Namespaces
Variants
Actions

Seiberg-Witten equations

From Encyclopedia of Mathematics
Jump to: navigation, search

$$ \newcommand{\dslash}{\partial\!\!\!\big /} \newcommand{\Spin}{\operatorname{spin}} $$

Equations constituting a breakthrough in work on the topology of four-dimensional manifolds (cf. also Four-dimensional manifold). The equations, which were introduced in [a1] have their origins in physics in earlier work of N. Seiberg and E. Witten [a2], [a3].

One of the advances provided by the Seiberg–Witten equations concerns Donaldson polynomial invariants for four-dimensional manifolds (see also below).

If one chooses an oriented, compact, closed, Riemannian manifold $M$, then the data needed for the Seiberg–Witten equations are a connection $A$ on a line bundle $L$ over $M$ and a "local spinor field" $\psi$. The Seiberg–Witten equations are then

$$ \dslash_A \psi = 0, \qquad F^+ = -\frac12 \overline{\psi} \Gamma \psi, $$

where $\dslash_A$ is the Dirac operator and $\Gamma$ is made from the gamma-matrices $\Gamma_i$ according to

$$ \Gamma = \frac12 [\Gamma_i, \Gamma_j] dx^i \wedge dx^j. $$

$\psi$ is called a "local spinor" because global spinors need not exist on $M$; however, orientability guarantees that a $\Spin\C$ structure does exist and $\psi$ is the appropriate section for this $\Spin_\C$ structure. Note that $A$ is just a $U(1)$ Abelian connection, and so $F = dA$, with $F^+$ being the self-dual part of $F$.

Example.

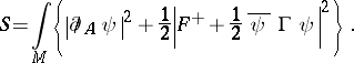
The equations clearly provide the absolute minima for the action

$$ S = \int_M \left\{ \left| \dslash_A \psi\right|^2 + \frac12 \left| F^+ \frac12 \overline{\psi} \Gamma \psi \right|^2 \right\}. $$

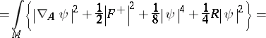
If one uses a Weitzenböck formula to relate the Laplacian $\nabla_A^* \nabla_A$ (cf. also Laplace operator) to $\dslash_A^* \dslash_A$ plus curvature terms, one finds that $S$ satisfies

$$ \begin{gathered} \int_M \left\{ \left| \dslash_A \psi\right|^2 + \frac12 \left| F^+ \frac12 \overline{\psi} \Gamma \psi \right|^2 \right\} \\ = \int_M \left\{ \left| \nabla_A \psi\right|^2 + \frac12 \left| F^+ \right|^2 + \frac18 |\psi|^4 + \frac14 R |\psi|^2 \right\} \\ = \int_M \left\{ \left| \nabla_A \psi\right|^2 + \frac14 | F |^2 + \frac18 |\psi|^4 + \frac14 R |\psi|^2 \right\} + \pi^2 c_1^2(L), \end{gathered} $$

where $R$ is the scalar curvature of $M$ and $c_1(L)$ is the Chern class of $L$.

The action now looks like one for monopoles; indeed, in [a1], Witten refers to what are now called the Seiberg–Witten equations as the "monopole equations" . But now suppose that $R$ is positive and that the pair $(A,\psi)$ is a solution to the Seiberg–Witten equations; then the left-hand side of this last expression is zero and all the integrands on the right-hand side are positive, so the solution must obey $\psi=0$ and $F^+=0$. It turns out that if $M$ has $b_2^+>1$ (see below for a definition of $b_2^+$), then a perturbation of the metric can preserve the positivity of $R$ but perturb $F^+=0$ to be simply $F=0$, rendering the connection $A$ flat (cf. also Flat form). Hence, in these circumstances, the solution $(A,\psi)$ is the trivial one. This means that one has a new kind of vanishing theorem in four dimensions ([a1], 1994): No four-dimensional manifold with $b_2^+>1$ and non-trivial Seiberg–Witten invariants admits a metric of positive scalar curvature.

Polynomial invariants.

Let $M$ be a smooth, simply-connected, orientable Riemannian four-dimensional manifold without boundary and let $A$ be an $SU(2)$ connection which is anti-self-dual, so that

$$ F = -\ast F. $$

Then the space of all gauge-inequivalent solutions to this anti-self-duality equation, the moduli space $\mathcal{M}_k$, has a dimension, given by the integer

$$ \dim \mathcal{M}_k = 8k - 3(1+b_2^+). $$

Here, $k$ is the instanton number, which gives the topological type of the solution $A$. The instanton number is minus the second Chern class $c_2(F) \in H^2(M; \Z)$ of the bundle on which $A$ is defined. This means that

$$ k = -c_2(F) [M] = \frac{1}{8\pi^2} \int_M \tr (F\wedge F) \in \Z. $$

The number $b_2^+$ is defined to be the rank of the positive part of the intersection form $q$ on $M$; the intersection form being defined by

$$ q(\alpha, \beta) = (\alpha \cup \beta)[M], \quad \alpha, \beta \in H_2(M; \Z), $$

with $\cup$ denoting the cup product.

A Donaldson invariant $q_{d,r}^M$ is a symmetric integer polynomial of degree $d$ in the $2$-homology $H_2(M; \Z)$ of $M$:

$$ q_{d,r}^M : \underbrace{H_2(M) \times \cdots \times H_2(M)}_{d \text{ factors}} \to \Z. $$

Given a certain mapping $m_i$ (cf. [a4], [a5]),

$$ m_i : H_i(M) \to H^{4-i}(\mathcal{M}_k); $$

then, if $\alpha \in H_2(M)$ and $\ast$ represents a point in $M$, one defines $q_{d,r}^M(\alpha)$ by writing

$$ q_{d,r}^M(\alpha) = m_2^d(\alpha) m_0^r(\ast) [\mathcal{M}_k]. $$

The evaluation on $[\mathcal{M}_k]$ on the right-hand side of the above equation means that

$$ 2d + 4r = \dim \mathcal{M}_k, $$

so that $\mathcal{M}_k$ is even dimensional, this is achieved by requiring $b_2^+$ to be odd.

Now, the Donaldson invariants $q_{d,r}^M$ are differential topological invariants rather than topological invariants, but they are difficult to calculate as they require detailed knowledge of the instanton moduli space $\mathcal{M}_k$. However, they are non-trivial and their values are known for a number of four-dimensional manifolds $M$. For example, if $M$ is a complex algebraic surface, a positivity argument shows that that they are non-zero when $d$ is large enough. Conversely, if $M$ can be written as the connected sum

$$ M = M_1 \# M_2, $$

where both $M_1$ and $M_2$ have $b_2^+ > 0$, then they all vanish.

Turning now to physics, it is time to point out that the $q_{d,r}^M$ can also be obtained (cf. [a6]) as the correlation functions of twisted supersymmetric topological field theory.

The action $S$ for this theory is given by

$$ \begin{aligned} S = \int_M d^4x \sqrt{g} \times &\tr \left\{ \frac14 F_{\mu\nu} F^{\mu\nu} + \frac14 F_{\mu\nu}^* F^{\mu\nu} + \frac12 \phi D_\mu D^\mu \lambda + i D_\mu \psi_\nu \chi^{\mu\nu} - i \eta D_\mu \psi^\mu \right. \\ &\qquad \left. - \frac{i}{8} \phi [\chi_{\mu\nu}, \chi^{\mu\nu}] - \frac{i}{2} \lambda [ \psi_\mu, \psi^\mu ] - \frac{i}{2} \phi [\eta,\eta] - \frac18 [\phi,\lambda]^2 \right\}, \end{aligned} $$

where $F_{\mu\nu}$ is the curvature of a connection $A_\mu$ and $(\phi, \lambda, \eta, \psi_\mu, \chi_{\mu\nu})$ are a collection of fields introduced in order to construct the right supersymmetric theory; $\phi$ and $\lambda$ are both spinless while the multiplet $(\psi_\mu, \chi_{\mu\nu})$ contains the components of a $0$-form, a $1$-form and a self-dual $2$-form, respectively.

The significance of this choice of multiplet is that the instanton deformation complex used to calculate $\dim \mathcal{M}_k$ contains precisely these fields.

Even though $S$ contains a metric, its correlation functions are independent of the metric $g$, so that $S$ can still be regarded as a topological field theory. This is because both $S$ and its associated energy-momentum tensor $T \equiv (\delta S / \delta g)$ can be written as BRST commutators $S = \{Q, V\}$, $T = \{Q, V'\}$ for suitable $V$ and $V'$.

With this theory it is possible to show that the correlation functions are independent of the gauge coupling and hence one can evaluate them in a small coupling limit. In this limit, the functional integrals are dominated by the classical minima of $S$, which for $A_\mu$ are just the instantons

$$ F_{\mu\nu} = -F_{\mu\nu}^*. $$

It is also required that $\phi$ and $\lambda$ vanish for irreducible connections. If one expands all the fields around the minima up to quadratic terms and does the resulting Gaussian integrals, the correlation functions may be formally evaluated.

A general correlation function of this theory is now given by

$$ \langle P\rangle = \int \mathcal{F} \exp [-S] P(\mathcal{F}), $$

where $\mathcal{F}$ denotes the collection of fields present in $S$ and $P(\mathcal{F})$ is a polynomial in the fields.

Now, $S$ has been constructed so that the zero modes in the expansion about the minima are the tangents to the moduli space $\mathcal{M}_k$. This suggest that the $\mathcal{F}$ integration can be done as follows: Express the integral as an integral over modes, then all the non-zero modes may be integrated out first leaving a finite-dimensional integration over $\overline {\mathcal{M}}_k$ ($\overline{\mathcal{M}}_k$ denotes the compactified moduli space). The Gaussian integration over the non-zero modes is a Boson–Fermion ratio of determinants, a ratio which supersymmetry constrains to be of unit modulus since Bosonic and Fermionic eigenvalues are equal in pairs.

This amounts to expressing $\langle P\rangle$ as

$$ \langle P \rangle = \int_{\overline{\mathcal{M}}_k} P_n, $$

where $P_n$ denotes an $n$-form over $\overline{\mathcal{M}}_k$ and $n = \dim \overline{\mathcal{M}}_k$. If the original polynomial $P(\mathcal{F})$ is judiciously chosen, then calculation of $\langle P \rangle$ reproduces the evaluation of the Donaldson polynomials $q_{d,r}^M$. It is now time to return to the Seiberg–Witten context.

There is a set of rational numbers $a_i$, known as the Seiberg–Witten invariants, which can be obtained by combining the Donaldson polynomials into a generating function. To do this one assumes that the $q_{d,r}^M$ have the property that

$$ q_{d,r+2}^M = 4 q_{d,r}^M. $$

A simply-connected manifold $M$ whose $q_{d,r}^M$ have this property is said to be of simple type. This property makes it useful to define $\widetilde q_d^M$, by writing

$$ \widetilde q_d^M = \begin{cases} q_{d,0}^M & d = (b_2^++1) \pmod{2}, \\ \dfrac{q_{d,1}^M}{2} & d = b_2^+ \pmod{2}. \end{cases} $$

The generating function, denoted by $G_M(\alpha)$, is given by

$$ G_M(\alpha) = \sum_{d=0}^\infty \frac{1}{d!} \widetilde q_d^M (\alpha). $$

According to P.B. Kronheimer and T.S. Mrowka [a7], [a8], $G(\alpha)$ can be expressed in terms of a finite number of classes (known as basic classes) $\kappa_i \in H^2(M)$ with rational coefficients $a_i$ (called the Seiberg–Witten invariants), resulting in the formula

$$ G_M(\alpha) = \exp \left[ \alpha . \frac\alpha2 \right] \sum_i a_i \exp[\kappa_i.\alpha]. $$

Hence, for $M$ of simple type the polynomial invariants are determined by a (finite) number of basic classes and the Seiberg–Witten invariants.

Returning now to the physics, one finds that the quantum field theory approach to the polynomial invariants relates them to properties of the moduli space for the Seiberg–Witten equations, rather than to properties of the instanton moduli space $\mathcal{M}_k$.

The moduli space for the Seiberg–Witten equations generically has dimension

$$ \frac{c_1^2(L) - 2\chi(M) - 3\sigma(M)}{4}, $$

where $\chi(M)$ and $\sigma(M)$ are the Euler characteristic and signature of $M$, respectively. This vanishes when

$$ c_1^2(L) = 2\chi(M) + 3 \sigma(M), $$

and then the moduli space, being zero dimensional, is a collection of points. There are actually only a finite number $N$ of these, and so they form a set

$$ \{P_1, \ldots, P_N\}. $$

Each point $P_i$ has a sign $\epsilon_i = \pm 1$ associated with it, coming from the sign of the determinant of the elliptic operator whose index gave the dimension of the moduli space, cf. [a1]. The sum of these signs is a topological invariant, denoted by $n_L$, i.e.

$$ n_L = \sum_{i=1}^N \epsilon_i. $$

Using this information, one can pass to a formula of [a1] for the generating function which, for $M$ of simple type, reads (though note that the bundle denoted by $L$ here corresponds to the square of the bundle denoted by $L$ in [a1]):

$$ G_M(\alpha) = 2^{p(M)} \exp \left[ \alpha.\frac\alpha2\right] \sum_L n_L \exp[c_1(L).\alpha] $$

with

$$ p(M) = 1 + \frac14 (7\chi(M) + 11\sigma(M)) $$

and the sum over $L$ on the right-hand side of the formula is over (the finite number of) line bundles $L$ that satisfy

$$ c_1^2(L) = 2\chi(M) + 3\sigma(M); $$

in other words, it is a sum over $L$ with zero-dimensional Seiberg–Witten moduli spaces.

Comparison of the two formulas for $G_M(\alpha)$ (the first mathematical in origin and the second physical) allows one to identify the Seiberg–Witten invariants $a_i$ and the Kronheimer–Mrowka basic classes $\kappa_i$ as the $c_1(L)$; also, the $\kappa_i$ must satisfy $\kappa_i^2 = 2\chi + 3\sigma$ as had been suggested already.

The physics underlying these topological results is of great importance, since many of the ideas originate there. It is known from [a6] that the computation of the Donaldson invariants may use the fact that the $N=2$ gauge theory is asymptotically free. This means that the ultraviolet limit, being one of weak coupling, is tractable. However the less tractable infrared or strong coupling limit would do just as well to calculate the Donaldson invariants, since these latter are metric independent.

In [a2], [a3] this infrared behaviour is determined and it is found that, in the strong coupling infrared limit, the theory is equivalent to a weakly coupled theory of Abelian fields and monopoles. There is also a duality between the original theory and the theory with monopoles, which is expressed by the fact that the (Abelian) gauge group of the monopole theory is the dual of the maximal torus of the group of the non-Abelian theory.

Recall that the Yang–Mills gauge group in the discussion above is $SU(2)$. This infrared equivalence of [a2], [a3] means that the achievement of [a1] is to successfully replace the counting of $SU(2)$ instantons used to compute the Donaldson invariants in [a6] by the counting of $U(1)$ monopoles. Since this monopole theory is weakly coupled, everything is computable now in the infrared limit.

The theory considered in [a2], [a3] possesses a collection of quantum vacua labelled by a complex parameter $u$, which turns out to parametrize a family of elliptic curves (cf. also Elliptic curve). A central part is played by a function $\tau(u)$ on which there is a modular action of $SL(2,\Z)$. The successful determination of the infrared limit involves an electric-magnetic duality and the whole matter is of considerable independent interest for quantum field theory, quark confinement and string theory in general.

If one allows the four-dimensional manifold $M$ to have a boundary $Y$, then one induces certain three-dimensional Seiberg–Witten equations on the three-dimensional manifold $Y$, cf. [a5], [a7].

References

[a1] E. Witten, "Monopoles and four-manifolds" Math. Res. Lett. , 1 (1994) pp. 769–796 Zbl 0867.57029
[a2] N. Seiberg, E. Witten, "Electric-magnetic duality, monopole condensation, and confinement in $N=2$ supersymmetric Yang–Mills theory" Nucl. Phys. , B426 (1994) pp. 19–52 (Erratum: B430 (1994), 485-486)
[a3] N. Seiberg, E. Witten, "Monopoles, duality and chiral symmetry breaking in $N=2$ supersymmetric QCD" Nucl. Phys. , B431 (1994) pp. 484–550
[a4] S.K. Donaldson, P.B. Kronheimer, "The geometry of four manifolds" , Oxford Univ. Press (1990)
[a5] S.K. Donaldson, "The Seiberg–Witten equations and 4-manifold topology" Bull. Amer. Math. Soc. , 33 (1996) pp. 45–70
[a6] E. Witten, "Topological quantum field theory" Comm. Math. Phys. , 117 (1988) pp. 353–386
[a7] P.B. Kronheimer, T.S. Mrowka, "Recurrence relations and asymptotics for four manifold invariants" Bull. Amer. Math. Soc. , 30 (1994) pp. 215–221
[a8] P.B. Kronheimer, T.S. Mrowka, "The genus of embedded surfaces in the projective plane" Math. Res. Lett. , 1 (1994) pp. 797–808
How to Cite This Entry:
Seiberg-Witten equations. Encyclopedia of Mathematics. URL: http://encyclopediaofmath.org/index.php?title=Seiberg-Witten_equations&oldid=55463
This article was adapted from an original article by Ch. Nash (originator), which appeared in Encyclopedia of Mathematics - ISBN 1402006098. See original article