Linear ordinary differential equation of the second order
An equation of the form
$$x'' + p(t)x' + q(t)x = r(t) $$
where $x(t)$ is the unknown function and $p(t)$, $q(t)$, and $r(t)$ are given functions, continuous on some interval $(a,b)$. For any real numbers $x_0$, $x_0'$, and $t_0 \in (a,b)$, there is a unique solution
of (1) defined for all
with initial conditions
,
.
If
and
are linearly independent solutions of the corresponding homogeneous equation
![]() | (2) |
and
is a particular solution of the inhomogeneous equation (1), then the general solution of (1) is given by the formula
![]() |
where
and
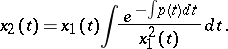
are arbitrary constants. If one knows one non-zero solution
of (2), then a second solution
of it, linearly independent of
, is given by the formula
![]() |
If two linearly independent solutions
and
of (2) are known, then a particular solution
of (1) can be found by the method of variation of constants.
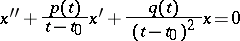
In the study of (2) an important role is played by transformations of it to equations of other types. For example, by the change of variables
,
, equation (2) reduces to a normal system of linear equations of the second order; by a change of the unknown function,
![]() |
equation (2) reduces to the equation
, where
![]() |
is called the invariant of equation (2); by the change of variable
, equation (2) reduces to the Riccati equation
![]() |
After multiplication by
![]() |
equation (2) takes the self-adjoint form
![]() |
Equation (2) can be integrated by quadratures only in isolated cases. The most important special types of non-integrable equations (2) give rise to special functions.
Sturm's theorem on the separation of zeros: If
and
are linearly independent solutions of (2) and
are adjacent zeros of
, then on the interval
there is exactly one zero of
.
Suppose that in the equations
![]() | (3) |
the functions
and
are continuous and
on
. Then (the comparison theorem): If
are adjacent zeros of a non-zero solution of the first equation in (3), then on
there is at least one zero of any solution of the second equation in (3).
The linear boundary value problem for equation (1) can be stated as follows: Find a solution
of (1) that satisfies the boundary conditions
![]() |
where
are given constants and
![]() |
The Sturm–Liouville problem for the equation
![]() |
where
is continuous on
, can be stated as follows: Find those values of the parameter
for which this equation has a non-zero solution
satisfying the boundary conditions
. These values of
are called the eigen values, and the corresponding solutions are called the eigen functions.
If
and
in equation (2) are complex and the functions
and
are holomorphic at the point
, then for any numbers
and
there is a unique complex solution
of (2), holomorphic at
, satisfying the initial conditions
,
. If in the equation
![]() | (4) |
the functions
and
are holomorphic at the point
and at least one of the numbers
,
,
is non-zero, then
is called a regular singular point for equation (4). In a neighbourhood of such a point one looks for a solution of (4) in the form of a generalized power series
![]() | (5) |
here
is found from the defining equation
![]() |
where
and
. Suppose that the roots
of this equation are real. If
is not an integer, then there are two linearly independent solutions of the form (5), for
and for
. If
is an integer, then, generally speaking, there is only one solution of the form (5), for
; the second solution has a more complicated form (see [3]–[6]).
References
| [1] | L.S. Pontryagin, "Ordinary differential equations" , Addison-Wesley (1962) (Translated from Russian) |
| [2] | E. Kamke, "Differentialgleichungen: Lösungen und Lösungsmethoden" , 1. Gewöhnliche Differentialgleichungen , Chelsea, reprint (1947) |
| [3] | G. Sansone, "Ordinary differential equations" , 1–2 , Zanichelli (1948–1949) (In Italian) |
| [4] | P. Hartman, "Ordinary differential equations" , Birkhäuser (1982) |
| [5] | F. Tricomi, "Repertorium der Theorie der Differentialgleichungen" , Springer (1968) |
| [6] | V.V. Golubev, "Vorlesungen über Differentialgleichungen im Komplexen" , Deutsch. Verlag Wissenschaft. (1958) (Translated from Russian) |
Comments
See also Differential equation, ordinary; Linear ordinary differential equation.
References
| [a1] | E.L. Ince, "Ordinary differential equations" , Dover, reprint (1956) |
| [a2] | E.A. Coddington, N. Levinson, "Theory of ordinary differential equations" , McGraw-Hill (1955) pp. Chapts. 13–17 |
Linear ordinary differential equation of the second order. Encyclopedia of Mathematics. URL: http://encyclopediaofmath.org/index.php?title=Linear_ordinary_differential_equation_of_the_second_order&oldid=43413














