Namespaces
Variants
Actions

Hardy-Littlewood problem

From Encyclopedia of Mathematics
Jump to: navigation, search
The printable version is no longer supported and may have rendering errors. Please update your browser bookmarks and please use the default browser print function instead.

The problem of finding an asymptotic formula for the number of solutions of the equation

(1)

where is a prime number, and are integers, and is a natural number . An analogue of this problem is that of finding the asymptotic behaviour for the number of solutions of the equation

(2)

where is a fixed integer, and ().

The problem was raised by G.H. Hardy and J.E. Littlewood in 1923 and treated by them on the basis of heuristic and hypothetical arguments.

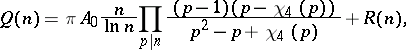
The dispersion method worked out by Yu.V. Linnik enabled him to find an asymptotic expansion for (1):

where

From a similar formula for (2) it follows that the set of prime numbers of the form is infinite. By means of the dispersion method an asymptotic expansion has also been found for the number of solutions of the generalized Hardy–Littlewood equation , where is a prime number and is a given primitive positive-definite quadratic form.

The discussion of the similar equation leads to a proof that the set of prime numbers of the form is infinite.

The Vinogradov–Bombieri theorem on the average distribution of prime numbers in arithmetic progressions also gives a solution of the Hardy–Littlewood problem, by replacing the extended Riemann hypothesis by theorems of the type of the large sieve.

References

[1] Yu.V. Linnik, "The dispersion method in binary additive problems" , Amer. Math. Soc. (1963) (Translated from Russian)
[2] B.M. Bredikhin, Yu.V. Linnik, "Asymptotic behaviour and ergodic properties of solutions of the generalized Hardy–Littlewood equation" Mat. Sb. , 71 : 2 (1966) pp. 145–161 (In Russian)
[3] B.M. Bredikhin, "The dispersion method and definite binary additive problems" Russian Math. Surveys , 20 : 2 (1965) pp. 85–125 Uspekhi Mat. Nauk , 20 : 2 (1965) pp. 89–130


Comments

Of course, this is just one of the many problems raised by Hardy and Littlewood.

How to Cite This Entry:
Hardy-Littlewood problem. Encyclopedia of Mathematics. URL: http://encyclopediaofmath.org/index.php?title=Hardy-Littlewood_problem&oldid=22549
This article was adapted from an original article by B.M. Bredikhin (originator), which appeared in Encyclopedia of Mathematics - ISBN 1402006098. See original article