Hypocycloid
A plane curve which is the trajectory of a point on a circle rolling along a second circle while osculating it from inside. The parametric equations are
![]() |
![]() |
where
is the radius of the moving circle,
is the radius of the fixed circle and
is the angle between the radius vector of the centre of the moving circle with the
-axis (assuming the trajectory passes through
). Depending on the size of the modulus
, hypocycloids of different forms are obtained. If
is an integer, the curve consists of
non-intersecting branches (Fig. a). The points of return
have polar coordinates
,
,
. If
is irrational, the number of branches is infinite, and the point
does not return to its initial location; if
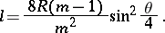
is rational, the hypocycloid is a closed algebraic curve. The arc length from the point
is
![]() |
The radius of the curvature is
![]() |
.
Figure: h048530a
If the point is not located on the rolling circle, but outside (or inside) it, the curve is said to be a lengthened (shortened) hypocycloid, or hypotrochoid (cf. Trochoid). If
the hypocycloid is a segment of a straight line; if
, it is a Steiner curve; if
, it is an astroid. Hypocycloids belong to the so-called cycloidal curves (cf. Cycloidal curve).
References
| [1] | A.A. Savelov, "Planar curves" , Moscow (1960) (In Russian) |
Comments
Every hypocycloid which is generated by circles with radii
and
can also be generated by circles with radii
and
([a2], [a3]). Hypocycloids, and more generally trochoids, play an important role in plane kinematics.
References
| [a1] | M. Berger, "Geometry" , I , Springer (1987) pp. 273–276 |
| [a2] | K. Fladt, "Analytische Geometrie spezieller ebener Kurven" , Akad. Verlagsgesell. (1962) |
| [a3] | H.R. Müller, "Kinematik" , de Gruyter (1963) |
Hypocycloid. Encyclopedia of Mathematics. URL: http://encyclopediaofmath.org/index.php?title=Hypocycloid&oldid=14707



