Harmonic analysis, abstract
The theory of abstract Fourier series and Fourier integrals (cf. Fourier integral). Classical harmonic analysis — the theory of Fourier series and Fourier integrals — underwent a rapid development, stimulated by physical problems, in the 18th century and 19th century; P. Dirichlet, B. Riemann, H. Lebesgue, M. Plancherel, L. Fejér, and F. Riesz formulated harmonic analysis as an independent mathematical discipline.
The further development of harmonic analysis resulted in the establishment of various relations between harmonic analysis and general problems in the theory of functions and functional analysis. The discovery of the Haar measure and the development of the theory of representations of infinite groups (cf. Representation of an infinite group), beginning with the work of H. Weyl and F. Peter [1] on the theory of representations of compact groups (cf. Representation of a compact group) and of L.S. Pontryagin [2] on the theory of characters of locally compact Abelian groups (cf. Character of a group), posed the problem of the natural limits of the main results of classical harmonic analysis. This problem is based on the following interpretation of an ordinary Fourier series in complex form. Let
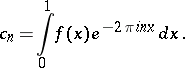
be a complex-valued square-summable function on a circle of unit length (or on the segment
), and let
be its Fourier coefficients with respect to the system
:
![]() |
Then the Fourier series
![]() |
of
converges in the mean to
in
. The Lebesgue measure on
generates the Haar measure on the circle
(of length one), regarded as the group of rotations of the plane, while the functions
represent a complete collection of irreducible unitary representations (cf. Unitary representation) of the topological group
. For this reason all data involved in the definition of a Fourier series acquire a group-theoretic meaning, and it becomes possible to generalize the concept of a Fourier series on the basis of the theory of irreducible unitary representations of topological groups. Here, abstract harmonic analysis not only makes it possible to find a natural form for results of classical harmonic analysis on the real line or the circle, but also establishes new results regarding larger classes of topological groups.
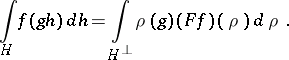
Abstract harmonic analysis as the harmonic analysis on groups was developed mainly on the basis of the theory of characters of locally compact Abelian groups established by Pontryagin ([2], see also [7], [8], [9]). Abstract harmonic analysis is one of the natural fields of application of methods of the theory of Banach algebras, and may be regarded as being, to some extent, a branch of this theory. On the other hand, the framework of abstract harmonic analysis is a natural one for a number of classical problems in the theory of functions and functional analysis.
The applications of abstract harmonic analysis are extremely varied. The results are used in the general theory of locally compact groups (e.g. in structure theorems), in the theory of dynamical systems, in the theory of representations of infinite groups (which in its turn is one of the principal tools of abstract harmonic analysis), and in many other mathematical theories.
The best developed branch of abstract harmonic analysis is the theory of Fourier integrals on a locally compact Abelian group. A special type of non-commutative groups are the compact groups, the theory of representations of which is especially simple and complete: solutions of many classical problems of harmonic analysis have been obtained for compact groups. In the case of non-compact non-commutative groups the general theory is still far from complete (1989). However, even in this case one knows the natural limits of a number of fundamental results of classical harmonic analysis.
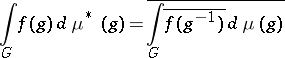
The connection between the problems of abstract harmonic analysis and the theory of Banach algebras is based on the fact that it is possible to construct two Banach algebras on each locally compact topological group
, which both play a major role in the theory of representations of
: the group algebra (cf. Group algebra of a locally compact group) and the measure algebra
(cf. Algebra of measures), which is defined as follows. Let
be the set of continuous functions
on
which vanish at infinity, and let
be its dual space, the Banach space of bounded regular measures (cf. Regular measure) on
. If a multiplication — the convolution
— and an involution
are introduced on
by means of the relations
![]() |
![]() |
for all
, then
is converted into a Banach algebra with involution, which is called the measure algebra of the group
. If
is the left-invariant Haar measure on
, the association to each element
of the group algebra
of the measure
yields an isometric mapping of
into a closed subalgebra of
which preserves the involution. In this sense
may be considered as a closed subalgebra of
.
Abstract harmonic analysis on a locally compact Abelian group.
The following facts are required to construct a Fourier integral on a locally compact Abelian group
. Any irreducible unitary representation of
is one-dimensional and defines a continuous homomorphism from
into the multiplicative group
of complex numbers of modulus 1. Such a mapping
is called a unitary character of
. Let
be the group of continuous characters of
. Pontryagin's duality theorem states that the mapping
![]() |
where
,
, is a topological isomorphism of
onto
[2], [3], [4], [6]. The group
is compact if and only if the group
dual to it is discrete. The group of characters of the additive group
of a non-discrete locally compact field is isomorphic to
; the group of characters of the group
is isomorphic to the group
of integers. If
is a closed subgroup of
and
is the set of
such that
on
, then
is a closed subgroup of
,
,
, and any unitary character of the subgroup
can be extended to a unitary character of the group
.
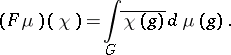
The Fourier integral on the group
(or the Fourier transform on the group
) is the mapping
under which a measure
corresponds to the function
on
defined by the equation
![]() |
The Fourier cotransform is the mapping
defined by the equation
![]() |
For
the function
is denoted by
or
(or, correspondingly,
). The mappings
and
are monomorphisms (cf. Monomorphism) of
into
; the image of
under these mappings is the algebra
of linear combinations of continuous positive-definite functions on
. The generalized Bochner theorem applies [4], [6]: The function
is a positive-definite function on
if and only if
is a positive measure, and then
![]() |
where
is the unit of
.
The topological space
is canonically homeomorphic to the spectrum of the ring
(i.e. to the space of maximal ideals of the algebra
). In fact, with a character
is associated the corresponding character of the commutative algebra
defined by the formula
![]() |
the Fourier cotransform
is identical on
with the Gel'fand representation of the Banach algebra
. The spectrum of
is usually not homeomorphic to
.
Let
be the Haar measure on
and let
be the corresponding Hilbert space. The following Plancherel theorem [4], [16] is valid: If
, then
and, if the measures
and
are normalized in a certain way, then the mapping
from the set
into
can be uniquely extended to a unitary operator
from
onto
. This operator is known as the Fourier transform on
. In such a case the measures
and
are called compatible. Let
denote the linear subspace of
generated by the functions of the form
where
. The following Fourier inversion formula [4], [16] holds: If
, then
, and for all
the equation
![]() |
is valid, i.e. if
is the canonical mapping of
into
, then
for all
. Let
be the set of
such that
. Then the restriction of
to
is a one-to-one mapping of
onto
; the inverse mapping is the restriction of
to
. If
, then
.
The classical Poisson summation formula is naturally interpreted in abstract harmonic analysis as follows. Let
be a closed subgroup of the group
. Let
,
,
be the Haar measures on
,
and
, respectively, normalized so that
. Let
be identified with
and let
be the Haar measure on
compatible with
. Finally, let
and let the restriction of the continuous function
to
be integrable with respect to
. Then the function
on
will be integrable with respect to the measure
for almost-all
, and
![]() |
This formula is known as the generalized Poisson summation formula.
An important intrinsic problem in abstract harmonic analysis is the study of the Banach algebras
and
from the point of view of the Fourier transform on
. The algebra
is completely symmetric. The equality
is valid if and only if
is discrete. If
is not discrete,
contains non-symmetric maximal ideals. Let
(respectively,
) be the set of Fourier transforms of elements of
(respectively,
).
and
are function algebras on
; moreover,
is a regular algebra, and
if and only if
for certain
. The set of
for which the support of the function
is compact is a dense subset in
.
The following results describe the functional properties of the Fourier transform on
. Let
be a function defined on
, and let
be non-discrete. Let
act on
, i.e.
for any function
with range in
.
will then be analytic on
, and if
is non-discrete,
. Conversely, an analytic function
on
(
if
is non-discrete) acts on
. The function
acts on
if and only if
is the restriction to
of an entire real-analytic function. Let
be defined on
and let
be an infinite discrete group.
will act on
if and only if
and if
is analytic in a certain neighbourhood of the origin (see [12], [13] for a detailed list of references).
A traditional problem in the theory of Banach algebras is the structure and the properties of closed subalgebras. The following results concern closed subalgebras of the algebra
. Let
be a Borel semi-group in a locally compact Abelian group
and let
be the maximal subalgebra in
.
will then be contained in a closed semi-group
inducing an Archimedean order on
. A commutative Banach algebra
is called a Stone–Weierstrass algebra if any one of its symmetric subalgebras
separating the points of the spectrum
of the ring
and not vanishing simultaneously at any point of
is dense in
.
is a Stone–Weierstrass algebra if and only if
is totally disconnected.
One field of modern research in abstract harmonic analysis is the theory of thin sets (cf. Thin set) in locally compact Abelian groups, which may be regarded as a generalization of special results of classical harmonic analysis (in particular, the theory of lacunary trigonometric series). Let
be a locally compact Abelian group and let
be its unit element. A set
is called independent if, for any
and integers
, either
or
. Any non-discrete locally compact Abelian group contains an independent set homeomorphic to a Cantor set. The independent sets include two important classes of sets, viz. Kronecker sets and
-sets in a
group. A set
in a locally compact Abelian group is called a Kronecker set if for any continuous function
on
of modulus 1 and for any
there exists a character
such that
![]() |
A Kronecker set is independent and contains no elements of finite order. Let
be the cyclic group of order
and let
be the direct product of a countably-infinite number of groups isomorphic to
. A set
in
is called a
-set if any continuous function
(
is considered to be a group of roots of unity) coincides on
with some unitary character of the group
.
-sets are independent. If in each neighbourhood of the unit element of a locally compact group
there is an element of infinite order,
contains a Kronecker set which is homeomorphic to a Cantor set. If
is a non-discrete locally compact Abelian group and if there exists a neighbourhood of the unit element without elements of infinite order,
contains
(for some
) as a closed subgroup; any group
contains a
-set which is homeomorphic to a Cantor set.
In finite-dimensional metrizable locally compact Abelian groups an independent set is a totally-disconnected set. An infinite-dimensional torus contains a Kronecker set homeomorphic to a segment. A union of two Kronecker sets on the circle may prove to be an independent set that is not a Kronecker set. By adding one point to some Kronecker set on an infinite-dimensional torus it is possible to obtain an independent set that is not a Kronecker set. If
is a compact Kronecker set in
and
is a bounded measure concentrated on
, then
![]() |
Another important class of subsets of locally compact Abelian groups are Helson sets: Compact sets
distinguished by the fact that every continuous function
on
is the restriction to
of some element of the algebra
. Any compact Kronecker set and any compact
-set in
are Helson sets. Not every compact subset of a locally compact Abelian group
is a Helson set; there exist independent Cantor sets that are not Helson sets. A compact subset
will be a Helson set if and only if
and
are equivalent norms on the Banach space
of bounded measures on
. Let
denote the set of all
for which
for all
.
is then a closed ideal in
. The space dual to
is isometric to the space
consisting of all
for which
![]() |
for any
. A compact set
is a Helson set if and only if any function
is almost-everywhere equal to the Fourier transform of some bounded measure concentrated on
. If
is a Helson set in
and if
is a non-zero measure concentrated on
, then
does not tend to zero at infinity.
In the study of Fourier series on Abelian compact groups the concept of a Sidon set in discrete Abelian groups is very important. Let
be a compact Abelian group and let
be a subset of
. A function
is called an
-function if
for all
. A linear combination
of unitary characters on
is called an
-polynomial if
is an
-function. A set
is called a Sidon set if there exists a constant
such that
![]() |
for any
-polynomial on
. The following assertions are equivalent:
a)
is a Sidon set in
;
b) for any bounded
-function
the series
is convergent;
c) for any continuous
-function
the series
is convergent;
d) any bounded function
on
coincides with the restriction of some element
to
;
e) any function on
which tends to zero at infinity coincides with the restriction of some function
to
.
Any infinite set in
contains an infinite Sidon set. Any independent subset in
is a Sidon set.
Another field of abstract harmonic analysis, which at the time of writing is undergoing intensive development, is the theory of closed ideals in
, in particular the theory of spectral synthesis. The problem of spectral synthesis may be posed in a general manner as follows. Let
be a closed ideal in
; the problem is to clarify the conditions under which
is the intersection of the maximal ideals in
containing
(it should be noted in this context that any maximal ideal in
is regular, i.e. closed). One of the most important results of the theory of spectral synthesis is the Wiener Tauberian theorem: If
is a closed ideal in
,
, then there exists a character
such that
for all
. This theorem may be regarded as a positive solution of the problem stated above for the case
. If every closed ideal in
is the intersection of the maximal ideals in which it is contained, one says that
satisfies spectral synthesis. A compact group satisfies spectral synthesis. On the other hand, the following theorem [15] is valid: If the group
is non-discrete,
does not satisfy spectral synthesis. It follows that if
is non-discrete, then the algebra
has non-symmetric closed ideals.
Abstract harmonic analysis on compact groups may be regarded as part of the theory of representations of compact groups; this theory is closely connected with the theory of almost-periodic functions on groups; see also Bohr compactification and the reviews in [11], [4]. The problems of abstract harmonic analysis on an arbitrary locally compact topological group are much more complicated, in view of the insufficient development and complexity of the general theory of infinite-dimensional representations (cf. Infinite-dimensional representation) of a locally compact group. However, even in such a case the Fourier integral can be defined on a locally compact group [5] and it is possible to obtain analogues of the generalized Bochner theorem, the Plancherel formula and a number of other general theorems [8], [11].
References
| [1] | F. Peter, H. Weyl, "Die Vollständigkeit der primitiven Darstellungen einer geschlossener kontinuierlichen Gruppe" Math. Ann. , 97 (1927) pp. 737–755 |
| [2] | L.S. Pontryagin, "The theory of commutative topological groups" Ann. of Math. (2) , 35 : 2 (1934) pp. 361–388 (In Russian) |
| [3] | E.R. van Kampen, Proc. Nat. Acad. Sci. USA , 20 (1934) pp. 434–436 |
| [4] | A. Weil, "l'Intégration dans les groupes topologiques et ses applications" , Hermann (1940) |
| [5] | I.M. Gel'fand, D.A. Raikov, "Nondegenerate unitary representations of locally (bi)compact groups" Mat. Sb. , 13 (55) (1943) pp. 301–316 (In Russian) (English abstract) |
| [6] | D.A. Raikov, "Harmonic analysis on commutative groups with the Haar measure and character theory" Trudy Mat. Inst. Steklov. , 14 (1945) pp. 1–86 (In Russian) (English abstract) |
| [7] | I.M. [I.M. Gel'fand] Gelfand, D.A. [D.A. Raikov] Raikov, G.E. [G.E. Shilov] Schilow, "Kommutative Normierte Ringe" , Deutsch. Verlag Wissenschaft. (1964) (Translated from Russian) |
| [8] | M.A. Naimark, "Normed rings" , Reidel (1984) (Translated from Russian) |
| [9] | L.S. Pontryagin, "Topological groups" , Princeton Univ. Press (1958) (Translated from Russian) |
| [10] | N. Bourbaki, "Elements of mathematics. Spectral theories" , Addison-Wesley (1977) (Translated from French) |
| [11] | J. Dixmier, " algebras" , North-Holland (1977) (Translated from French) |
| [12] | H., et al. Helson, "The functions which operate on Fourier transforms" Acta Math. , 102 (1959) pp. 135–157 |
| [13] | E. Hewitt, K.A. Ross, "Abstract harmonic analysis" , 1–2 , Springer (1963–1970) |
| [14] | L.H. Loomis, "An introduction to abstract harmonic analysis" , v. Nostrand (1953) |
| [15] | P. Malliavin, "Impossibilité de la synthèse spectrale sur les groupes abéliens non compacts" Publ. Math. IHES , 2 (1959) pp. 61–68 |
| [16] | M.G. Krein, "Sur une généralisation du théorème de Plancherel au cas des intégrales de Fourier sur les groupes topologiques commutatifs" Dokl. Akad. Nauk SSSR , 30 (1941) pp. 484–488 |
Comments
In the theory of thin sets an important type of problem is the question whether the union of two (or, occasionally, of countably many) sets of a certain type is again a set of that type. S.W. Drury proved [a1] that the union of two Sidon sets is again a Sidon set, and N.Th. Varopoulos [a2], using Drury's technique, proved the analogous result for Helson sets. For sets of spectral synthesis the problem is still (1989) not solved.
References
| [a1] | S.W. Drury, "Sur les ensembles de Sidon" C.R. Acad. Sci. Paris , A271 (1970) pp. 162–163 |
| [a2] | N.Th. Varopoulos, "Sur la réunion de deux ensembles de Helson" C.R. Acad. Sci. Paris , A271 (1970) pp. 251–253 |
| [a3] | W. Rudin, "Fourier analysis on groups" , Wiley (1962) |
| [a4] | H. Reiter, "Classical harmonic analysis and locally compact groups" , Clarendon Press (1968) |
| [a5] | L.-Å. Lindahl, F. Poulsen, "Thin sets in harmonic analysis" , M. Dekker (1971) |
| [a6] | C.C. Graham, O.C. McGehee, "Essays in commutative harmonic analysis" , Springer (1979) pp. Chapt. 5 |
| [a7] | J. López, K. Ross, "Sidon sets" , M. Dekker (1975) |
Harmonic analysis, abstract. Encyclopedia of Mathematics. URL: http://encyclopediaofmath.org/index.php?title=Harmonic_analysis,_abstract&oldid=44959















algebras" , North-Holland (1977) (Translated from French)