Monogeneity set
The set of all derived numbers (Dini derivatives, cf. Dini derivative) of a given function of a complex variable at a given point. More precisely, let
be a set in the complex plane
, let
be a non-isolated point of
and let
be a complex function of
. A complex number
(proper or equal to
) is called a derived number (or Dini derivative) of
at
relative to
if there is a sequence
with the properties:
,
,
![]() |
The set
of all derived numbers of
at
relative to
is called the monogeneity set of
at
relative to
(see [1]). The set
consists of a unique finite point
if and only if
is a monogenic function at
relative to
and
. The set
is always closed, and for each closed set
in the extended complex plane
, each set
and each finite non-isolated point
of
, there is a function
,
, such that
. If
is an interior point of
, then for any function
that is continuous in a neighbourhood of
, the set
is closed and connected (a continuum) in
and, conversely, for any continuum
there is a function
, continuous in a neighbourhood of
, for which
. If
is differentiable with respect to the set of real variables
at an interior point
of
, then
is the circle
(possibly degenerating into a point,
) with centre
and radius
, where
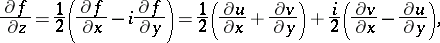
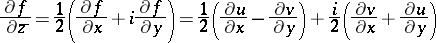
![]() |
![]() |
are the so-called formal derivatives. The converse is also true: Each circle is the monogeneity set for some function
, differentiable with respect to
, at a given interior point
of
.
If
is continuous in a domain
, then at almost every
the set
is either a circle
,
, or is
(see [2]). In the general case of an arbitrary (not necessarily measurable) set
and an arbitrary (not necessarily measurable) finite function
,
, at almost every point
one of the following three cases holds: a)
,
,
; b)
; or c)
,
,
. Here, a) holds at almost every differentiability point of
with respect to
and one of the first two cases holds at almost every continuity point of
. Each of the cases a)–c) may be realized individually at almost every point
.
For some natural generalizations to the multi-dimensional case see [4].
References
| [1] | V.S. Fedorov, "The work of N.N. Luzin on the theory of functions of a complex variable" Uspekhi Mat. Nauk , 7 : 2 (1952) pp. 7–16 (In Russian) |
| [2] | Yu.Yu. Trokhimchuk, "Continuous mappings and monogeneity conditions" , Moscow (1963) (In Russian) |
| [3] | E.P. Dolzhenko, "On the derived numbers of complex functions" Izv. Akad. Nauk SSSR Ser. Mat. , 26 (1962) pp. 347–360 (In Russian) |
| [4] | A.V. Bondar, "Continuous operator conformal mappings" Ukr. Math. J. , 32 : 3 (1980) pp. 207–212 Ukrain. Mat. Zh. , 32 : 3 (1980) pp. 314–322 |
Monogeneity set. Encyclopedia of Mathematics. URL: http://encyclopediaofmath.org/index.php?title=Monogeneity_set&oldid=18192


