Namespaces
Variants
Actions

User:Maximilian Janisch/latexlist/latex/NoNroff/45

From Encyclopedia of Mathematics
Jump to: navigation, search

List

1. b12005011.png ; $z \in E$ ; confidence 0.732

2. a130240122.png ; $t _ { 1 } , t _ { 2 } , \ldots$ ; confidence 0.731

3. g12004063.png ; $\Omega \times ( \mathbf{R} ^ { n } \backslash \{ 0 \} )$ ; confidence 0.731

4. s13054035.png ; $h ( a ) = w ( a ) w ( 1 ) ^ { - 1 }$ ; confidence 0.731

5. b01675042.png ; $x ^ { \prime \prime }$ ; confidence 0.731

6. a13024041.png ; $\mathbf{Y} = \mathbf{X} _ { 1 } \mathbf{BX} _ { 2 } + \mathbf{E},$ ; confidence 0.731

7. n067520279.png ; $E _ { \xi }$ ; confidence 0.731

8. i130090222.png ; $g.x = \tilde{g} x \tilde{g} ^ { - 1 }$ ; confidence 0.731

9. a01318090.png ; $k > 2$ ; confidence 0.731

10. m12003057.png ; $\varepsilon ^ { * } ( \operatorname{MAD} ) = 1 / 2$ ; confidence 0.731

11. f0380708.png ; $\operatorname{III}$ ; confidence 0.731

12. w13008025.png ; $d \omega _ { 3 } ( \lambda ) = \frac { \lambda ^ { g + 1 } - \frac { 1 } { 2 } \sigma _ { 1 } \lambda ^ { g } + \beta _ { 1 } \lambda ^ { g - 1 } + \ldots + \beta _ { g } } { \sqrt { R _ { g } ( \lambda ) } } d \lambda \sim $ ; confidence 0.731

13. b11066080.png ; $= \operatorname{BMOA}= \operatorname{BMO} \cap H ^ { 2 }$ ; confidence 0.731

14. f1300105.png ; $f \in \mathbf{F} _ { q } [ x ]$ ; confidence 0.731

15. a12026021.png ; $y _ { c } \cong \widehat { y }$ ; confidence 0.731

16. d13013052.png ; $\hbar = e = 1$ ; confidence 0.731

17. i13001030.png ; $\overline { d } _ { \chi } ^ { G } ( A ) : = d _ { \chi } ^ { G } ( A ) / \chi ( \text { id } ) = d _ { \chi } ^ { G } ( A ) / d _ { \chi } ^ { G } ( I _ { n } ) ,$ ; confidence 0.731

18. a12008060.png ; $( H ^ { 1 } ( \Omega ) ) ^ { \prime }$ ; confidence 0.731

19. e12012024.png ; $L ( \theta | Y _ { \text{com} } )$ ; confidence 0.731

20. a13006053.png ; $P _ { R }$ ; confidence 0.730

21. b12040054.png ; $S ^ { + }$ ; confidence 0.730

22. d120230157.png ; $Z_{i}$ ; confidence 0.730

23. e13007047.png ; $H \leq N$ ; confidence 0.730

24. b130200177.png ; $P _ { + }$ ; confidence 0.730

25. r13011025.png ; $\Phi ( u ) : = \sum _ { n = 1 } ^ { \infty } \pi n ^ { 2 } \left( 2 \pi n ^ { 2 } e ^ { 4 u } - 3 \right) \operatorname { exp } ( 5 u - \pi n ^ { 2 } e ^ { 4 u } ).$ ; confidence 0.730

26. b12009042.png ; $= ( p _ { 0 } ( \xi ) - a i ) \frac { \tau } { \xi } + ( p _ { 1 } ( \xi ) + p _ { 0 } ( \xi ) ) \frac { \tau ^ { m + 1 } } { \xi }.$ ; confidence 0.730

27. b12055013.png ; $d ( x , \gamma ( 0 ) )$ ; confidence 0.730

28. c12008087.png ; $\left[ \begin{array} { l l } { E _ { 1 } } & { E _ { 2 } } \\ { E _ { 3 } } & { E _ { 4 } } \end{array} \right]$ ; confidence 0.730

29. e12012023.png ; $Y _ { \text{mis} }$ ; confidence 0.730

30. d1100204.png ; $N \leq \infty$ ; confidence 0.730

31. b130120102.png ; $\int _ { 0 } ^ { 1 } \omega ( f ^ { \prime } ; t ) _ { p } \left( \operatorname { ln } \frac { 1 } { t } \right) ^ { - 1 / p ^ { \prime } } t ^ { - 1 } d t < \infty$ ; confidence 0.729

32. o12006069.png ; $\Delta _ { h } F ( x ) = F ( x + h ) - F ( x ),$ ; confidence 0.729

33. b1202507.png ; $\operatorname{LGL} ( n , \mathbf{C} )$ ; confidence 0.729

34. r13011020.png ; $\operatorname { Re } s = \sigma = 1 / 2$ ; confidence 0.729

35. a01046073.png ; $P _ { n } ( x )$ ; confidence 0.729

36. k05584087.png ; $\leq \kappa$ ; confidence 0.729

37. a011300143.png ; $\Pi$ ; confidence 0.729

38. f13029025.png ; $L ^ { X } = \{ a : X \rightarrow L , a \ \text {a function } \}$ ; confidence 0.729

39. s12027027.png ; $| R - n [ f ] | \leq \gamma | Q _ { l } ^ { B } [ f ] - Q _ { n } [ f ] |.$ ; confidence 0.729

40. m130140118.png ; $p , s = 1 , \dots , n$ ; confidence 0.729

41. a01024027.png ; $\nu$ ; confidence 0.729

42. e12002072.png ; $\pi _ { n } ( \alpha , \beta )$ ; confidence 0.729

43. d12016068.png ; $f \in L _ { 1 } ( S \times T )$ ; confidence 0.729

44. d03024011.png ; $\beta _ { r } = f _{( r )} ( x _ { 0 } )$ ; confidence 0.729

45. m13011015.png ; $\frac { D f } { D t } = \left( \frac { \partial f ( \mathbf{x} ^ { 0 } , t ) } { \partial t } \right) | _ { \mathbf{x}^0 },$ ; confidence 0.729

46. d12019014.png ; $\operatorname { Dom } \left( ( - \Delta _ { \text{Dir} } ) ^ { 1 / 2 } \right) = \operatorname { Dom } ( \tilde{E} ) = H _ { 0 } ^ { 1 } ( \Omega ).$ ; confidence 0.729

47. b120400126.png ; $w \in \operatorname{W}$ ; confidence 0.729

48. k12013017.png ; $E _ { n + 1 } ^ { 1 }$ ; confidence 0.729

49. s13051052.png ; $N _ { n } = \left\{ u \in V : n = \operatorname { min } m , F ( u ) \bigcap \bigcup _ { i < m } P _ { i } \neq \emptyset \right\},$ ; confidence 0.729

50. e13007039.png ; $c _ { k } T N ^ { - k } \leq \left| f ^ { ( k ) } ( x ) \right| \leq c _ { k } ^ { \prime } T N ^ { - k }$ ; confidence 0.729

51. d12026043.png ; $f ( X _ { n } )$ ; confidence 0.729

52. t120200109.png ; $c _ { m , n } = 2 ( n / ( 8 e ( m + n ) ) ) ^ { n }$ ; confidence 0.729

53. d11008034.png ; $( K ^ { H } , v ^ { H } )$ ; confidence 0.729

54. q13004042.png ; $w : G \rightarrow G ^ { \prime }$ ; confidence 0.728

55. h12002057.png ; $\{ \overline{z} \square ^ { j } \}_{j > 0}$ ; confidence 0.728

56. i130060102.png ; $\operatorname{ind} S ( k ) = 0$ ; confidence 0.728

57. c120180477.png ; $s \in \mathbf{R} ^ { + }$ ; confidence 0.728

58. i12005050.png ; $\{ T ( n , \alpha ) \}$ ; confidence 0.728

59. q12001049.png ; $\mathcal{D} _ { + } = \{ f \in \mathcal{D} : f \ \text { real valued, } f ( s ) = 0 \text { for } s < 0 \}.$ ; confidence 0.728

60. d1300807.png ; $F \in \operatorname { Hol } ( \Delta )$ ; confidence 0.728

61. v120020114.png ; $p ( x _ { 0 } , y _ { 0 } ) = q ( x _ { 0 } , y _ { 0 } )$ ; confidence 0.728

62. p13014068.png ; $f _ { \rho }$ ; confidence 0.728

63. a13020013.png ; $\langle x y z \rangle - \langle z y x \rangle = \langle z x y \rangle - \langle x z y \rangle$ ; confidence 0.728

64. b12036046.png ; $U _ { q g }$ ; confidence 0.728

65. w120030118.png ; $x ^ { * * } \in X ^ { * * } \backslash X$ ; confidence 0.728

66. e13004018.png ; $\psi ( 0 )$ ; confidence 0.728

67. m130230105.png ; $\operatorname{dim} X \leq 2$ ; confidence 0.728

68. t12007088.png ; $u _ { n } v = 0$ ; confidence 0.728

69. p13013053.png ; $Q _ { \lambda } = \frac { 1 } { n ! } \sum _ { \pi \in O ( n ) } 2 ^ { ( r ( \lambda ) + r ( \pi ) + \epsilon ( \lambda ) ) / 2 } k _ { \pi } \zeta _ { \lambda } ^ { \pi } p _ { \pi },$ ; confidence 0.728

70. i13002056.png ; $m \leq 4$ ; confidence 0.728

71. a130040614.png ; $\mathfrak { N } \in \operatorname{Mod}_{\mathcal{S}_P}$ ; confidence 0.728

72. c12001097.png ; $\rho _ { j k } = \partial ^ { 2 } \rho / \partial z _ { j } \partial z _ { k }$ ; confidence 0.727

73. t12005050.png ; $G _ { n } ( \mathbf{R} ^ { n } \times \mathbf{R} ^ { p } )$ ; confidence 0.727

74. a01212058.png ; $R_i$ ; confidence 0.727

75. d0302502.png ; $y ^ { ( n ) } = f ( x , y , y ^ { \prime } , \dots , y ^ { ( n - 1 ) } )$ ; confidence 0.727

76. m13018040.png ; $\mu ( x , y ) = - C _ { 1 } + C _ { 2 } - C _ { 3 } + \ldots ,$ ; confidence 0.727

77. l11003073.png ; $\varphi \in X$ ; confidence 0.727

78. k13002011.png ; $x _ { j } < x _ { k }$ ; confidence 0.727

79. r130080129.png ; $( u , \varphi _ { j } ) _ { 0 } : = \int _ { D } u ( y ) \overline { \varphi _ { j } ( y ) } d y$ ; confidence 0.727

80. y12001039.png ; $V \otimes _ { k } V$ ; confidence 0.727

81. a130180128.png ; $c _ { i } ( R ) = \pi _ { i } ^ { - 1 } \pi _ { i } ( ( R ) ).$ ; confidence 0.727

82. a130240524.png ; $\mathbf{Z} _ { 12 } - \mathbf{Z} _ { 13 } \Sigma _ { 33 } ^ { - 1 } \Sigma _ { 32 }$ ; confidence 0.727

83. w12018062.png ; $A \subset \mathbf{R} _ { + } ^ { 2 }$ ; confidence 0.727

84. b110220246.png ; $J ^ { i } ( X )$ ; confidence 0.727

85. b13002067.png ; $\operatorname{JB}$ ; confidence 0.727

86. b12015052.png ; $j = 1,2$ ; confidence 0.727

87. b130010104.png ; $V _ { n } ^ { * } = V _ { n } \cup \ldots \cup V _ { 0 }$ ; confidence 0.727

88. g12003013.png ; $( Q _ { n } ^ { G } , Q _ { 2n+1 } ^ { G K } )$ ; confidence 0.727

89. a12027010.png ; $\rho$ ; confidence 0.727

90. m12023067.png ; $u ( t , x ) = f _ { t } ( x )$ ; confidence 0.727

91. c120180210.png ; $\otimes ^ { 4 } \mathcal{E}$ ; confidence 0.726

92. z13007053.png ; $\mathbf{Z} A \rightarrow Z$ ; confidence 0.726

93. t120050130.png ; $\Sigma ^ { 2 _ \text { parabolic } } =$ ; confidence 0.726

94. c13016069.png ; $\operatorname{DSPACE}[s(n)]$ ; confidence 0.726

95. c13016038.png ; $\operatorname{NSPACE}[s(n)]$ ; confidence 0.726

96. w120110107.png ; $\mathcal{H} ( M u , M v ) = \mathcal{H} ( u , v ) \circ \chi ^ { - 1 }.$ ; confidence 0.726

97. c02285078.png ; $\rho _ { m }$ ; confidence 0.726

98. c0229301.png ; $P ( \xi _ { 1 } , \dots , \xi _ { n } )$ ; confidence 0.726

99. e12014066.png ; $s = t$ ; confidence 0.726

100. a13013070.png ; $( \tau _ { l } )$ ; confidence 0.726

101. a13022046.png ; $E _ { C } ( X ) \subset \square _ { R } \operatorname { Mod } ( X , C )$ ; confidence 0.726

102. b120150168.png ; $f _ { i } ( \vartheta ) = \frac { \operatorname { exp } ( g ( \vartheta ) + h ( i ) ) } { 1 + \operatorname { exp } ( g ( \vartheta ) + h ( i ) ) } , \vartheta \in \Theta , i = 1 , \ldots , n .$ ; confidence 0.726

103. d11022042.png ; $x _ { 1 } < t < x _ { m }$ ; confidence 0.726

104. j13003022.png ; $E \times E \times E \rightarrow E , ( x , y , z ) \mapsto \{ x y z \}$ ; confidence 0.726

105. d120020126.png ; $\overline { q } \geq v ^ { * }$ ; confidence 0.725

106. m1201701.png ; $x ^ { n } + a _ { 1 } x ^ { n - 1 } + \ldots + a _ { n - 1 } x + a _ { n } = 0$ ; confidence 0.725

107. b12052090.png ; $w = \prod _ { j = 0 } ^ { n - 2 } ( I - w _ { j } v _ { j } ^ { T } ) B _ { 0 } ^ { - 1 } F ( x _ { n } ),$ ; confidence 0.725

108. m12012026.png ; $0 \neq A \lhd R$ ; confidence 0.725

109. j13004011.png ; $P _ { T _ { n } } ( v , z ) = \left( \frac { v ^ { - 1 } - v } { z } \right) ^ { n - 1 }.$ ; confidence 0.725

110. b12032019.png ; $x \perp y$ ; confidence 0.725

111. d130080151.png ; $\operatorname {Hol}( \mathcal{D} )$ ; confidence 0.725

112. m13025063.png ; $\rho _ { \varepsilon } ( x ) = \varepsilon ^ { - n } \rho ( x / \varepsilon )$ ; confidence 0.725

113. w130080166.png ; $\operatorname {GL} ( N , \mathbf{C} )$ ; confidence 0.725

114. s13002045.png ; $v \in U ^ { + } \partial M$ ; confidence 0.725

115. f110160185.png ; $P ( T , l ) = \vee \left\{ \psi _ { \mathfrak{A}} ^ { l } e : \mathfrak{A} \ \text{is a model of} \ T \right\}$ ; confidence 0.725

116. b12027029.png ; $F ( x ) = \mathsf{P} ( X _ { 1 } \leq x )$ ; confidence 0.725

117. b12049031.png ; $A \cap B = \emptyset$ ; confidence 0.725

118. r13012023.png ; $v ^ { * } v \leq x ^ { * } x$ ; confidence 0.725

119. l12010025.png ; $L _ { \gamma , n } ^ { c } = 2 ^ { - n } \pi ^ { - n / 2 } \frac { \Gamma ( \gamma + 1 ) } { \Gamma ( \gamma + 1 + n / 2 ) }.$ ; confidence 0.725

120. f04049038.png ; $( a _ { 1 } , \sigma _ { 1 } ^ { 2 } )$ ; confidence 0.724

121. a01079032.png ; $\mathfrak{m}$ ; confidence 0.724

122. c02643036.png ; $f * g$ ; confidence 0.724

123. b11082010.png ; $n_{ij}$ ; confidence 0.724

124. s13034018.png ; $S _ { 3 } ( F \times [ 0,1 ] )$ ; confidence 0.724

125. h13009045.png ; $g_i \in B$ ; confidence 0.724

126. i13005052.png ; $- d ^ { 2 } / d x ^ { 2 } + q ( x )$ ; confidence 0.724

127. o12006023.png ; $\| . \| _ { L _ { \Phi } ( \Omega )}$ ; confidence 0.724

128. w120110231.png ; $S ( 1 , G )$ ; confidence 0.724

129. e12014065.png ; $q = r$ ; confidence 0.724

130. d1201408.png ; $D _ { 1 } ( x , a ) = x$ ; confidence 0.724

131. z13007018.png ; $x \in \mathbf{Q} G$ ; confidence 0.724

132. b130010103.png ; $V _ { n } = \mathcal{H} _ { n } / \Gamma$ ; confidence 0.724

133. m13025065.png ; $\mathcal{M} _ { 3 } ( \mathbf{R} ^ { n } ) = \{$ ; confidence 0.724

134. s1305009.png ; $\left( \begin{array} { c } { [ n ] } \\ { ( n - 1 ) / 2 } \end{array} \right)$ ; confidence 0.724

135. f040850136.png ; $V _ { t }$ ; confidence 0.724

136. j13002018.png ; $\mathsf{P} ( X = 0 ) \leq \operatorname { exp } \left( - \frac { \lambda ^ { 2 } } { \overline{\Delta} } \right).$ ; confidence 0.724

137. c120010182.png ; $f \mapsto \langle a , \partial \rangle f$ ; confidence 0.724

138. u13002013.png ; $\widehat { f } ( y ) = \int _ { - \infty } ^ { \infty } f ( x ) e ^ { - 2 \pi i x y } d x,$ ; confidence 0.724

139. s120230152.png ; $A _ { 1 } ( n \times n ) , \dots , A _ { s } ( n \times n )$ ; confidence 0.724

140. d12023086.png ; $T ^ { - 1 } = T ^ { - \# }$ ; confidence 0.724

141. i12008066.png ; $T _ { c } = 0$ ; confidence 0.724

142. b110220212.png ; $H _ { \mathcal{D} } ^ { i + 1 } ( X_{ / \mathbf{R}} , \mathbf{R} ( j ) )$ ; confidence 0.724

143. j13004048.png ; $K _ { 1 } \# K _ { 2 } ^ { - }$ ; confidence 0.724

144. b11066036.png ; $\{ T _ { s } \}$ ; confidence 0.724

145. f1100106.png ; $z \in A$ ; confidence 0.724

146. a1300203.png ; $\mathcal{T}$ ; confidence 0.724

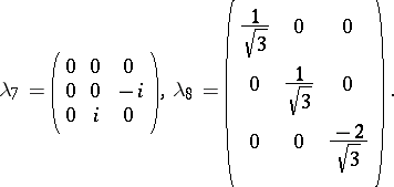
147. o13003034.png ; $\lambda _ { 7 } = \left( \begin{array} { c c c } { 0 } & { 0 } & { 0 } \\ { 0 } & { 0 } & { - i } \\ { 0 } & { i } & { 0 } \end{array} \right) , \lambda _ { 8 } = \left( \begin{array} { c c c } { \frac { 1 } { \sqrt { 3 } } } & { 0 } & { 0 } \\ { 0 } & { \frac { 1 } { \sqrt { 3 } } } & { 0 } \\ { 0 } & { 0 } & { \frac { - 2 } { \sqrt { 3 } } } \end{array} \right).$ ; confidence 0.724

148. k12012010.png ; $\{ \alpha _ { k } : k = 1,2 , \ldots \}$ ; confidence 0.724

149. b13022081.png ; $| u ( x ) | \leq C \sum _ { j = 0 } ^ { 2 } \rho ^ { j - N / p } | u | _ { p , j , T }.$ ; confidence 0.723

150. w120090294.png ; $\mathfrak { b } ^ { + } = \mathfrak { h } \oplus \mathfrak { n } ^ { + }$ ; confidence 0.723

151. b110220241.png ; $A = \mathbf{Z}$ ; confidence 0.723

152. e03500034.png ; $\cup _ { i = 1 } ^ { n } C _ { i } = C$ ; confidence 0.723

153. e12018019.png ; $D = \pm ( * d - d * )$ ; confidence 0.723

154. w120110245.png ; $a \in S ( h ^ { - 2 } , g )$ ; confidence 0.723

155. n067520442.png ; $\widetilde { \psi }_i$ ; confidence 0.723

156. i12006014.png ; $x < _{Q} y$ ; confidence 0.723

157. g13003018.png ; $\mathcal{C} ^ { \infty } ( \mathbf{R} ^ { n } )$ ; confidence 0.723

158. t130130112.png ; $T \in K ^ { b } ( P _ { \Lambda } )$ ; confidence 0.723

159. s09101032.png ; $x ^ { n - 1 }$ ; confidence 0.723

160. w13008035.png ; $\frac { \partial \overline { u } } { \partial T } = \overline { u } \frac { \partial \overline { u } } { \partial X }.$ ; confidence 0.723

161. a13027037.png ; $P _ { n } x = \sum _ { i = 1 } ^ { n } ( x , \phi _ { i } ) \phi _ { i }$ ; confidence 0.723

162. s13045051.png ; $\rho _ { S } = 3 \mathsf{P} [ ( X _ { 1 } - X _ { 2 } ) ( Y _ { 1 } - Y _ { 3 } ) > 0 ] +$ ; confidence 0.723

163. f13024041.png ; $L_{ - 1} : = ( 0 ) \oplus U ( \varepsilon )$ ; confidence 0.723

164. t130050149.png ; $\sigma _ { \text{Te} } ( A , \mathcal{X} ) : = \{ \lambda \in \mathbf{C} ^ { n } : A - \lambda \ \text{is not Fredholm} \}.$ ; confidence 0.723

165. q12002049.png ; $z ^ { * _{ u v}}$ ; confidence 0.723

166. n1300402.png ; $\mathcal{C}_n$ ; confidence 0.723

167. o13003040.png ; $d _ { j k l } = \frac { 1 } { 4 } \operatorname { Tr } [ ( \gamma _ { j } \gamma _ { k } + \lambda _ { k } \lambda _ { j } ) \lambda _ { l } ],$ ; confidence 0.723

168. b1203608.png ; $\mathsf{P}_l$ ; confidence 0.722

169. a11050012.png ; $\widetilde{\mathbf{Z}} _ { p }$ ; confidence 0.722

170. m13018095.png ; $\mu ( 0,1 ) = q _ { 2 } - q _ { 3 } + q _ { 4 } - \ldots ,$ ; confidence 0.722

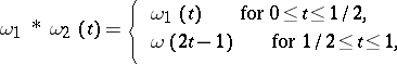
171. k13002039.png ; $\tau = \mathsf{P} [ ( X _ { 1 } - X _ { 2 } ) ( Y _ { 1 } - Y _ { 2 } ) > 0 ] +$ ; confidence 0.722

172. a1200404.png ; $x _ { 0 } \in X$ ; confidence 0.722

173. a13030039.png ; $( x _ { n } )$ ; confidence 0.722

174. j13004097.png ; $\mathsf{P} _ { K } ( v , z ) = \frac { P _ { K } ( v , z ) - 1 } { ( v ^ { - 1 } - v ) ^ { 2 } - z ^ { 2 } },$ ; confidence 0.722

175. d03226014.png ; $\leq m - 1$ ; confidence 0.722

176. e13005033.png ; $E _ { q } ( \alpha , \beta ) = [ \theta _ { x } + \alpha ] _ { q } [ \partial _ { y } ] _ { q } - [ \theta _ { y } + \beta ] [ \partial _ { x } ] _ { q }$ ; confidence 0.722

177. h12013050.png ; $\omega _ { 1 } * \omega _ { 2 } ( t ) = \left\{ \begin{array} { l l } { \omega _ { 1 } ( t ) } & { \text { for } 0 \leq t \leq 1 / 2, } \\ { \omega ( 2 t - 1 ) } & { \text { for } 1 / 2 \leq t \leq 1, } \end{array} \right.$ ; confidence 0.722

178. v13011078.png ; $d M _ { 2 } = \rho \frac { \Gamma b } { l } ( V - U ),$ ; confidence 0.722

179. c02683022.png ; $V _ { 1 }$ ; confidence 0.722

180. s1202103.png ; $D _ { Z }$ ; confidence 0.722

181. d12005029.png ; $C \subset D$ ; confidence 0.722

182. s13062089.png ; $B \subseteq \mathbf{R}$ ; confidence 0.722

183. a12007016.png ; $\frac { \partial } { \partial s } U ( t , s ) + U ( t , s ) A ( s ) = 0 , \operatorname { lim } _ { t \rightarrow s } U ( t , s ) x = x \text { for } x \in \overline { D ( A ( s ) ) }.$ ; confidence 0.722

184. w13008095.png ; $d S = \sum _ { 1 } ^ { M } T _ { n } d \widehat { \Omega } _ { n } = \sum _ { 1 } ^ { M } T _ { n } d \Omega _ { n } + \sum _ { 1 } ^ { g } \alpha _ { j } d \omega _ { j },$ ; confidence 0.722

185. e13007073.png ; $\sum _ { M < n \leq M + N } e ^ { 2 \pi i f ( n ) } \ll$ ; confidence 0.722

186. j120020216.png ; $\alpha \leq \frac { 1 } { | I _ { j } | } \int _ { I _ { j } } | u ( \vartheta ) | d \vartheta < 2 \alpha,$ ; confidence 0.721

187. d13006015.png ; $\operatorname { Bel } ( A ) = \sum _ { B \subseteq A } m ( B )$ ; confidence 0.721

188. a1103204.png ; $y ( t _ { m } )$ ; confidence 0.721

189. m12003079.png ; $\{ ( \overset{\rightharpoonup} { x } _ { 1 } , y _ { 1 } ) , \dots , ( \overset{\rightharpoonup}{x} _ { n } , y _ { n } ) \}$ ; confidence 0.721

190. w120110250.png ; $q _ { \alpha } \in S ( H ^ { - 1 } , G )$ ; confidence 0.721

191. h12002014.png ; $\alpha_{ j} = \widehat { \phi } ( j )$ ; confidence 0.721

192. m1200401.png ; $\overset{\rightharpoonup} { F }$ ; confidence 0.721

193. a01139010.png ; $\delta$ ; confidence 0.721

194. c12007010.png ; $\operatorname { codom} \alpha _ { i } = \operatorname { dom } \alpha _ { i + 1 }$ ; confidence 0.721

195. e12007074.png ; $\mathbf{v} \equiv 1$ ; confidence 0.721

196. b12004092.png ; $f ^ { * } ( t ) = \operatorname { inf } \{ \lambda > 0 : \mu _ { f } ( \lambda ) \leq t \}$ ; confidence 0.721

197. t12013010.png ; $S _ { 2 } ^ { t }$ ; confidence 0.721

198. p07379048.png ; $B_{*}$ ; confidence 0.721

199. a12018046.png ; $n \geq N$ ; confidence 0.720

200. a12020083.png ; $\mathcal{X}$ ; confidence 0.720

201. f041060188.png ; $K_j$ ; confidence 0.720

202. a01018064.png ; $A _ { n }$ ; confidence 0.720

203. b11002027.png ; $b ( u_{ f } , v ) = ( f , v )$ ; confidence 0.720

204. q12001052.png ; $f _ { 1 } , \dots , f _ { n } \in \mathcal{D} _ { + }$ ; confidence 0.720

205. t120050120.png ; $K _ { x } = \operatorname { Ker } ( d f _ { x } )$ ; confidence 0.720

206. s13064016.png ; $E ( a ) = \operatorname { exp } \left( \sum _ { k = 1 } ^ { \infty } k [ \operatorname { log } a ] _ { k } [ \operatorname { log } a ]_{ - k} \right).$ ; confidence 0.720

207. q12002052.png ; $\operatorname {Fun}_q ( G ( k , n ) ) \rightarrow \mathbf C $ ; confidence 0.720

208. b12029040.png ; $\mathbf R ^ { n + 1 }$ ; confidence 0.720

209. b01595034.png ; $\chi ^ { 2 }$ ; confidence 0.720

210. f120150128.png ; $S \in B ( X , Y )$ ; confidence 0.720

211. a120270115.png ; $\mathbf Z [ G ]$ ; confidence 0.720

212. d0302807.png ; $V _ { n } ( f , x ) = \int _ { - \pi } ^ { \pi } f ( x + t ) \tau _ { n } ( t ) d t,$ ; confidence 0.719

213. c02211011.png ; $X ^ { 2 } \geq \chi _ { k - 1 } ^ { 2 } ( \alpha )$ ; confidence 0.719

214. a13032053.png ; $\alpha = \mathsf{P} _ { p } ( S _ { N } = K )$ ; confidence 0.719

215. c1302604.png ; $\mathcal{D} = \oplus _ { j = 0 } ^ { n } \mathcal{D} ^ { j }$ ; confidence 0.719

216. b12020057.png ; $\theta ( z ) = d + c z ( I - z A ) ^ { - 1 } b$ ; confidence 0.719

217. w12001021.png ; $= \frac { m ! n ! } { ( m + n + 1 ) ! } \frac { 1 } { 2 \pi i } \oint _ { z = 0 } a ^ { ( m + 1 ) } ( z ) b ^ { ( n ) } ( z ) d z.$ ; confidence 0.719

218. i12004098.png ; $K _ { q } ( s )$ ; confidence 0.719

219. c13006013.png ; $\{ A _ { 1 } , \dots , A _ { r } \}$ ; confidence 0.719

220. a1103004.png ; $C_{*} \Omega X$ ; confidence 0.719

221. e12024021.png ; $\operatorname { Fr}_l$ ; confidence 0.719

222. b12051051.png ; $x _ { + } = x _ { c } + \lambda d$ ; confidence 0.719

223. g1200408.png ; $C = C _ { f , K} > 0$ ; confidence 0.719

224. s13049048.png ; $r ( p _ { 0 } ) + r ( p _ { h } ) = r ( P )$ ; confidence 0.719

225. w1100604.png ; $( \Omega , \mathcal{B} , \mathsf{P} )$ ; confidence 0.719

226. e12008010.png ; $\mathcal{C} ^ { T }$ ; confidence 0.719

227. s120340113.png ; $t \in S ^ { 1 }$ ; confidence 0.719

228. v0960403.png ; $X = \sum _ { i = 1 } ^ { m } \Psi \left( \frac { s ( r_i ) } { m + n + 1 } \right),$ ; confidence 0.719

229. v13007017.png ; $\overset{\rightharpoonup} { n }$ ; confidence 0.719

230. b015350357.png ; $t \in T$ ; confidence 0.719

231. s13048044.png ; $\operatorname { dim} H _ { S } ^ { i } ( D ) < \infty$ ; confidence 0.719

232. b1106605.png ; $f \in L ^ { 1 _ {\operatorname{ loc }}} ( \mathbf{R} )$ ; confidence 0.719

233. m13022070.png ; $j ( z ) - 744 = \sum _ { k } a _ { k } q ^ { k }$ ; confidence 0.719

234. e12005036.png ; $\Sigma ^ { * }$ ; confidence 0.719

235. s13011014.png ; $\left\{ \begin{array} { l } { \partial _ { i } ^ { 2 } = 0, } \\ { \partial _ { i } \partial _ { j } = \partial _ { j } \partial _ { i } \text { if } | i - j | > 1, } \\ { \partial _ { i } \partial _ { i + 1 } \partial _ { i } = \partial _ { i + 1 } \partial _ { i } \partial _ { i + 1 }. } \end{array} \right.$ ; confidence 0.719

236. b1300307.png ; $x , y \in V ^ { \mp }$ ; confidence 0.719

237. f13009014.png ; $U _ { n } ( x )$ ; confidence 0.719

238. t130050158.png ; $\mathcal H = H ^ { 2 } ( S ^ { 3 } )$ ; confidence 0.719

239. h13003040.png ; $H = ( s _ { i + j - 1} )$ ; confidence 0.719

240. r13016040.png ; $\mathcal{C} ^ { m + 1 } \rightarrow \mathcal{C} ^ { m }$ ; confidence 0.719

241. i1300207.png ; $I _ { A } = 1$ ; confidence 0.718

242. b12036019.png ; $p _ { x } + d p _ { x }$ ; confidence 0.718

243. l12005034.png ; $= \left( \frac { 2 } { \pi } \right) ^ { 5 / 2 } \int _ { 0 } ^ { \infty } \operatorname { cosh } ( \pi \tau ) \operatorname { Re } K _ { 1 / 2 + i \tau} ( x ) F ( \tau ) G ( \tau ) d \tau .$ ; confidence 0.718

244. j13004074.png ; $a _ { E } ( z ) \neq 0$ ; confidence 0.718

245. q076330128.png ; $\mathcal{A} _ { 0 }$ ; confidence 0.718

246. c1202608.png ; $k = T / N$ ; confidence 0.718

247. j120020171.png ; $f \in H _ { 0 } ^ { p }$ ; confidence 0.718

248. d12006017.png ; $\sigma f - f _ { x } = \operatorname { lim } _ { \delta \rightarrow 0 } D ^ { \pm } f = \operatorname { lim } _ { \delta \rightarrow 0 } ( x - x q ) ^ { - 1 } D ^ { \pm } f.$ ; confidence 0.718

249. o11001044.png ; $x,y \in S ( z ) \Rightarrow S ( x ) \bigcap S ( y ) \neq \emptyset .$ ; confidence 0.718

250. c120180134.png ; $\mathcal{R}$ ; confidence 0.718

251. k12010022.png ; $\left( \begin{array} { c } { n_j } \\ { 2 } \end{array} \right)$ ; confidence 0.718

252. h13013016.png ; $| \lambda _ { \mathbf{k} } | \leq N$ ; confidence 0.718

253. f12004022.png ; $f ^ { c ( \varphi )}$ ; confidence 0.718

254. z13008019.png ; $n \in \mathbf{N} _ { 0 }$ ; confidence 0.718

255. s12024023.png ; $\operatorname { varprojlim}_{k} h_{ *} ( X _ { 1 } \vee \ldots \vee X _ { k } ) \approx \prod _ { 1 } ^ { \infty } h_{ *} ( X _ { i } ).$ ; confidence 0.718

256. a12013069.png ; $\theta ^ { * }$ ; confidence 0.718

257. b12027081.png ; $m \underline { \square } _ { n } ( h )$ ; confidence 0.718

258. a13032021.png ; $\mathsf{E} ( Y ) \neq 0$ ; confidence 0.718

259. i1200407.png ; $b _ { 0 } P = \{ ( \zeta _ { 1 } , \dots , \zeta _ { n } ) : | \zeta _ { j } - a _ { j } | = r _ { j } , j = 1 , \dots , n \}$ ; confidence 0.718

260. a12018076.png ; $S _ { n } = \sum _ { i = 0 } ^ { n } c _ { i } t ^ { i }$ ; confidence 0.718

261. s12034057.png ; $\omega ( A ) = \lambda c _ { 1 } ( A )$ ; confidence 0.717

262. e12014067.png ; $q \left( \begin{array} { l } { v } \\ { s } \end{array} \right) = r \left( \begin{array} { l } { v } \\ { t } \end{array} \right).$ ; confidence 0.717

263. e12002089.png ; $Y \rightarrow \Omega \Sigma Y$ ; confidence 0.717

264. f130290166.png ; $M ^ { Y }$ ; confidence 0.717

265. d031850241.png ; $\partial / \partial x$ ; confidence 0.717

266. q13003018.png ; $P _ { 0 } | 1 \rangle = | 0 \rangle$ ; confidence 0.717

267. a13032048.png ; $\sigma ^ { 2 } \mathsf{E} ( N ) = \mathsf{E} ( S _ { N } ^ { 2 } ).$ ; confidence 0.717

268. b12005074.png ; $\mathcal{H} ^ { \infty } ( B _ { \text{l}_p } )$ ; confidence 0.717

269. a12018082.png ; $- 1 < t \leq 1$ ; confidence 0.717

270. c120210146.png ; $\{ P _ { \alpha _ { n } , \theta _ { \tau _ { n } } } \}$ ; confidence 0.717

271. m1301303.png ; $\{ v _ { 1 } , \dots , v _ { \nu } \}$ ; confidence 0.717

272. m12025036.png ; $\operatorname { dim} K \leq n$ ; confidence 0.716

273. f120110137.png ; $\left( f _ { \Delta _ { k } } , e ^ { - i x \zeta } \right),$ ; confidence 0.716

274. i12005091.png ; $\operatorname { log } \alpha _ { n } = o ( \operatorname { log } n ) \text { as } n \rightarrow \infty$ ; confidence 0.716

275. a1301306.png ; $Q ^ { ( n ) } : = Q _ { 0 } z ^ { n } + Q _ { 1 } z ^ { n - 1 } \ldots Q _ { n },$ ; confidence 0.716

276. l05961011.png ; $\frac { d w _ { N } } { d t } = \frac { \partial w _ { N } } { \partial t } + \sum _ { i = 1 } ^ { N } \left( \frac { \partial w _ { N } } { \partial \mathbf{r} _ { i } } \frac { d \mathbf{r} _ { i } } { d t } + \frac { \partial w _ { N } } { \partial \mathbf{p} _ { i } } \frac { d \mathbf{p} _ { i } } { d t } \right) = 0.$ ; confidence 0.716

277. d031790143.png ; $\mathbf{R} ^ { 2 n + 1 }$ ; confidence 0.716

278. v13011048.png ; $d \alpha_{ j } / d t$ ; confidence 0.716

279. l05700023.png ; $\lambda x y$ ; confidence 0.716

280. m12001056.png ; $\langle u - v , j \rangle$ ; confidence 0.716

281. t12013022.png ; $\frac { \partial \Psi _ { i } } { \partial x _ { n } } = ( L ^ { n _ { 1 } } ) _ { + } \Psi _ { i } , \frac { \partial \Psi _ { i } } { \partial y _ { n } } = ( L _ { 2 } ^ { n } ) _ { - } \Psi _ { i },$ ; confidence 0.716

282. a01417012.png ; $\overline{X}$ ; confidence 0.715

283. b12030029.png ; $f ( y ) = \frac { 1 } { ( 2 \pi ) ^ { N / 2 } } \int _ { \mathbf{R} ^ { N } } \widehat { f } ( \eta ) e ^ { i \eta . y } d \eta .$ ; confidence 0.715

284. a01160069.png ; $\mathbf{Q} ( \zeta )$ ; confidence 0.715

285. a12018032.png ; $S _ { n + i } = T _ { n } + \alpha \lambda ^ { n + i }$ ; confidence 0.715

286. n12011010.png ; $\exists x \in \mathbf R $ ; confidence 0.715

287. c12030063.png ; $M _ { n } ( \mathbf C )$ ; confidence 0.715

288. d13006090.png ; $m _ { B } ( B ) = 1$ ; confidence 0.715

289. a11042086.png ; $z \in G$ ; confidence 0.715

290. b120270102.png ; $b ( t ) = \mathsf{ E}h ( \{ Z ( t ) : T _ { 1 } > t \} )$ ; confidence 0.715

291. w12007070.png ; $\sigma ( \mathcal{D} , \mathcal{X} ) = ( a \mathcal{D} + b \mathcal{X} ) ^ { k }$ ; confidence 0.715

292. l1200502.png ; $\operatorname { Re } K _ { 1 / 2 + i \tau } ( x ) = \frac { K _ { 1 / 2 + i \tau } ( x ) + K _ { 1 / 2 - i \tau } ( x ) } { 2 }$ ; confidence 0.715

293. a01300078.png ; $\infty$ ; confidence 0.715

294. w13014013.png ; $g ( y ) = \left\{ \begin{array} { l l } { \frac { 1 } { \pi y } \operatorname { sin } 2 \pi y , } & { y \neq 0, } \\ { 2 , } & { y = 0, } \end{array} \right.$ ; confidence 0.715

295. s130620137.png ; $\phi ( . , \lambda ) + m_{ + } ( \lambda ) \theta ( . , \lambda )$ ; confidence 0.715

296. c13009015.png ; $C_{j}$ ; confidence 0.714

297. g1300109.png ; $\operatorname { GF} ( p )$ ; confidence 0.714

298. t12005099.png ; $i _ { 1 } = \ldots = i _ { r } = 1$ ; confidence 0.714

299. s12005051.png ; $X = P U | _ { \mathfrak{H} }$ ; confidence 0.714

300. v13008024.png ; $K _ { \zeta }$ ; confidence 0.714

How to Cite This Entry:
Maximilian Janisch/latexlist/latex/NoNroff/45. Encyclopedia of Mathematics. URL: http://encyclopediaofmath.org/index.php?title=Maximilian_Janisch/latexlist/latex/NoNroff/45&oldid=45885