Namespaces
Variants
Actions

Contact problems of the theory of heat conduction

From Encyclopedia of Mathematics
Jump to: navigation, search


Problems on the propagation of heat (stationary and non-stationary, for elliptic and parabolic equations, respectively) in the case when the material is thermally inhomogeneous, that is, consists of several parts with different coefficients of thermal conductivity $k$, heat capacity $c$ and density $\rho$. The coefficients $k,c,\rho$ entering in the differential equation have discontinuities of the first kind. This leads to problems with weak discontinuities of the solutions, that is, the temperature $T$ is continuous and the derivatives are discontinuous. However, the heat flow $w$ is defined to be continuous.

Suppose, for example, that one has a one-dimensional heat equation in $x$, $0 < x < l$,

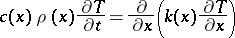
\begin{equation} \tag{1} c(x) \rho(x) \frac{\partial T}{\partial t} = \frac{\partial}{\partial x} \left( k(x) \frac{\partial T}{\partial x}\right) \end{equation}

and suppose that at a point $0 < x = x^0 < l$ the functions $k(x), c(x), \rho(x)$ have discontinuities of the first kind,

\begin{equation*} [k] \equiv k (x^0 + 0) - k(x^0 - 0) \ne 0, \qquad [c \rho] \ne 0. \end{equation*}

Then the temperature $T$ and flow $w = -k(x) (\partial T/ \partial x)$ must be continuous at $x = x^0$ (see [1], [2]),

\begin{equation} \tag{2} [T] = 0, \qquad [w] = 0, \qquad t \ge 0 \end{equation}

(adjointness conditions). At other points of the interval the temperature $T(x,y)$ must satisfy equation (1) for $t > 0$, initial conditions for $t=0$, and also boundary conditions for $x=0$, $x=l$, $t>0$.

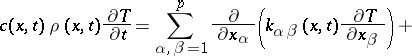
In the multi-dimensional case with the parabolic equation

\begin{equation*} \begin{aligned} c(x,y) \rho(x,y) \frac{\partial T}{\partial t} &= \sum_{\alpha,\beta=1}^p \frac{\partial}{\partial x_\alpha} \left( k_{\alpha\beta}(x,t) \frac{\partial T}{\partial x_\beta} \right) \\ &\qquad + \sum_{\alpha = 1}^p b_\alpha(x,t) \frac{\partial T}{\partial x_\alpha} - q(x,t) T + f(x,t), \end{aligned} \qquad x = (x_1, \ldots, x_p), \end{equation*}

one again imposes on the surface $\Gamma^0$ of discontinuity of the coefficients the conditions (2) of continuity of the function $T$ and of the flow

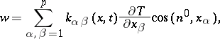
$$ w = \sum_{\alpha, \beta = 1}^p k_{\alpha\beta}(x,t) \frac{\partial T}{\partial x_\beta} \cos(n^0, x_\alpha), $$

where $n^0$ is the normal to $\Gamma^0$ and $(n^0, x_\alpha)$ is the angle between $n^0$ and the direction of $x_\alpha$ (see [3], [4]).

In the stationary case ($\partial T/\partial t \equiv 0$), conditions (2) are imposed at the discontinuity. Sometimes more general conservation laws are imposed (see [2], [4]). E.g., in the one-dimensional case one considers the following conditions:

$$ [T] = r(t), \qquad \left[ a \frac{\partial T}{\partial x} \right] = h(t), \qquad x = x^0, \qquad t \ge 0. $$

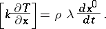
Related to the contact problems of the theory of heat conduction is the problem of the propagation of heat in media whose aggregate state can change at a certain value of the temperature $T^*$ (the temperature of phase transition) with emission or absorption of latent heat $\lambda$ (the Stefan problem, [5]). At the unknown boundary $x = x^0(t)$ of the phase interface the following conditions are imposed in the one-dimensional case:

$$ \begin{gathered} T(x^0(t) + 0, t) = T(x^0(t) - 0, t) = T^*, \\ \left[ k \frac{\partial T}{\partial x}\right] = \rho \lambda \frac{d x^0}{dt}. \end{gathered} $$

There are a large number of contact problems for systems of equations of heat conduction and for equations related to gas dynamics and magneto-hydrodynamics.

References

[1] A.A. Samarskii, "Parabolic equations with discontinuous coefficients" Dokl. Akad. Nauk SSSR , 121 : 2 (1958) pp. 225–228 (In Russian)
[2] L.I. Kamynin, Sibirsk. Mat. Zh. , 4 : 5 (1963) pp. 1071–1105
[3] O.A. Oleinik, "Boundary value problems for linear equations of elliptic-parabolic type with discontinuous coefficients" Izv. Akad. Nauk SSSR Ser. Mat. , 25 : 1 (1961) pp. 3–20 (In Russian)
[4] L.I. Kamynin, "Smoothness of heat potentials V" Differential Equations , 3 : 6 (1967) pp. 496–504 Differentsial'nye Uravneniya , 3 : 6 (1967) pp. 948–964
[5] A.N. [A.N. Tikhonov] Tichonoff, A.A. Samarskii, "Differentialgleichungen der mathematischen Physik" , Deutsch. Verlag Wissenschaft. (1959) (Translated from Russian)
[6] O.A. Ladyzhenskaya, N.N. Ural'tseva, "Linear and quasilinear elliptic equations" , Acad. Press (1968) (Translated from Russian)
How to Cite This Entry:
Contact problems of the theory of heat conduction. Encyclopedia of Mathematics. URL: http://encyclopediaofmath.org/index.php?title=Contact_problems_of_the_theory_of_heat_conduction&oldid=55498
This article was adapted from an original article by I.V. Fryazinov (originator), which appeared in Encyclopedia of Mathematics - ISBN 1402006098. See original article