Umbral calculus
A systematic theory for studying certain types of sequences of polynomials, or formal Laurent series, through the use of modern algebra techniques.
The term umbra was coined by J.J. Sylvester in the mid 1800's, and originally referred to a symbol $\mathbf{a}$ used to represent a sequence of real numbers $a_0,a_1,a_2,\ldots$. Thus, if the sequences $\mathbf{a}$, $\mathbf{b}$ and $\mathbf{c}$ satisfy $$ c_n = \sum_{k=0}^n \binom{n}{k} a_k b_{n-k}\ , $$ this could be written in umbral notation as $$ \mathbf{c}^n = (\mathbf{a}+\mathbf{b})^n \ . $$ This notation is now obsolete, however.
The modern umbral calculus is designed to study polynomial sequences $p_n(x)$ of binomial type, that is, sequences for which $\deg p_n(x) = n$ and $$ p_n(x+y) = \sum_{k=0}^n \binom{n}{k} p_k(x) p_{n-k}(y) \ , $$ as well as polynomial sequences $s_n(x)$ of Sheffer type, that is, sequences for which $\deg s_n(x) = n$ and $$ s_n(x+y) = \sum_{k=0}^n \binom{n}{k} s_k(x) p_{n-k}(y) \ , $$ where $p_n(x)$ is a sequence of binomial type. Among the class of Sheffer sequences are included sequences of polynomials associated with the names of Ch. Hermite, E.N. Laguerre, J. Bernoulli, L. Euler, S.D. Poisson and C. Charlier, J. Meixner, F.B. Pidduck, S. Narumi, G. Boole, G.M. Mittag-Leffler, F.W. Bessel, E.T. Bell, N.H. Abel, and others.
If $P$ is the algebra of polynomials in a single variable, then the dual space $P^*$ is well-known to be a vector space. In fact, $P^*$ is isomorphic to the vector space of formal power series $\mathcal{F}$ via the mapping $$ \sigma(L) = \sum_{k=0}^\infty \frac{ L(x^k) }{ k! } t^k \ . $$
One may therefore identify $P^*$ as the algebra $\sigma(P^*) = \mathcal{F}$, thus allowing for the multiplication of linear functionals. The algebra $\mathcal{A} = \sigma(P^*)$ is called the umbral algebra.
In particular, for linear functionals $L$ and $M$, the geometric series $M,ML,ML^2,\ldots$ makes sense, and so one may define a sequence $s_n(x)$ of polynomials by $\deg s_n(x) = n$ and the orthogonality conditions $$ ML^k(s_n(x)) = \delta_{kn} \ . $$ The sequences obtained in this way are precisely the sequences of Sheffer type, and are called Sheffer sequences.
The most powerful results in the umbral calculus come from a study of the space of linear operators on the umbral algebra $\mathcal{A}$. If $T : P \rightarrow P$ is a linear operator on $P$, its adjoint $T^* : \mathcal{A} \rightarrow \mathcal{A}$ is a linear operator on the umbral algebra $\mathcal{A}$.
The most important linear operators on
are the umbral operator, defined for a sequence
of binomial type by
![]() |
and the umbral shift, defined for a sequence
of binomial type by
![]() |
Two key results in the umbral calculus say that a linear operator on
is an umbral operator if and only if its adjoint is an automorphism of
, and an operator on
is an umbral shift if and only if its adjoint is a derivation on
. The first result leads to an explicit formula for the polynomials
, and the second result leads to a recurrence relation for the
, which gives well-known recurrences in the case of Hermite, Laguerre, Bernoulli, and other sequences.
Recently, the umbral calculus has been extended in several directions. One direction is to the study of non-Sheffer sequences, such as the sequences of Chebyshev, Gegenbauer and Jacobi polynomials. Another direction is to the so-called
-umbral calculus, where the polynomial coefficients are replaced by the Gaussian coefficients.
The Gaussian coefficients, or
-binomial coefficients
, are defined by
![]() |
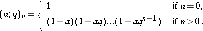
where the so-called
-shifted factorials
are defined by
![]() |
Here
is seen either as a formal variable or as a complex variable of absolute value
. Using these
-binomial coefficients one has the
-binomial formula: If
,
satisfy
, then
![]() |
![]() |
Currently a whole theory is emerging involving "q-versions of various classical objects" :
-special functions,
-gamma-function, quantum groups,
-integrals,
-orthogonal polynomials,
-hypergeometric series,
-Haar measure, etc., complete with
-versions of the various interrelations between all these objects. Cf. also (the editorial comments to) Special functions; Quantum groups and [a9]–[a10].
Finally, the umbral calculus has been generalized to study sequences of formal Laurent series, where the logarithm plays a key role.
References
| [a1] | D. Loeb, G.-C. Rota, "Formal power series of logarithmic type" Adv. Math. , 75 (1989) pp. 1–118 |
| [a2] | S. Roman, "The umbral calculus" , Acad. Press (1984) |
| [a3] | S. Roman, G.-C. Rota, "The umbral calculus" Adv. Math. , 27 (1978) pp. 95–188 |
| [a4] | S. Roman, "More on the umbral calculus, with emphasis on the $q$-umbral calculus" J. Math. Anal. Appl. , 107 (1985) pp. 222–254 |
| [a5] | S. Roman, "The logarithmic binomial formula" Amer. Math. Monthly (To appear) |
| [a6] | S. Roman, "The harmonic logarithms and the binomial formula" J. Comb. Theory, Ser. A (To appear) |
| [a7] | G.-C. Rota, D. Kahaner, A. Odlyzko, "Finite operator calculus" J. Math. Anal. Appl. , 42 (1973) pp. 684–760 |
| [a8] | K. Ueno, "Umbral calculus and special functions" Adv. Math. , 67 (1988) pp. 174–229 |
| [a9] | G. Gasper, M. Rahman, "Basic hypergeometric series" , Cambridge Univ. Press (1990) |
| [a10] | T.H. Koornwinder, "Orthogonal polynomials in connection with quantum groups" P. Nevai (ed.) , Orthogonal polynomials: theory and practice , Kluwer (1990) pp. 257–292 |
Umbral calculus. Encyclopedia of Mathematics. URL: http://encyclopediaofmath.org/index.php?title=Umbral_calculus&oldid=36879





