Spinodal decomposition
A term introduced in the physical description of unmixing of metallic alloys by J.W. Cahn [a1], cf. Fig.a1.
Figure: s110240a
Schematic plot of a "quenching experiment" of a mixture and the resulting build-up of concentration fluctuations in a mixture. Shown is the temperature (
) versus concentration (
) plane, while the third axis (
) is a spacial coordinate.
The thermodynamic state of such a mixture is described by the variables temperature
and relative concentration
, and one considers a situation where in the "phase diagram" of this system one finds a "miscibility gap" , i.e. there is a curve in the
-plane in Fig.a1 (this curve is labelled by the two branches
,
in Fig.a1, which merge in a critical point
,
) underneath which the system cannot exist in a state of homogeneous concentration
in thermal equilibrium, while it does exist in such a state above this curve (e.g., in the initial state at a temperature
,
in Fig.a1).
One now considers a rapid cooling experiment (quenching) where the system is brought at time
from this temperature
above the coexistence curve to a temperature
below the so-called spinodal curve
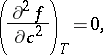
, defined by the condition that the second derivative
of the free energy density
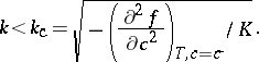
vanishes. In this regime, the homogeneous state is intrinsically unstable, as is found from a linear stability analysis of concentration fluctuations [a1]. According to such a linear stability analysis, all long wavelength concentration fluctuations with wavelengths exceeding a critical wavelength
are unstable, and the maximum growth rate occurs at a wavelength
. While, according to such a linear theory, one would expect that this wavelength dominates in the late stages of the phase separation process (Fig.a1), actually the process is highly non-linear [a2], and so-called "coarsening" occurs (there is a dominant wavelength
, but it depends upon the time
after the start of the process,
as
[a2]).
If the thermal fluctuations are neglected, spinodal decomposition is described by the following non-linear diffusion equation for the local concentration
at a point
of
-dimensional infinitely extended space:
![]() | (a1) |
where
has the physical meaning of a mobility,
comes from a gradient energy contribution,
denotes the Laplace operator, and the free energy density
can, e.g., be written in terms of
as
![]() |
with
,
constants. A parabolic spinodal curve results from
![]() |
![]() |
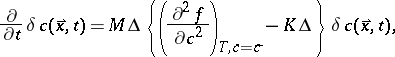
The linear stability analysis of (a1) yields, writing
,
![]() | (a2) |
and is solved by introducing spacial Fourier transforms,
, i.e., one finds an exponential time dependence (
),
![]() | (a3) |
![]() |
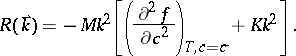
One sees from (a3) that the rate
is positive if
![]() |
and
![]() |
The "critical wavelength" mentioned above is
.
Of course, it is clear that the linear analysis is relevant at best for the early stages of the process. Solving the full non-linear partial differential equations (a1) is a challenging problem of numerical mathematics. For applications in physics additional complications occur: in the initial stages of unmixing, the deterministic equation (a1) needs to be amended by a stochastic "random force" term to represent statistical fluctuations. In addition there occurs a coupling to further dynamical variables (in solids: the elastic displacement field
; in fluid mixtures: the velocity field
). Nevertheless, (a1) is a very useful starting point, and numerous experimental applications exist [a2].
References
| [a1] | J.W. Cahn, "On spinodal decomposition" Acta Metall. , 9 (1961) pp. 795–801 |
| [a2] | K. Binder, "Spinodal decomposition" P. Haasen (ed.) , Materials Science and Technology. Phase Transformations in Materials , 5 , VCH (1991) pp. 405–471 |
Spinodal decomposition. K. Binder (originator), Encyclopedia of Mathematics. URL: http://encyclopediaofmath.org/index.php?title=Spinodal_decomposition&oldid=15567








