spaces
and
has been established for any operator
.
Examples of fundamental solutions. For the wave equation:
![]() |
![]() |
where
is the Heaviside function:
for
;
for
.
For the heat equation:
![]() |
For the Laplace equation:
![]() |
Using the fundamental solution
, the solution
of the equation
![]() | (21) |
with arbitrary right-hand side
, if it exists in
, is expressible in the whole space
as the convolution
![]() | (22) |
The meaning of formula (22) in physical situations is as follows: The solution
is the result of superposition of the elementary disturbances
produced by the point sources
into which the source
is decomposed in view of the identity
. The convolution
plays the role of the potential with source (density)
. This is the essence of the method of point sources, or mapping method, for solving linear problems of mathematical physics.
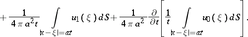
In particular, the solution of the generalized Cauchy problem for the wave equation (or heat equation) is given by the wave (heat) potential
![]() | (22prm) |
From this formula one can derive, under suitable assumptions on the smoothness of the source
![]() |
the classical formulas for the solution of the Cauchy problem. For the wave equation in three-dimensional space one has the Kirchhoff formula
![]() | (23) |
![]() |
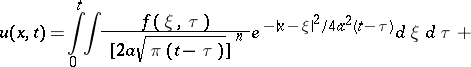
For the heat equation one has the Poisson formula
![]() | (24) |
![]() |
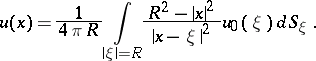
In the same manner, constructing the Green function for the Laplace equation for the sphere, one obtains the solution of the interior Dirichlet problem for the (three-dimensional) ball
in the form of a Poisson integral:
![]() | (25) |
For the investigation and approximate solution of mixed problems one uses, under the assumption that the coefficients in the equation and in the boundary conditions do not depend on the time
, the Fourier method (separation of variables). The idea of the method applied, say, to the problem (3), (10), (18) is as follows. First, one expands the unknown solution
and the right-hand side
in Fourier series with respect to the eigen functions
of the boundary value problem (17), (18):
![]() | (26) |
Then, upon substituting formally these series in equation (3) one obtains for the unknown functions
the equations
![]() | (27) |
To ensure that the series (26) for
will satisfy the initial condition (10) it is necessary to set
![]() | (28) |
Solving the Cauchy problem (27), (28) one obtains a formal solution of the problem (3), (10), (18) in the form of a series:
![]() | (29) |
There arises the problem of substantiating the Fourier method, i.e. of determining when the formal series (29) yields a classical or generalized solution of the problem (3), (10), (18).
To substantiate the Fourier method, and, generally, for establishing the well posedness of the mixed problem for the diffusion equation (3), one resorts to the maximum principle. An analogue of the Fourier method is also used for the mixed problem (1), (9), (18) for the oscillation equation. In this case the method of the energy integral is found useful.
The method of separation of variables has also found use in solving boundary value problems for elliptic-type equations (5), in particular, for calculating the eigen functions and eigen values under the assumption that the domain
has enough symmetry.
For the investigation and approximate solution of boundary value problems for equation (5) one widely uses variational methods. For example, in the eigen value problems (17), (18) (for
) the eigen values
satisfy the variational principle
![]() | (30) |
where it is assumed that comparison functions
belong to the class
and satisfy the boundary condition (18); the infimum in (30) is attained on any of the eigen functions corresponding to the eigen value
, and only on these.
When investigating boundary value problems for equation (5) (in particular, for harmonic functions) one applies the maximum principle.
The boundary value problems listed above do not exhaust the whole variety of boundary value problems of mathematical physics; they merely provide the simplest classical examples. The boundary value problems describing real physical processes may be very complicated: systems of equations, equations of higher order, or non-linear equations. Here the main examples are the Schrödinger equation, the equations of hydrodynamics, transport, and magneto-hydrodynamics, Maxwell's equation (cf. Maxwell equations), the equations of elasticity theory, the Dirac, Hilbert, Einstein, and Yang–Mills equations, etc. (cf. also Dirac equation; Einstein equations; Yang–Mills field).
In connection with the search for non-trivial models describing the interaction of quantum fields, there is an interest in classical non-linear equations, among them the Korteweg–de Vries equation
![]() | (31) |
the non-linear wave equation
![]() |
(known as the Liouville equation for
and as the sine-Gordon equation for
), and the non-linear Schrödinger equation:
![]() |
A characteristic feature of such equations is that they admit solutions of "solitary-wave" type (solitons, cf. Soliton). Thus, for equation (31) such a solution is
![]() |
This solution has finite energy.
References
| [1] | A.N. [A.N. Tikhonov] Tichonoff, A.A. Samarskii, "Differentialgleichungen der mathematischen Physik" , Deutsch. Verlag Wissenschaft. (1959) (Translated from Russian) |
| [2] | V.S. Vladimirov, "Equations of mathematical physics" , MIR (1984) (Translated from Russian) |
| [3] | A.N. Tikhonov, V.I. [V.I. Arsenin] Arsenine, "Solution of ill-posed problems" , Winston (1977) (Translated from Russian) |
| [4] | L.V. Hörmander, "The analysis of linear partial differential operators" , 1–2 , Springer (1983) |
| [5] | J. Hadamard, "Lectures on Cauchy's problem in linear partial differential equations" , Dover, reprint (1952) |
| [6] | G.B. Whitham, "Linear and non-linear waves" , Wiley (1974) |
| [7] | V.P. Mikhailov, "Partial differential equations" , Moscow (1983) (In Russian) |
| [8] | O.A. Ladyzhenskaya, "The boundary value problems of mathematical physics" , Springer (1985) (Translated from Russian) |
| [9] | R. Courant, D. Hilbert, "Methods of mathematical physics. Partial differential equations" , 2 , Interscience (1965) (Translated from German) |
| [10] | V.S. Vladimirov, "Generalized functions in mathematical physics" , MIR (1979) (Translated from Russian) |
Comments
References
| [a1] | S.L. Sobolev, "Partial differential equations of mathematical physics" , Pergamon (1964) (Translated from Russian) |
| [a2] | B.M. Budal, A.A. Samarskii, A.N. Tikhonov, "A collection of problems on mathematical physics" , Pergamon (1964) (Translated from Russian) |
| [a3] | S.G. [S.G. Mikhlin] Michlin, "Lehrgang der mathematischen Physik" , Akademie Verlag (1972) (Translated from Russian) |
| [a4] | P.M. Morse, H. Feshbach, "Methods of theoretical physics" , 1–2 , McGraw-Hill (1953) |
| [a5] | E. Zauderer, "Partial differential equations of applied mathematics" , Wiley (1983) |
Mathematical physics, equations of. Encyclopedia of Mathematics. URL: http://encyclopediaofmath.org/index.php?title=Mathematical_physics,_equations_of&oldid=33912

























































