Integral equation of convolution type
An integral equation containing the unknown function under the integral sign of a convolution transform (see Integral operator). The peculiarity of an integral equation of convolution type is that the kernel of such an equation depends on the difference of the arguments. The simplest example is the equation
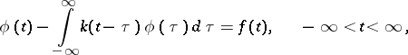
![]() | (1) |
where
and
are given functions and
is the unknown function. Suppose that
and that one seeks a solution in the same class. In order that (1) is solvable it is necessary and sufficient that the following condition holds:
![]() | (2) |
where
is the Fourier transform of
. When (2) holds, equation (1) has a unique solution in the class
, representable by the formula
![]() | (3) |
where
is uniquely determined by its Fourier transform
![]() |
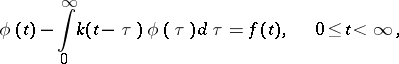
An equation of convolution type on the half-line (a Wiener–Hopf equation)
![]() | (4) |
arises in the study of various questions of theoretical and applied character (see [1], [4]).
Suppose that the right-hand side
and the unknown function
belong to
,
, that the kernel
and that
![]() | (5) |
The function
is called the symbol of equation (4). The index of equation (4) is the number
![]() | (6) |
If
, then the functions
defined by the equations
![]() | (7) |
are the Fourier transforms of functions
, respectively, such that
for
. Under the above conditions, equation (4) has a unique solution, which can be expressed by the formula
![]() | (8) |
where
![]() |
If
, all solutions of equation (4) are given by the formula
![]() | (9) |
![]() |
where
are arbitrary constants,
![]() | (10) |
![]() |
and the functions
are uniquely determined by their Fourier transforms:
![]() | (11) |
![]() |
![]() |
When
, the homogeneous equation corresponding to (4) has exactly
linearly independent solutions
, which are absolutely-continuous functions on any bounded interval; these solutions can be chosen so that
,
for
, and
.
If
, the equation is solvable only if the following condition holds:
![]() | (12) |
where
is a system of linearly independent solutions of the transposed homogeneous equation of (4):
![]() | (13) |
Under these conditions, the (unique) solution is given by the formula
![]() |
where
![]() |
![]() |
while the Fourier transforms
and
of the functions
are defined by the equation
![]() |
and the equations (11). Noether's theorem holds for equation (4) (see Singular integral equation).
The first significant results in the theory of equations (4) were obtained in [11], where an effective method (the so-called Wiener–Hopf method) for solving the homogeneous equation corresponding to (4) was given under the hypothesis that the kernel and the required solution satisfy the conditions: For some
both
![]() |
The main point of the Wiener–Hopf method is the idea of factorization of a function
which is holomorphic in the strip
, that is, the possibility to represent it as a product
, where
are functions holomorphic in the half-planes
and
, respectively, and satisfy certain additional requirements. These results have been developed and amplified (see [4]).
A method has been developed for reducing equation (4) to a boundary value problem of linear identification. In this way, equation (4) has been solved under the following hypotheses:
,
,
,
,
, as
, and
,
.
In addition to this, the role of the number
in solving (4) has been clarified. In earlier articles an analogous role was played by the number of zeros of the analytic function
in a strip (see ).
Condition (5) is both necessary and sufficient in order that Noether's theorem holds for equation (4). The solution of equation (4) given above simplifies in a number of particular cases important in practice. The asymptotics of the solution have been obtained for special right-hand sides (see [4]).
Equation (4) has also been studied in the case when
and the Fourier transform
of the kernel
has discontinuities of the first kind (see [5]) or is an almost-periodic function (see [2]). In these cases, condition (5) turns out to be insufficient for Noether's theorem to hold.
The validity of the majority of results listed above has also been established for systems of equations of type (4); however, in contrast to the case of a single equation, a system of integral equations of convolution type in the general case cannot be solved explicitly by quadratures (see [6]).
Also related to integral equations of convolution type are paired equations (or dual equations)
![]() | (15) |
![]() |
and their transposed equations, so-called integral equations of convolution type with two kernels:
![]() | (16) |
![]() |
Equations (15) have been explicitly solved by quadratures in , and equation (16) in [10].
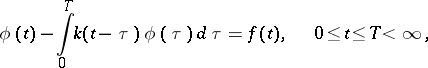
An integral equation of convolution type on a bounded interval,
![]() | (17) |
where
, is called a Fredholm equation (see [7], [9]).
Integral equations of convolution type whose symbol vanishes at a finite number of points and the orders of whose zeros are integers, lend themselves to an explicit solution by quadratures (see [8], [12]).
References
| [1] | B. Noble, "Methods based on the Wiener–Hopf technique for the solution of partial differential equations" , Pergamon (1958) |
| [2] | I.C. [I.Ts. Gokhberg] Gohberg, I.A. Feld'man, "Convolution equations and projection methods for their solution" , Transl. Math. Monogr. , 41 , Amer. Math. Soc. (1974) (Translated from Russian) |
| [3a] | I.M. Rapoport, "On a class of singular integral equations" Dokl. Akad. Nauk. SSSR , 59 : 8 (1948) pp. 1403–1406 (In Russian) |
| [3b] | I.M. Rapoport, Trudy Mat. Inst. Steklov. , 12 (1949) pp. 102–117 |
| [4] | M.G. Krein, "Integral equations on the half-line with kernel depending on the difference of the arguments" Uspekhi Mat. Nauk , 13 : 5 (1958) pp. 3–120 (In Russian) |
| [5] | R.V. Duduchava, "Wiener–Hopf integral operators" Math. Nachr. , 65 : 1 (1975) pp. 59–82 (In Russian) |
| [6] | I.Ts. Gokhberg, M.G. Krein, "Fundamental aspects of deficiency numbers, root numbers and indexes of linear operators" Uspekhi Mat. Nauk , 12 : 2 (1957) pp. 44–118 (In Russian) |
| [7] | M.P. Ganin, "On a Fredholm integral equation whose kernel depends on the difference of two arguments" Izv. Vuzov. Mat. : 2 (1963) pp. 31–43 (In Russian) |
| [8] | F.D. Gakhov, V.I. Smagina, "Exceptional cases of integral equations of convolution type and equations of the first kind" Izv. Akad. Nauk SSSR Ser. Mat. , 26 : 3 (1962) pp. 361–390 (In Russian) |
| [9] | I.B. Simonenko, "On some integro-differential equations of convolution type" Izv. Vuzov. Mat. : 2 (1959) pp. 213–226 (In Russian) |
| [10] | Yu.I. Cherskii, "On some special integral equations" Uchen. Zap. Kazansk. Univ. , 113 : 10 (1953) pp. 43–56 (In Russian) |
| [11] | N. Wiener, E. Hopf, "Ueber eine Klasse singulärer Integralgleichungen" Sitz. Ber. Akad. Wiss. Berlin 30/32 (1931) pp. 696–706 |
| [12] | S. Prössdorf, "Einige Klassen singulärer Gleichungen" , Birkhäuser (1974) |
Comments
See also Abel integral equation, for an example.
In general, systems of equations of type (4) cannot be solved explicitly. An exception occurs when the symbol
is a rational matrix function. In that case
can be written in the form
, where
is an identity matrix,
is a square matrix of order
, say, without real eigen values, and
and
are (possibly non-square) matrices of appropriate sizes. Such a representation, which comes from mathematical systems theory, is called a realization of
. The system of Wiener–Hopf equations can now be analyzed in terms of
,
and
. The analysis yields explicit formulas for solutions, as well as explicit formulas for Wiener–Hopf factorization. Interpreting (4) as a system of equations involving a matrix kernel
and
-vector functions
and
, one of the major results obtained through this approach reads as follows. For each
in
, equation (4) has a unique solution
in
if and only if
has no real eigen values and
is the direct sum of
and
, where
and
are the spectral subspaces corresponding to the eigen values of
and
located in the upper and lower half-planes, respectively. Furthermore, in that case the symbol
admits a (canonical Wiener–Hopf) factorization
with
![]() |
![]() |
![]() |
![]() |
and the resolvent kernel
of (4) is given by
![]() |
where
is the projection of
along
onto
. Of particular interest is the situation where the symbol is self-adjoint (cf. [a11]). For further details and additional results (also on non-canonical Wiener–Hopf factorization) see [a1], [a2], [a7], and [a9]. Generalizations are possible to certain classes of non-rational symbols. For these classes, the realizations involve infinite-dimensional, possibly unbounded, operators (cf. [a3], [a4] and [a9]). For applications to the transport equation and abstract kinetic theory, see [a2], [a8] and [a10]; for applications to
control theory, cf. [a6].
See also Fredholm operator.
References
| [a1] | H. Bart, "Transfer functions and operator theory" Linear Alg. Appl. , 84 (1986) pp. 33–61 |
| [a2] | H. Bart, I. Gohberg, M.A. Kaashoek, "Minimal factorization of matrix and operation functions" , Birkhäuser (1979) |
| [a3] | H Bart, I. Gohberg, M.A. Kaashoek, "Fredholm theory of Wiener–Hopf equations in terms of realization of their symbols" Integr. Eq. Oper. Theory , 8 (1985) pp. 590–613 |
| [a4] | H Bart, I. Gohberg, M.A. Kaashoek, "Wiener–Hopf factorization, inverse Fourier transforms and exponentially dichotomous operators" J. Funct. Anal. , 68 (1986) pp. 1–42 |
| [a5] | K. Clancey, I. Gohberg, "Factorization of matrix functions and singular integral operators" , Birkhäuser (1981) |
| [a6] | B.A. Francis, "A course in control theory" , Lect. notes in control and inform. science , 88 , Springer (1987) |
| [a7] | I. Gohberg (ed.) M.A. Kaashoek (ed.) , Constructive methods of Wiener–Hopf factorization , Birkhäuser (1986) |
| [a8] | W. Greenberg, C. van der Mee, V. Protopopescu, "Boundary value problems in abstract kinetic theory" , Birkhäuser (1987) |
| [a9] | M.A. Kaashoek, "Minimal factorization, linear systems and integral operators" S.S. Power (ed.) , Operators and function theory , Reidel (1985) pp. 41–86 |
| [a10] | H.G. Kaper, C.G. Lekkerkerker, J. Hejtmanek, "Spectral methods in linear transport theory" , Birkhäuser (1982) |
| [a11] | A.C.M. Ran, "Minimal factorization of selfadjoint rational matrix functions" Integr. Eq. Oper. Theory , 5 (1982) pp. 850–869 |
| [a12] | A.G. Ramm, "Theory and applications of some new classes of integral equations" , Springer (1980) |
| [a13] | A. Ziolkowski, "Deconvolution" , Reidel (1984) |
Integral equation of convolution type. R.V. DuduchavaB.V. Khvedelidze (originator), Encyclopedia of Mathematics. URL: http://encyclopediaofmath.org/index.php?title=Integral_equation_of_convolution_type&oldid=15739


































control theory" , Lect. notes in control and inform. science , 88 , Springer (1987)