Plancherel formula
A formula expressing the invariance of the inner product under Fourier transformation (cf. Fourier transform) on the space
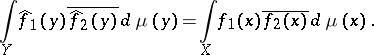
:
![]() |
In the classical case, where
is
-dimensional Euclidean space and
and
denote
-dimensional Lebesgue measure, the Fourier transformation
![]() |
on
is a continuous extension of the classical Fourier transformation
![]() |
![]() |
where
is the inner product in
, from the set
to the space
.
Plancherel's formula applies also when
is a locally compact commutative topological group, with
its character group,
,
,
and
are correspondingly normalized invariant measures (cf. Invariant measure) on
and
, and the Fourier transformation
on the space
is a continuous extension of the mapping
![]() |
![]() |
from the set
to the space
.
Plancherel's formula can be extended to non-commutative topological groups. Let, e.g.,
be a compact Hausdorff group, let
be an invariant measure on it,
, let
be an irreducible finite-dimensional unitary representation of dimension
of
in a Hilbert space (cf. Representation of a compact group),
,
, let
![]() |
(* denotes transition to the adjoint operator), and let
be the trace of the operator
. Then the generalized Plancherel formula is:
![]() | (*) |
References
| [1] | A.N. Kolmogorov, S.V. Fomin, "Elements of the theory of functions and functional analysis" , 1–2 , Graylock (1957–1961) (Translated from Russian) |
| [2] | M.A. Naimark, "Normed rings" , Reidel (1984) (Translated from Russian) |
Comments
See also the references to Fourier transform. In the case of a locally compact unimodular type-I group there is a Plancherel formula quite analogous to (*), cf. [a3], § 18.8: just replace in (*)
by an integral
over the unitary dual
of
. In general, this formula is only available in abstract form. It is an important area of research to obtain more information about the Plancherel measure
, such as its support, its discrete part and its full explicit expression. In the case of a real non-compact semi-simple Lie group this program was successfully completed by Harish-Chandra. More generally, Plancherel formulas can be considered on homogeneous spaces, for instance pseudo-Riemannian ones, cf. [a1], § II.2. Specialization of Plancherel formulas on groups or homogeneous spaces to functions satisfying certain covariance properties with respect to a subgroup may yield Plancherel formulas for integral transforms with special function kernels. The resulting Plancherel measure can often be alternatively interpreted as the spectral measure for an eigen value problem involving ordinary or partial differential operators.
References
| [a1] | M. Flensted-Jensen, "Analysis on non-Riemannian symmetric spaces" , Amer. Math. Soc. (1986) |
| [a2] | H. Reiter, "Classical harmonic analysis and locally compact groups" , Clarendon Press (1968) |
| [a3] | J. Dixmier, " algebras" , North-Holland (1977) (Translated from French) |
| [a4] | E. Hewitt, K.A. Ross, "Abstract harmonic analysis" , 2 , Springer (1979) |
Plancherel formula. Encyclopedia of Mathematics. URL: http://encyclopediaofmath.org/index.php?title=Plancherel_formula&oldid=17932








algebras" , North-Holland (1977) (Translated from French)