Stanley-Reisner ring
Stanley–Reisner face ring, face ring
The Stanley–Reisner ring of a simplicial complex
over a field
is the quotient ring
![]() |
where
are the vertices of
,
denotes the polynomial ring over
in the variables
, and
is the ideal in
generated by the non-faces of
, i.e.,
![]() |
The support of any monomial in
is a face of
. In particular, the square-free monomials of
correspond bijectively to the faces of
, and are therefore called the face-monomials
![]() |
One may thus write
more compactly as
.
It is easy to verify that the Krull dimension of
(cf. also Dimension) is one greater than the dimension of
(
).
Recall that the Hilbert series of a finitely-generated
-graded module
over a finitely-generated
-algebra is defined by
. The Hilbert series of
may be described from the combinatorics of
. Let
, let
, and call
the
-vector of
. Then
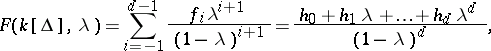
![]() |
where the sequence
, called the
-vector of
, may be derived from the
-vector of
(and vice versa) by the equation
![]() |
The mapping from
to
allows properties defined for rings to be naturally extended to simplicial complexes. The most well-known and useful example is Cohen–Macaulayness: A simplicial complex
is defined to be Cohen–Macaulay (over the field
) when
is Cohen–Macaulay (cf. also Cohen–Macaulay ring). The utility of this extension is demonstrated in the proof that if (the geometric realization of) a simplicial complex is homeomorphic to a sphere, then its
-vector satisfies a condition called the upper bound conjecture (for details, see [a1], Sect. II.3,4). The statement of this result requires no algebra, but the proof relies heavily upon the Stanley–Reisner ring and Cohen–Macaulayness. Many other applications of the Stanley–Reisner ring may be found in [a1], Chaps. II, III.
Finally, there is an anti-commutative version of the Stanley–Reisner ring, called the exterior face ring or indicator algebra, in which the polynomial ring
in the definition of
is replaced by the exterior algebra
.
References
| [a1] | R. Stanley, "Combinatorics and commutative algebra" , Birkhäuser (1996) (Edition: Second) |
Stanley-Reisner ring. Encyclopedia of Mathematics. URL: http://encyclopediaofmath.org/index.php?title=Stanley-Reisner_ring&oldid=23037




