Zeta-function
$\zeta$-function
Zeta-functions in number theory are functions belonging to a class of analytic functions of a complex variable, comprising Riemann's zeta-function, its generalizations and analogues. Zeta-functions and their generalizations in the form of $L$-functions (cf. Dirichlet $L$-function) form the basis of modern analytic number theory. In addition to Riemann's zeta-function one also distinguishes the generalized zeta-function $\zeta(s,a)$, the Dedekind zeta-function, the congruence zeta-function, etc.
Riemann's zeta-function is defined by the Dirichlet series
\begin{equation}\label{sum} \zeta(s)=\sum_{n=1}^\infty\frac{1}{n^s},\quad s=\sigma+it,\end{equation}
which converges absolutely and uniformly in any bounded domain of the complex $s$-plane for which $\sigma\geq1+\delta$, $\delta>0$. If $\sigma>1$, a valid representation is the Euler product
\begin{equation}\label{prod} \zeta(s)=\prod_p\left(1-\frac{1}{p^s}\right)^{-1},\end{equation}
where $p$ runs through all prime numbers.
The identity of the series \ref{sum} and the product \ref{prod} is one of the fundamental properties of $\zeta(s)$. It makes it possible to obtain numerous relations connecting $\zeta(s)$ with important number-theoretic functions. E.g., if $\sigma>1$,
$$ \ln \zeta(s)=s\int_2^\infty\frac{\pi(x)}{x(x^s-1)}\,\mathrm{d}x,$$
$$-\frac{\zeta'(s)}{\zeta(s)}=\sum_{n=1}^\infty\frac{\Lambda(n)}{n^s},$$
$$\frac{1}{\zeta(s)}=\sum_{n=1}^\infty\frac{\mu(n)}{n^s},\quad \zeta^2(s)=\sum_{n=1}^\infty\frac{\tau(n)}{n^s},$$
$$\frac{\zeta^2(s)}{\zeta(2s)}=\sum_{n=1}^\infty\frac{2^{\nu(n)}}{n^s},\quad\frac{\zeta(2s)}{\zeta(s)}=\sum_{n=1}^\infty\frac{\lambda(n)}{n^s}.$$
Here $\pi(x)$ is the number of primes $\leq x$, $\Lambda(n)$ is the (von) Mangoldt function, $\mu(n)$ is the Möbius function, $\tau(n)$ is the number divisors of the number $n$, $\nu(n)$ is the number of different prime factors of $n$, and $\lambda(n)$ is the Liouville function. This accounts for the important role played by $\zeta(s)$ in number theory. As a function of a real variable, $\zeta(s)$ was introduced in 1737 by L. Euler [1], who proved that it could be expanded into the product \ref{prod}. The function was subsequently studied by P.G.L. Dirichlet and also, with extraordinary success, by P.L. Chebyshev [2] in the context of the problem of the distribution of prime numbers. However, the most deeply intrinsic properties of $\zeta(s)$ were discovered later, as a result of studying it as a function of a complex variable. This was first accomplished in 1876 by B. Riemann [3], who demonstrated the following assertions.
a) $\zeta(s)$ permits analytic continuation to the whole complex $s$-plane, in the form
\begin{equation}\label{cont} \pi^{-s/2}\Gamma\left(\frac{s}{2}\right)\zeta(s)=\frac{1}{s(s-1)}+\int_1^\infty\left( x^{-(1-s/2)}+x^{-(1-(1-s)/2)}\right)\theta(x)\,\mathrm{d}x,\end{equation}
where $\Gamma(\omega)$ is the gamma-function and
$$\theta(x)=\sum_{n=1}^\infty \exp(-\pi n^2x).$$
b) $\zeta(s)$ is a regular function for all values of $s$ except for $s=1$, where it has a simple pole with residue one, and it satisfies the functional equation
\begin{equation}\label{func}\pi^{-s/2}\Gamma\left(\frac{s}{2}\right)\zeta(s)=\pi^{-(1-s)/2}\Gamma\left(\frac{1-s}{2}\right)\zeta(1-s).\end{equation}
This equation is known as Riemann's functional equation. For the function
$$ \xi(s)=\frac{s(s-1)}{2}\pi^{-s/2}\Gamma\left(\frac{s}{2}\right)\zeta(s),$$
introduced by Riemann for studying the zeta-function and now known as Riemann's $\xi$-function, this equation assumes the form
$$ \xi(s)=\xi(1-s),$$
while if one puts
$$\Xi(t)=\xi\left(\frac{1}{2}+it\right),$$
it assumes the form
$$\Xi(t)=\Xi(-t).$$
This last function $\Xi$ is distinguished by the fact that it is an even entire function which is real for real $t$, and its zeros on the real axis correspond to the zeros of $\zeta(s)$ on the straight line $\sigma=1/2$.
c) Since $\zeta(s)\neq0$ for $\sigma>1$, by \ref{func} this function has only simple zeros at the points $s=-2\nu$, $\nu=1,2,\ldots,$ in the half-plane $\sigma<0$. These zeros are known as the trivial zeros of $\zeta(s)$. Also, $\zeta(s)\neq0$ for $0<s<1$. Thus, all non-trivial zeros of $\zeta(s)$ are complex numbers, lying symmetric with respect to both the real axis $t=0$ and the vertical line $\sigma=1/2$ and situated inside the strip $0\leq\sigma\leq1$. This strip is known as the critical strip.
Riemann also stated the following hypotheses.
1) The number $N(T)$ of zeros of $\zeta(s)$ in the rectangle $0\leq\sigma\leq1$, $0<t<T$ can be expressed by the formula
$$N(T)=\frac{1}{2\pi}T\ln T-\frac{1+\ln 2\pi}{2\pi}T+O(\ln T).$$
2) Let $\rho$ run through the non-trivial zeros of $\zeta(s)$. Then the series $\sum\lvert\rho\rvert^{-2}$ is convergent, while the series $\sum\lvert\rho\rvert^{-1}$ is divergent.
3) The function $\xi(s)$ can be represented in the form
$$ ae^{bs}\prod_\rho \left(1-\frac{s}{\rho}\right)e^{s/\rho}.$$
4) Let
$$ P(x)=\sum_{n\leq x}\frac{\Lambda(n)}{\ln n},$$
$$ P_0(x)=\frac{1}{2}[P(x+0)+P(x-0)].$$
Then, for $x\geq1$,
$$ P_0(x)=\mathrm{li} x-\sum_\rho\li x^\rho+\int_x^\infty\frac{\mathrm{d}u}{(u^2-1)\ln u}-\ln 2,$$
where $\mathrm{li} x$ is the integral logarithm:
$$\mathrm{li} e^w=\int_{-\infty+iv}^{u+iv}\frac{e^z}{z}\,\mathrm{d}z,\quad w=u+iv,\quad v<0\text{ or }v>0.$$
5) All non-trivial zeros of $\zeta(s)$ lie on the straight line $\sigma=1/2$.
Subsequent to Riemann, the problem on the value distribution and, in particular, the zero distribution of the zeta-function became very widely known and was studied by a large number of workers. Riemann's hypotheses 2 and 3 were proved by J. Hadamard in 1893, and it was proved that, in hypothesis 3, $a=1/2$ and $b=\ln 2+(1/2)\ln\pi-1-C/2$, where $C$ is the Euler constant; hypotheses 1 and 4 were established in 1894 by H. von Mangoldt, who also obtained the following important analogue of (5) for prime numbers. If
$$\Psi(x)=\sum_{n\leq x}\Lambda(n),\quad \Psi_0(x)=\frac{1}{2}[\Psi(x+0)-\Psi(x-0)],$$
then, for $x\geq1$,
$$ \Psi_0(x)=x-\sum_\rho\frac{x^\rho}{\rho}-\frac{\zeta'(0)}{\zeta(0)}-\frac{1}{2}\ln\left(1-\frac{1}{x^2}\right),$$
where $\rho=\beta+i\gamma$ runs through the non-trivial zeros of $\zeta(s)$, while the symbol $\sum_\rho x^\rho/\rho$ denotes the limit of the sum $\sum_{\lvert \gamma\rvert\leq T}x^\rho/\rho$ as $T\to\infty$. This formula shows, similarly to formula (5), that the problem of the distribution of primes in the natural number series is closely connected with the location of the non-trivial zeros of the function $\zeta(s)$.
The last hypothesis (hypothesis 5) has not yet (1993) been proved or verified. This is the famous Riemann hypothesis on the zeros of the zeta-function.
The function $\zeta(s)$ is unambiguously defined by its functional equation. More exactly, any function which can be represented by an ordinary Dirichlet series and which satisfies equation (4) coincides, under fairly broad conditions with respect to its regularity, with $\zeta(s)$, up to a constant factor [4].
If
$$ \chi(s)=\pi^{s-1/2}\frac{\Gamma(1-s/2)}{\Gamma(s/2)}$$
and $h>0$ is constant, the approximate functional equation
\begin{equation}\label{approx} \zeta(s)=\sum_{n\leq x}\frac{1}{n^s}+\chi(s)\sum_{n\leq y}\frac{1}{n^{1-s}}+O(x^{-\sigma})+O(\lvert t\rvert^{1/2-\sigma}y^{\sigma-1}),\end{equation}
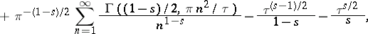
obtained in 1920 by G.H. Hardy and J.E. Littlewood [4], is valid for $0<\sigma<1$, $x>h$, $y>h$, $2\pi xy=\lvert t\rvert$. This equation is important in the modern theory of the zeta-function and its applications. There exist general methods by which such results may be obtained not only for the class of zeta-functions, but in general for Dirichlet functions with a Riemann-type functional equation (3). The most complete result in this direction has been shown in [5]; in the case of
it leads, for any
with
, to the relation
![]() |
![]() |
where
is the incomplete gamma-function. For
![]() |
one obtains the approximate equation (6); for
this relation becomes identical with the initial formula (3).
The principal problem in the theory of the zeta-function is the problem of the location of its non-trivial zeros and, in general, of its values within the range
. The main directions of research conducted on the zeta-function include: the determination of the widest possible domain to the left of the straight line
where
; the problem of the order and of the average values of the zeta-function in the critical strip; estimates of the number of zeros of the zeta-function on the straight line
and outside it, etc.
The first non-trivial result on the boundary for the zeros of the zeta-function was obtained in 1896 by Ch.J. de la Vallée-Poussin, who showed that there exists a constant
such that
![]() | (7) |
Other related approximations are connected with the approximate equation (6) and with the development of methods for estimating trigonometric sums.
The most powerful method for making estimates of this kind must be credited to I.M. Vinogradov (cf. Vinogradov method). The latest (to 1978) bound on the boundary of the zero-free domain for the zeta-function was obtained by Vinogradov in 1958 [7]. It is of the form (7) with
. The formula
![]() |
is the corresponding statement for prime numbers. There exists a certain connection between the growth of the modulus of the function
and the absence of zeros in a neighbourhood of the straight line
. Thus, (7) with
is the result of the estimates
![]() |
![]() |
It is known, on the other hand [4], that
![]() |
and, if Riemann's hypothesis is valid, these bounds should not exceed
and
, respectively.
The order of the zeta-function in the critical strip is the greatest lower bound
of the numbers
such that
. If
,
, and if
, then
. The exact values of the function
for
are unknown. According to the simplest assumption (the Lindelöf hypothesis)
![]() |
This is the equivalent to the statement that
![]() | (8) |
If
, the estimate
is valid.
The most recent known estimate of
on the straight line
[4] deviates strongly from the expected estimate (8); it has the form
![]() |
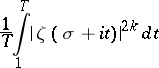
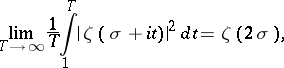
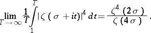
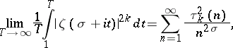
The problem on the average value of the zeta-function consists in determining the properties of the function
![]() |
as
for any given
and
. The results have applications in the study of the zeros of the zeta-function, and in number theory directly.
It has been proved [4] that
![]() |
![]() |
If
, [4],
![]() |
![]() |
For
, all that is known is that if
,
![]() |
where
is the number of multiplicative representations of
in the form of
positive integers, and that the asymptotic relation
![]() |
is the equivalent of Lindelöf's hypothesis for
.
An important part in the theory of the zeta-function is played by the problem of estimating the function
which denotes the number of zeros
of
for
,
. Modern estimates of
are based on convexity theorems of the average values of analytic functions, applied to the function
![]() |
If, for some
,
,
![]() |
as
, uniformly for
, where
is a positive non-increasing function with bounded derivative and
is a constant, then
![]() |
uniformly for
.
It is also known that if, for
,
![]() |
then, uniformly for
,
![]() |
These two assumptions made it possible to obtain the following density theorems on the zeros of the zeta-function:
![]() |
for
, and
![]() |
for
.
The zeros of the zeta-function on the straight line
.
According to the Riemann hypothesis, all non-trivial zeros of the zeta-function lie on the straight line
. The fact that this straight line contains infinitely many zeros was first demonstrated in 1914 by Hardy [4] on the base of Ramanujan's formula:
![]() |
The latest result is to be credited to A. Selberg (1942) [4]: The number
of zeros of
of the form
satisfies the inequality
![]() |
This means that the number of zeros of the zeta-function on the straight line
has the same order of increase as the number of all non-trivial zeros:
![]() |
For the zeros of the zeta-function on this straight line, a number of other results are also known. The approximate functional equation actually makes it possible to compute (to a certain degree of accuracy) the values in which the zeta-function is zero closest to the real axis. With the aid of this method, a computer may be employed to find the zeros of
in the rectangle
,
. Their number is
, and they all lie on the straight line
. The ordinates of the first six zero-points, accurate to within the second digit to the right of the decimal point, are 14.13; 21.02; 25.01; 30.42; 32.93; and 37.58.
In general, the distance between contiguous zeros of
has been estimated in Littlewood's theorem (1924): For any sufficiently large
the function
has a zero point
such that
![]() |
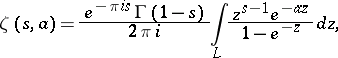
The generalized zeta-function is defined, for
, by the series
![]() |
For
it becomes identical with Riemann's zeta-function. The analytic continuation to the entire plane is given by the formula
![]() |
where the integral is taken over a contour
which is a path from infinity along the upper boundary of a section of the positive real axis up to some given
, then along the circle of radius
counterclockwise, and again to infinity along the lower boundary of the section. The function
is regular everywhere except at the point
, at which it has a simple pole with residue one. It plays an important part in the theory of Dirichlet
-functions [9], [10].
Dedekind's zeta-function is the analogue of Riemann's zeta-function for algebraic number fields, and was introduced by R. Dedekind [11].
Let
be an algebraic number field of degree
, where
is the number of real fields and
is the number of complex-conjugated pairs of fields in
; further, let
be the discriminant,
the number of divisor classes, and
the regulator of the field
, and let
be the number of roots of unity contained in
.
Dedekind's zeta-function
of the field
is the defined by the series
![]() |
where
runs through all integral non-zero divisors of
and
is the norm of the divisor
. This series converges absolutely and uniformly for
,
, defining an analytic function which is regular in the half-plane
.
If
, then
![]() |
where
is the number of integral divisors of
with norm
;
, where
is the number of multiplicative representations of
by
natural factors.
If
, Euler's identity
![]() |
holds, where
runs through all prime divisors of
.
Main properties of Dedekind's zeta-function.
Cf. [11].
1)
is regular in the entire complex plane except at the point
, at which it has a simple pole with residue
![]() |
2)
satisfies the functional equation
![]() |
where
![]() |
3) If
, the function
has a zero of order
at the point
;
if
; at the points
,
Dedekind's zeta-function
has zeros of order
; at the points
for
it has zeros of order
, while for
it is non-zero. These are the trivial zeros of the function
.
4) All other zeros of
lie in the critical strip
.
The basic hypothesis is that all non-trivial zeros of
lie on the straight line
. It has been proved that
has no zeros on the straight line
. Moreover, there exists an absolute positive constant
, as well as a constant
depending on the parameters of
, with the following property:
![]() |
In general, if the parameters of
are given, many results analogous to those for Riemann's zeta-function apply to
. However, in the general case the theory of Dedekind's zeta-function is more complicated, since it also comprises the theory of Dirichlet
-functions. Thus, it is not yet (1978) known if Dedekind's zeta-functions have real zeros between 0 and 1. The exact dependence between Dedekind's zeta-functions and
-series of a rational field has the following form. Let
be the minimal Galois field containing
; let
be the Galois group of
,
the class number of
and
the prime characters of
,
. Then
![]() |
where
is Riemann's zeta-function,
are Artin's
-series and
are positive integers determined by the properties of the relative group of the field
. In particular, if
is a cyclotomic extension, then
,
,
, and Artin's
-series become ordinary Dirichlet
-series.
Dedekind's zeta-functions of a divisor class
of the field
, denoted by
, are considered in parallel with Dedekind's zeta-function
. These functions are defined by the same series as
, but
runs not through all, but only through the integral divisors belonging to the given class
. The properties of the functions
resemble those of
. The following formula is valid:
![]() |
Dedekind's zeta-functions are the basis of the modern analytic theory of divisors of algebraic number fields. There they play the role played by Riemann's zeta-function in the theory of numbers of the rational field.
The congruence zeta-function or the Artin–Schmidt zeta-function (see Zeta-function in algebraic geometry, below) is the analogue of Dedekind's zeta-function for fields of algebraic functions in a single variable and with a finite field of constants.
References
| [1] | L. Euler, "Einleitung in die Analysis des Unendlichen" , Springer (1983) (Translated from Latin) MR0715928 Zbl 0521.01031 |
| [2] | P.L. Chebyshev, "Selected mathematical works" , Moscow-Leningrad (1946) (In Russian) |
| [3] | B. Riemann, "Collected works" , Dover, reprint (1953) Zbl 0703.01020 Zbl 08.0231.03 |
| [4] | E.C. Titchmarsh, "The theory of the Riemann zeta-function" , Clarendon Press (1986) ((Rev. ed.)) MR0882550 Zbl 0601.10026 |
| [5] | A.F. Lavrik, "Approximate functional equations for Dirichlet functions" Math. USSR Izv. , 2 (1968) pp. 129–179 Izv. Akad. Nauk SSSR Ser. Mat. , 32 : 1 (1968) pp. 134–185 MR0227120 Zbl 0188.10403 |
| [6] | I.M. Vinogradov, "The method of trigonometric sums in the theory of numbers" , Interscience (1954) (Translated from Russian) MR0603100 MR0409380 |
| [7] | I.M. Vinogradov, "A new estimate for " Izv. Akad. Nauk. Ser. Mat. , 22 (1958) pp. 161–164 (In Russian) |
| [8] | H.L. Montgomery, "Zeros of -functions" Invent. Math. , 8 (1969) pp. 346–354 |
| [9] | K. Prachar, "Primzahlverteilung" , Springer (1957) MR0087685 Zbl 0080.25901 |
| [10] | N.G. Chudakov, "Introductions to the theory of Dirichlet -functions" , Moscow-Leningrad (1947) (In Russian) |
| [11] | E. Hecke, "Mathematische Werke" , Vandenhoeck & Ruprecht (1959) MR0104550 Zbl 0092.00102 |
Comments
To date (1993), the sharpest known zero-free region is given by the following theorem [a1]: There is an absolute constant
such that
for
![]() |
By numerical computations combined with analytic theory it has been shown that the first
non-trivial zeros of
are precisely on the line
, [a4].
N. Levinson has shown that at least
-rd of the non-trivial zeros of
are indeed on
, [a5].
References
| [a1] | A. Ivic, "The Riemann zeta-function" , Wiley (1985) MR0792089 Zbl 0583.10021 Zbl 0556.10026 |
| [a2] | S.J. Patterson, "An introduction to the theory of the Riemann zeta-function" , Cambridge Univ. Press (1988) MR0933558 Zbl 0641.10029 |
| [a3] | H.M. Edwards, "Riemann's zeta-function" , Acad. Press (1974) |
| [a4] | R.P. Brent, J. van de Lune, H.J.J. te Riele, D.T. Winter, "The first 200.000.001 zeros of Riemann's zeta-function" , Computational methods in number theory , Math. Centre , Amsterdam (1982) pp. 389–403 MR0702523 |
| [a5] | N. Levinson, "More than one third of the zeros of the Riemann zeta-function are on " Adv. Math. , 13 (1974) pp. 383–436 MR564081 |
| [a6] | T.M. Apostol, "Introduction to analytic number theory" , Springer (1976) MR0434929 Zbl 0335.10001 |
| [a7] | R. Dedekind, "Gesammelte Math. Werke" , 1–3 , Vieweg (1930–1932) |
| [a8] | G.H. Hardy, E.M. Wright, "An introduction to the theory of numbers" , Clarendon Press (1979) MR0568909 Zbl 0423.10001 |
| [a9] | C.B. Haselgrove, J.C.P. Miller, "Tables of the Riemann zeta-function" , Cambridge Univ. Press (1960) MR0117905 Zbl 0095.12001 |
| [a10] | E. Hecke, "Vorlesungen über die Theorie der algebraischen Zahlen" , Chelsea, reprint (1970) MR0352036 Zbl 0208.06101 |
| [a11 ] | A. Ivic, "Topics in recent zeta-function theory" , Publ. Math. Orsay (1983) MR0734175 Zbl 0524.10032 |
| [a12] | E. Landau, "Handbuch der Lehre von der Verteilung der Primzahlen" , Chelsea, reprint (1953) MR0068565 Zbl 0051.28007 |
| [a13] | R.S. Lehman, "Separation of zeros of the Riemann zeta-function" Math. of Comp. , 20 (1966) pp. 523–541 MR0203909 Zbl 0173.44201 |
| [a14] | H.J.J. te Riele, J. van de Lune, D.T. Winter, "On the zeros of the Riemann zeta-function in the critical strip IV" Math. of Comp. , 46 (1986) pp. 667–682 Zbl 0585.10023 |
| [a15] | D.B. Zagier, "Zetafunktionen und quadratische Körper" , Springer (1981) MR0631688 Zbl 0459.10001 |
The zeta-function in algebraic geometry is an analytic function of a complex variable
describing the arithmetic of algebraic varieties over finite fields and schemes of finite type over
. If
is such a scheme,
is the set of its closed points and
denotes the number of elements of the residue field
of a point
, then the zeta-function
is given by the Euler product
![]() |
This converges absolutely if
, it admits meromorphic continuation to the half-plane
, and has a pole at the point
[10]. If
, then
is Riemann's zeta-function, and if
is finite over
, then
is Dedekind's zeta-function of the respective number field.
The situation when
is an algebraic variety defined over a finite field
has been the most thoroughly studied. In this case
![]() |
where
is the degree of the field
over the field
, and the function
defined by
![]() |
is usually considered instead of the function
. If
is the number of rational points of the variety
in the field
, it has been proved [14] that
![]() |
Such zeta-functions were first introduced for the case of algebraic curves (in analogy with algebraic number fields) in 1924 by E. Artin [1], who noted that they are rational functions in
and that in certain cases an analogue of the Riemann hypothesis on zeros is valid for such functions. This analogue was named the Artin hypothesis. It was demonstrated in 1933 by H. Hasse for curves of genus one (for genus zero the situation is trivial), and by A. Weil (1940) for curves of arbitrary genus with the aid of results of the theory of Abelian varieties (cf. Abelian variety), mainly created by him with this purpose in view [2], [14].
Weil [2] considered zeta-functions of arbitrary algebraic varieties and pointed out a hypothesis generalizing the then known results for curves. His studies are based on the observation that the set of points of the variety
which are rational in
, is also the set of fixed points of the
-th power of the Frobenius endomorphism of this variety. Weil's first conjecture says that the category of algebraic varieties over finite fields admits a cohomology theory which satisfies all the formal properties required to obtain the Lefschetz formula. If
are the cohomology groups of such a theory, it follows from the Lefschetz formula that
![]() |
where
and
are the characteristic polynomials of the mapping induced by the Frobenius endomorphism on the Weil cohomology
. In particular, the function
is rational.
According to Weil's second conjecture, the function
must satisfy a functional equation. For a smooth projective variety
this equation reads
![]() |
where
is the Euler characteristic, equal to
. (This hypothesis is a formal consequence of the existence of a cohomology.) B. Dwork [6] proved that the zeta-function is rational for all
, using a method not involving cohomology. The cohomology theory predicted by Weil was created in 1958 by A. Grothendieck (cf. Weil cohomology; Topologized category;
-adic cohomology). Grothendieck, together with M. Artin, demonstrated both Weil conjectures for smooth projective varieties, the polynomials
having, in general, integral
-adic coefficients which depend on the selection of the prime number
which forms the basis of the theory. It is assumed that the coefficients are in fact integers which are independent of
and, in general, of the choice of the cohomology theory. This postulate is widely known as Weil's third conjecture. Finally, Weil's fourth conjecture (and last one) refers to the zeros
of the polynomials
regarded as integral algebraic numbers (the Riemann hypothesis):
![]() |
All these conjectures were demonstrated by P. Deligne [4].
The principal applications of Weil's conjectures in number theory deal with the study of congruences. Already in the case of curves, Weil's theorem entails the best estimate of a rational trigonometric sum in one variable [14]. These estimates were generalized to include sums involving any number of variables. Another important application of this theory are estimates of the Fourier coefficients of modular forms (cf. Modular form) (the Ramanujan–Peterson problem [4], [15]).
In fact, the above results are special cases of much more general theorems about arbitrary
-functions connected with representations of Galois groups of coverings of the variety
or, more generally, with some
-adic sheaf on
[5], [10]. These functions serve as analogues of the
-functions known in the algebraic number theory on arbitrary schemes. Now, let
be a scheme of finite type over
such that its general fibre
is a non-empty algebraic variety over the field of rational numbers
. One conjectures that the zeta-functions
have meromorphic continuations to the entire
-plane and satisfy a functional equation. The hypothetical form of such an equation was proposed in [11]. However, at the time of writing (1978) the conjecture has been proved in very special cases only (rational surfaces, algebraic curves uniformizable by modular functions and Abelian varieties with complex multiplication [15]). As regards the analogue of the Riemann hypothesis, it has not even been formulated
yet for the situation considered.
New ideas on the study of zeta-functions were contributed by J. Birch, P. Swinnerton-Dyer [12] and J. Tate [13]. In formulating the respective conjectures, it should be borne in mind that the function
is the product of the zeta-functions
of the fibres
of the mapping
. These fibres, which are varieties over finite fields, can, according to Weil's conjecture, be decomposed into polynomials. Multiplying these expansions through, one obtains an analogous representation for the zeta-function:
![]() |
According to the conjecture of Birch and Swinnerton-Dyer, the order of the zero of the function
at the point
is equal to the rank of the group of rational points of the Picard variety
(which, by virtue of the Mordell–Weil theorem, is finite). Accordingly, this conjecture assumes that meromorphic continuation of the zeta-function is possible as conjectured.
In its original form, the conjecture of Birch and Swinnerton-Dyer was demonstrated for elliptic curves over the field
, as a result of the study of extensive tables of curves with complex multiplication [12]. Subsequently there was suggested a hypothetical value of the coefficient at the appropriate power of the variable
in the expansion of the function
in a neighbourhood of the point
. It should be equal to
![]() |
where
is the assumed finite order of the Shafarevich–Tate group of the locally trivial principal homogeneous space of the variety
,
is the determinant of the bilinear form on the group of rational points of the variety
, which is obtained from the height (cf. Height, in Diophantine geometry) of points, and
and
are the orders of the torsion subgroups in the group of rational points on
and the dual Abelian variety. This expression generalizes the expression for the residue of the Dedekind zeta-function at the point
which is familiar in algebraic number theory. One difficulty involved in demonstrating the Birch–Swinnerton-Dyer conjecture is the fact that group
has not yet (1978) been fully computed for any curve. The analogue of the hypothesis has been proved for curves defined over a field of functions, but even in this case it had been necessary to assume the finiteness of the Brauer group, which here plays the role of the group
[5].
In his study of the action of the Galois group on algebraic cycles of varieties, Tate [13] proposed a conjecture on the poles of the functions
for even values of
, to wit, that the function
has, at the point
, a pole of order equal to the rank of the group of algebraic cycles of codimension
. This statement is closely connected with Tate's conjecture on algebraic cycles. For the various approaches leading to proofs of these conjectures, and for various arguments in favour of them, see [5], [7], [12], [13], [17].
Quite apart from the concept of the zeta-function just described, zeta-functions which are Mellin transforms of modular forms have been studied in the theory of algebraic groups and automorphic functions. Weil noted in 1967 that a consequence of the general hypotheses on the function
for an elliptic curve
over
is that the curve
is uniformized by modular functions, while the function
is the Mellin transform of the modular form corresponding to a differential of the first kind on
. This observation led to the assumption that the functions
of any scheme
are Mellin transforms of the respective modular forms. Basic results on this problem were obtained by E. Jacquet and R. Langlands [7], [9]. In particular, they constructed an extensive class of Dirichlet series satisfying a certain functional equation and expandable into an Euler product which may be represented as the Mellin transform of modular forms on the group
. Meeting the requirements of this theorem is directly related to the conjectures on the general properties of zeta-functions discussed above. Their verification is as yet possible only for curves defined over a field of functions.
From 1970 on, the studies of
-adic zeta-functions of algebraic number fields [14] stimulated a similar approach to the zeta-functions of schemes — mainly elliptic curves. The problems involved, which greatly resemble those discussed above, are reviewed in [9]. The zeta-function of an elliptic curve over
is closely connected with the one-dimensional formal group of the curve, and they completely define each other [16].
References
| [1] | E. Artin, "Quadratische Körper im Gebiet der höheren Kongruenzen I, II" Math. Z. , 19 (1924) pp. 153–246 |
| [2] | A. Weil, "Courbes algébriques et variétés abéliennes. Sur les courbes algébriques et les varietés qui s'en deduisent" , Hermann (1948) |
| [3] | A. Weil, "Numbers of solutions of equations in finite fields" Bull. Amer. Math. Soc. , 55 : 5 (1949) pp. 497–508 MR0029393 Zbl 0032.39402 |
| [4] | P. Deligne, "La conjecture de Weil I" Publ. Math. IHES , 43 (1974) pp. 273–307 MR0340258 Zbl 0314.14007 Zbl 0287.14001 |
| [5] | A. Grothendieck (ed.) J. Giraud (ed.) et al. (ed.) , Dix exposés sur la cohomologie des schémas , North-Holland & Masson (1968) |
| [6] | B. Dwork, "A deformation theory for the zeta-function of a hypersurface" , Proc. Internat. Congress Mathematicians (Djursholm, 1963) , Almqvist & Weksell (1963) pp. 247–259 MR0175895 Zbl 0196.53302 |
| [7] | E. Jacquet, "Automorphic forms on " , 1 , Springer (1970) MR0401654 Zbl 0236.12010 |
| [8] | Yu.I. Manin, "Cyclotomic fields and modular curves" Russian Math. Surveys , 26 : 6 (1971) pp. 7–78 Uspekhi Mat. Nauk , 26 : 6 (1971) pp. 7–71 MR0401653 Zbl 0266.14012 |
| [9] | J.-P. Serre (ed.) P. Deligne (ed.) W. Kuyk (ed.) , Modular functions of one variable. 2–3 , Lect. notes in math. , 349; 350 , Springer ( 1973) MR0323724 |
| [10] | J.-P. Serre, "Zeta and -functions" O.F.G. Schilling (ed.) , Arithmetical Algebraic geometry (Proc. Purdue Conf. 1963) , Harper & Row (1965) pp. 82–92 MR0194396 MR0190106 |
| [11] | J.-P. Serre, "Facteurs locaux des fonctions zêta des variétés algébriques (définitions et conjectures)" Sem. Delange–Pisot–Poitou , 19 (1969/70) |
| [12] | P. Swinnerton-Dyer, "The conjectures of Birch and Swinnerton-Dyer and of Tate" T.A. Springer (ed.) , Local Fields (Proc. Conf. Driebergen, 1966) , Springer (1967) pp. 132–157 Zbl 0197.47101 |
| [13] | J.T. Tate, "Algebraic cycles and poles of zeta-functions" O.F.G. Schilling (ed.) , Arithmetical Algebraic geometry (Proc. Purdue Conf. 1963) , Harper & Row (1965) pp. 93–110 MR0225778 Zbl 0213.22804 |
| [14] | I.R. Shafarevich, "The zeta-function" , Moscow (1969) (In Russian) |
| [15] | G. Shimura, "Introduction to the mathematical theory of automorphic functions" , Princeton Univ. Press (1971) |
| [16] | T. Honda, "Formal groups and zeta-functions" Osaka J. Math. , 5 (1968) pp. 199–213 MR0249438 Zbl 0169.37601 |
| [17] | A.N. Parshin, "Arithmetic on algebraic varieties" J. Soviet Math. , 1 : 5 (1973) pp. 594–620 Itogi Nauk. Algebra. Topol. Geom. 1970 (1970/71) pp. 111–151 Zbl 0284.14004 |
A.N. Parshin
Comments
The conjectures of Birch and Swinnerton-Dyer have been generalized by S. Bloch and P. Beilinson to conjectures relating the ranks of Chow groups obtained from algebraic cycles with orders of poles of zeta-functions. See [a6]–[a8].
The Tate–Shafarevich group of certain elliptic curves over number fields has recently been computed (–[a5]). As predicted, it is finite in these cases. The Weil conjectures and their proofs have been extended to the case of arbitrary schemes of finite type [a1].
References
| [a1] | P. Deligne, "La conjecture de Weil, II" Publ. Math. IHES , 52 (1980) pp. 137–252 MR0601520 Zbl 0456.14014 |
| [a2] | E. Freitag, R. Kiehl, "Étale cohomology and the Weil conjecture" , Springer (1988) MR0926276 Zbl 0643.14012 |
| [a3a] | V. Kolyvagin, "Finiteness of and for a subclass of Weil curves" Math. USSR Izv. , 33 (1989) Izv. Akad. Nauk SSSR , 52 (1988) pp. 522–540 MR0954295 Zbl 0662.14017 |
| [a3b] | V. Kolyvagin, "On the Mordell–Weil group and the Shafarevich–Tate group of Weil elliptic curves" Math. USSR Izv. , 33 (1989) Izv. Akad. Nauk SSSR , 52 (1988) pp. 1154–1180 MR984214 Zbl 0749.14012 |
| [a4] | V.A. Kolyvagin, "On the structure of the Shafarevich–Tate groups" S. Block (ed.) et al. (ed.) , Algebraic geometry , Lect. notes in math. , 1479 , Springer (1991) pp. 94–121 MR1181210 Zbl 0753.14025 |
| [a5] | K. Rubin, "The Tate–Shafarevich group and -functions of elliptic curves with complex multiplication" Invent. Math. , 89 (1987) pp. 527–560 |
| [a6] | S. Bloch, "Algebraic cycles and values of -functions I" J. Reine Angew. Math. , 350 (1984) pp. 94–108 MR743535 |
| [a7] | S.
Bloch, "Algebraic cycles and values of -functions II" Duke Math. J. , 52 (1985) pp. 379–397 MR792179 |
| [a8] | A. Beilinson, "Higher regulators and values of -functions" J. Soviet Math. , 30 (10985) pp. 2036–2070 Itogi Nauk. i Tekhn. Sovr. Probl. Mat. , 24 (1984) pp. 181–238 |
Zeta-function. Encyclopedia of Mathematics. URL: http://encyclopediaofmath.org/index.php?title=Zeta-function&oldid=25489








































" Izv. Akad. Nauk. Ser. Mat. , 22 (1958) pp. 161–164 (In Russian)
-functions" Invent. Math. , 8 (1969) pp. 346–354
-functions" , Moscow-Leningrad (1947) (In Russian) 
" Adv. Math. , 13 (1974) pp. 383–436 








" , 1 , Springer (1970)
-functions" O.F.G. Schilling (ed.) , Arithmetical Algebraic geometry (Proc. Purdue Conf. 1963) , Harper & Row (1965) pp. 82–92
and
for a subclass of Weil curves" Math. USSR Izv. , 33 (1989) Izv. Akad. Nauk SSSR , 52 (1988) pp. 522–540
-functions of elliptic curves with complex multiplication" Invent. Math. , 89 (1987) pp. 527–560
-functions I" J. Reine Angew. Math. , 350 (1984) pp. 94–108
-functions II" Duke Math. J. , 52 (1985) pp. 379–397
-functions" J. Soviet Math. , 30 (10985) pp. 2036–2070 Itogi Nauk. i Tekhn. Sovr. Probl. Mat. , 24 (1984) pp. 181–238