Difference between revisions of "Lattice"
m (link) |
(→References: expand bibliodata) |
||
| Line 77: | Line 77: | ||
====References==== | ====References==== | ||
| − | <table><TR><TD valign="top">[1]</TD> <TD valign="top"> G. Birkhoff, "Lattice theory" , ''Colloq. Publ.'' , '''25''' , Amer. Math. Soc. (1973)</TD></TR><TR><TD valign="top">[2]</TD> <TD valign="top"> G. Grätzer, "General lattice theory" , Birkhäuser (1978) (Original: Lattice theory. First concepts and distributive lattices. Freeman, 1978)</TD></TR><TR><TD valign="top">[3]</TD> <TD valign="top"> V.N. Salii, "Lectures on lattice theory" , Saratov (1970) (In Russian)</TD></TR><TR><TD valign="top">[4]</TD> <TD valign="top"> L.A. Skornyakov, "Complemented modular lattices and regular rings" , Oliver & Boyd (1964) (Translated from Russian)</TD></TR><TR><TD valign="top">[5]</TD> <TD valign="top"> L.A. Skornyakov, "Elements of lattice theory" , A. Hilger (1977) (Translated from Russian)</TD></TR><TR><TD valign="top">[6]</TD> <TD valign="top"> L.A. Skornyakov, "Lattice theory" ''Itogi Nauk. Algebra, 1964'' (1966) pp. 237–274</TD></TR><TR><TD valign="top">[7]</TD> <TD valign="top"> M.M. Glukhov, I.V. Stelletskii, T.S. Fofanova, "Lattice theory" ''Progress in Math.'' , '''12''' (1972) pp. 111–170 ''Itogi Nauk. Algebra Topol. Geom. 1968'' (1970) pp. 101–154</TD></TR><TR><TD valign="top">[ | + | <table> |
| − | + | <TR><TD valign="top">[1]</TD> <TD valign="top"> G. Birkhoff, "Lattice theory" , ''Colloq. Publ.'' , '''25''' , Amer. Math. Soc. (1973)</TD></TR> | |
| − | + | <TR><TD valign="top">[2]</TD> <TD valign="top"> G. Grätzer, "General lattice theory" , Birkhäuser (1978) (Original: Lattice theory. First concepts and distributive lattices. Freeman, 1978)</TD></TR> | |
| + | <TR><TD valign="top">[3]</TD> <TD valign="top"> V.N. Salii, "Lectures on lattice theory" , Saratov (1970) (In Russian)</TD></TR> | ||
| + | <TR><TD valign="top">[4]</TD> <TD valign="top"> L.A. Skornyakov, "Complemented modular lattices and regular rings" , Oliver & Boyd (1964) (Translated from Russian)</TD></TR> | ||
| + | <TR><TD valign="top">[5]</TD> <TD valign="top"> L.A. Skornyakov, "Elements of lattice theory" , A. Hilger (1977) (Translated from Russian)</TD></TR> | ||
| + | <TR><TD valign="top">[6]</TD> <TD valign="top"> L.A. Skornyakov, "Lattice theory" ''Itogi Nauk. Algebra, 1964'' (1966) pp. 237–274</TD></TR> | ||
| + | <TR><TD valign="top">[7]</TD> <TD valign="top"> M.M. Glukhov, I.V. Stelletskii, T.S. Fofanova, "Lattice theory" ''Progress in Math.'' , '''12''' (1972) pp. 111–170 ''Itogi Nauk. Algebra Topol. Geom. 1968'' (1970) pp. 101–154</TD></TR> | ||
| + | <TR><TD valign="top">[8a]</TD> <TD valign="top"> Saliĭ, V.N. (ed.), ''Ordered sets and lattices'' , '''3''' , Saratov (1975) (In Russian) {{ZBL|0339.00008}}</TD></TR> | ||
| + | <TR><TD valign="top">[8b]</TD> <TD valign="top"> ?, ''Ordered sets and lattices'' , '''7''' , Saratov (1983) (In Russian)</TD></TR> | ||
| + | <TR><TD valign="top">[9]</TD> <TD valign="top"> T.S. Blyth, M.F. Janowitz, "Residuation theory" , Pergamon (1972)</TD></TR> | ||
| + | <TR><TD valign="top">[10]</TD> <TD valign="top"> T. Katriňák (ed.), ''Ordered sets and lattices (Bratislava, 1985)'' , Bratislava (1989) (In Russian) {{ZBL|0653.00003}}</TD></TR> | ||
| + | <TR><TD valign="top">[11]</TD> <TD valign="top"> V.N. Salii, "Lattices with unique complements" , Moscow (1984) (In Russian)</TD></TR> | ||
| + | <TR><TD valign="top">[12]</TD> <TD valign="top"> L. Beran, "Orthomodular lattices" , Reidel (1985)</TD></TR> | ||
| + | <TR><TD valign="top">[13]</TD> <TD valign="top"> G. Gierz, K.H. Hofmann, K. Keimel, J.D. Lawson, M.V. Mislove, D.S. Scott, "A compendium of continuous lattices" , Springer (1980)</TD></TR> | ||
| + | <TR><TD valign="top">[14]</TD> <TD valign="top"> G. Kalmbach, "Orthomodular lattices" , Acad. Press (1983)</TD></TR> | ||
| + | <TR><TD valign="top">[15]</TD> <TD valign="top"> G. Kalmbach, "Measures and Hilbert lattices" , World Sci. (1986)</TD></TR> | ||
| + | <TR><TD valign="top">[16]</TD> <TD valign="top"> R.M. McKenzie, G.F. McNulty, R. Taylor, "Algebras, lattices, varieties" , '''1''' , Wadsworth (1987)</TD></TR> | ||
| + | <TR><TD valign="top">[17]</TD> <TD valign="top"> E.T. Schmidt, "A survey on congruence lattice representations" , Teubner (1982)</TD></TR> | ||
| + | </table> | ||
====Comments==== | ====Comments==== | ||
Revision as of 09:55, 21 October 2016
structure
A partially ordered set in which each two-element subset has both a least upper and a greatest lower bound. This implies the existence of such bounds for every non-empty finite subset.
Examples.
1) A linearly ordered set (or chain)
where for
, if
, then
![]() |
2) The subspaces of a vector space ordered by inclusion, where
![]() |
![]() |
3) The subsets of a given set ordered by inclusion, where
![]() |
![]() |
4) The non-negative integers ordered by divisibility:
if
for a certain
; where
is the least common multiple of
and
, and
is the greatest common divisor of
and
.
5) The real-valued functions defined on the interval
and ordered by the condition:
if
for all
, where
![]() |
in which
![]() |
and
![]() |
in which
![]() |
Let
be a lattice.
becomes a universal algebra with two binary operations if one defines
![]() |
![]() |
(the symbols
and
or
and
are often used instead of
and
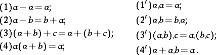
). This universal algebra satisfies the following identities:
![]() |
Conversely, if
is a set with two binary operations that have the properties –, (
)–(
) mentioned above, then an order
can be imposed on
by setting
if
(it turns out in this case that
if and only if
). The resulting partially ordered set will be a lattice in which
![]() |
In this way a lattice can be defined as a universal algebra satisfying the identities –, (
)–(
), i.e. lattices form a variety of universal algebras.
If a partially ordered set is regarded as a small category, then it is a lattice if and only if has products and coproducts of pairs of objects.
If
and
are lattices and if
:
is an isomorphism of partially ordered sets, then
is also an isomorphism of the corresponding universal algebras, i.e.
![]() |
for any
. However, an arbitrary isotone mapping of
into
is not necessarily a homomorphism of these lattices considered as universal algebras. Thus, for any
, the mappings
and
are isotone mappings of the lattice
into itself, but they are homomorphisms if and only if
is a distributive lattice. However, the first of these mappings is a homomorphism of the semi-lattice
with the operation
, and the second is a homomorphism of the semi-lattice
with the operation
. The class of all lattices forms a category if homomorphisms are taken as morphisms.
An anti-homomorphism of a lattice
into a lattice
is a mapping
such that
![]() |
for any
. A composite of two anti-homomorphisms is a homomorphism. A partially ordered set that is anti-isomorphic to a lattice is a lattice.
By coordinatization of a lattice is meant the finding of an algebraic system (most often a universal algebra) such that the given lattice is isomorphic to the lattice of subsystems, to the lattice of congruences or to some other lattice associated with this algebraic system or universal algebra. An arbitrary lattice with a 0 and a 1 is coordinatized by the partially ordered semi-group of its residual mappings (cf. Residual mapping) into itself, and turns out to be isomorphic to the lattice of right annihilators of this semi-group. The semi-group itself is a Baer semi-group, i.e. the right and left annihilators of each of its elements are generated by idempotents.
The most important results are obtained for lattices subjected to some kind of additional restrictions (see Algebraic lattice; Atomic lattice; Brouwer lattice; Vector lattice; Modular lattice; Distributive lattice; Multiplicative lattice; Orthomodular lattice; Complete lattice; Continuous lattice; Free lattice; Lattice with complements; Boolean algebra). For specific problems in the theory of lattices see Ideal; Filter; Completion, MacNeille (of a partially ordered set). Algebraic systems that are at the same time lattices play a special role (see Lattice-ordered group). The majority of applications of the theory of lattices are associated with Boolean algebras. Other classes of lattices have been used in quantum mechanics and physics.
The concept of a lattice first arose in the late 19th century and was connected with the fact that many results about the set of ideals of a ring or the set of normal subgroups of a group seemed analogous and could be proved in the framework of modular lattices. As an independent branch of algebra, the theory of lattices was developed in the 1930s.
References
| [1] | G. Birkhoff, "Lattice theory" , Colloq. Publ. , 25 , Amer. Math. Soc. (1973) |
| [2] | G. Grätzer, "General lattice theory" , Birkhäuser (1978) (Original: Lattice theory. First concepts and distributive lattices. Freeman, 1978) |
| [3] | V.N. Salii, "Lectures on lattice theory" , Saratov (1970) (In Russian) |
| [4] | L.A. Skornyakov, "Complemented modular lattices and regular rings" , Oliver & Boyd (1964) (Translated from Russian) |
| [5] | L.A. Skornyakov, "Elements of lattice theory" , A. Hilger (1977) (Translated from Russian) |
| [6] | L.A. Skornyakov, "Lattice theory" Itogi Nauk. Algebra, 1964 (1966) pp. 237–274 |
| [7] | M.M. Glukhov, I.V. Stelletskii, T.S. Fofanova, "Lattice theory" Progress in Math. , 12 (1972) pp. 111–170 Itogi Nauk. Algebra Topol. Geom. 1968 (1970) pp. 101–154 |
| [8a] | Saliĭ, V.N. (ed.), Ordered sets and lattices , 3 , Saratov (1975) (In Russian) Zbl 0339.00008 |
| [8b] | ?, Ordered sets and lattices , 7 , Saratov (1983) (In Russian) |
| [9] | T.S. Blyth, M.F. Janowitz, "Residuation theory" , Pergamon (1972) |
| [10] | T. Katriňák (ed.), Ordered sets and lattices (Bratislava, 1985) , Bratislava (1989) (In Russian) Zbl 0653.00003 |
| [11] | V.N. Salii, "Lattices with unique complements" , Moscow (1984) (In Russian) |
| [12] | L. Beran, "Orthomodular lattices" , Reidel (1985) |
| [13] | G. Gierz, K.H. Hofmann, K. Keimel, J.D. Lawson, M.V. Mislove, D.S. Scott, "A compendium of continuous lattices" , Springer (1980) |
| [14] | G. Kalmbach, "Orthomodular lattices" , Acad. Press (1983) |
| [15] | G. Kalmbach, "Measures and Hilbert lattices" , World Sci. (1986) |
| [16] | R.M. McKenzie, G.F. McNulty, R. Taylor, "Algebras, lattices, varieties" , 1 , Wadsworth (1987) |
| [17] | E.T. Schmidt, "A survey on congruence lattice representations" , Teubner (1982) |
Comments
Naturally, most theorems in lattice theory require some hypothesis about the lattice. The remarkable exception is the Funayama–Nakayama theorem: The lattice of congruence relations on any lattice is distributive (see e.g. [1] or [2]). There is also one major unsolved (in 1989) problem about arbitrary finite lattices. Every finite lattice is complete and algebraic, and therefore is representable as the lattice of congruence relations on some universal algebra
. Can
be taken finite? P.P. Pálfy and P. Pudlák showed [a4] that this is closely related to a problem in finite group theory, which they solved for solvable groups. W. Feit [a1] began the study of the problem in simple groups.
In topology, the awkwardness of Krull dimension (called
in Dimension of an associative ring) has been shown to reside only in the rigidity of the definition. Instead, define the dimension
of a distributive lattice
, like
, as the maximum length of a chain of prime ideals of
. Define the dimension
of a topological space
as the minimum of
over lattices of open sets
which form a basis for
. Then
for the Noetherian spaces for which
is really used;
for separable metrizable spaces [a2]; for general metrizable spaces
,
, [a3].
The first significant work on lattices was done by E. Schröder [a5] and R. Dedekind [a6]. The development of the subject in the 1930-s was largely the work of G. Birkhoff [a7] and O. Ore ; the latter used the term "structure" instead of "lattice" , but this quickly became obsolete except in Russia, where it survived until the 1960-s.
References
| [a1] | W. Feit, "An interval in the subgroup lattice of a finite group which is isomorphic to " Alg. Univ. , 17 (1983) pp. 220–221 |
| [a2] | R. Galián, "Theoriá de la dimensión" , Madrid (1979) |
| [a3] | J.R. Isbell, "Graduation and dimension in locales" I.H. James (ed.) E.H. Kronheimer (ed.) , Aspects of Topology: in Memory of Hugh Dowker , Lect. notes London Math. Soc. , 93 , Cambridge Univ. Press (1985) pp. 195–210 |
| [a4] | P.P. Pálfy, P. Pudlák, "Congruence lattices of finite algebras and intervals in subgroup lattices of finite groups" Alg. Univ. , 11 (1980) pp. 22–27 |
| [a5] | E. Schröder, "Verlesungen über die Algebra der Logik" , Teubner (1890) |
| [a6] | R. Dedekind, "Ueber die von drei Moduln erzeugte Dualgruppe" Math. Ann. , 53 (1900) pp. 371–403 |
| [a7] | G. Birkhoff, "On the combination of subalgebras" Proc. Cambridge Philos. Soc. , 29 (1933) pp. 441–464 |
| [a8a] | O. Ore, "On the foundation of abstract algebra I" Ann. of Math. , 36 (1935) pp. 406–437 |
| [a8b] | O. Ore, "On the foundation of abstract algebra II" Ann. of Math. , 37 (1936) pp. 265–292 |
Lattice. Encyclopedia of Mathematics. URL: http://encyclopediaofmath.org/index.php?title=Lattice&oldid=39464















" Alg. Univ. , 17 (1983) pp. 220–221