Rectifying plane
From Encyclopedia of Mathematics
Revision as of 14:53, 7 June 2020 by Ulf Rehmann (talk | contribs) (Undo revision 48452 by Ulf Rehmann (talk))
The plane of the Frénet frame (cf. Frénet trihedron) of a given point
on a curve
(cf. Line (curve)) which is spanned by the tangent (cf. Tangent line)
and the binormal
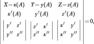
to the curve at this point. The equation of the rectifying plane can be written in the form
![]() |
or
![]() |
where
is the equation of the curve.
Comments
References
| [a1] | M. Spivak, "A comprehensive introduction to differential geometry" , 2 , Publish or Perish (1970) pp. 1–5 |
How to Cite This Entry:
Rectifying plane. Encyclopedia of Mathematics. URL: http://encyclopediaofmath.org/index.php?title=Rectifying_plane&oldid=49393
Rectifying plane. Encyclopedia of Mathematics. URL: http://encyclopediaofmath.org/index.php?title=Rectifying_plane&oldid=49393
This article was adapted from an original article by L.A. Sidorov (originator), which appeared in Encyclopedia of Mathematics - ISBN 1402006098. See original article

