Arrangement of hyperplanes
Let
be an
-dimensional affine space over the field
. An arrangement of hyperplanes,
, is a finite collection of codimension-one affine subspaces in
, [a5].
Examples of arrangements of hyperplanes.
1) A subset of the coordinate hyperplanes is called a Boolean arrangement.
2) An arrangement is in general position if at each point it is locally Boolean.
3) The braid arrangement consists of the hyperplanes
. It is the set of reflecting hyperplanes of the symmetric group on
letters.
4) The reflecting hyperplanes of a finite reflection group.
Combinatorics.
An edge
of
is a non-empty intersection of elements of
. Let
be the set of edges partially ordered by reverse inclusion. Then
is a geometric semi-lattice with minimal element
, rank given by codimension, and maximal elements of the same rank,
. The Möbius function on
is defined by
and, for
,
![]() |
The characteristic polynomial of
is
. Let
. For a generic arrangement of
hyperplanes,
![]() |
For the braid arrangement,
![]() |
Similar factorizations hold for all reflection arrangements involving the (co)exponents of the reflection group. Given a
-tuple of hyperplanes,
, let
; note that
may be empty. One says that
is dependent if
and
. Let
be the exterior algebra on symbols
for
, where the product is juxtaposition. Define
by
,
and, for
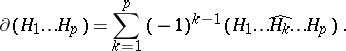
,
![]() |
Let
be the ideal of
generated by
. The Orlik–Solomon algebra of
is
. For connections with matroid theory, see [a3].
Divisor.
The divisor of
is the union of the hyperplanes, denoted by
. If
or
, then
has the homotopy type of a wedge of
spheres of dimension
, [a4]. The singularities of
are not isolated. The divisor of a general-position arrangement has normal crossings, but this is not true for arbitrary
. Blowing-up
along all edges where it is not locally a product of arrangements yields a normal crossing divisor. See also Divisor.
Complement.
The complement of
is
.
1) If
, then
is a finite set of cardinality
.
2) If
, then
is a disjoint union of open convex sets (chambers) of cardinality
. If
,
contains
chambers with compact closure, [a7].
3) If
, then
is an open complex (Stein) manifold of the homotopy type of a finite CW-complex (cf. also Stein manifold). Its cohomology is torsion-free and its Poincaré polynomial (cf. Künneth formula) is
. The product structure is determined by the isomorphism of graded algebras
. The fundamental group of
has an effective presentation, but the higher homotopy groups of
are not known in general.
The complement of a Boolean arrangement is a complex torus. In a general-position arrangement of
hyperplanes,
has non-trivial higher homotopy groups. For the braid arrangement,
is called the pure braid space and its higher homotopy groups are trivial. The symmetric group acts freely on
with as orbit space the braid space whose fundamental group is the braid group. The quotient of the divisor by the symmetric group is called the discriminant, which has connections with singularity theory.
Ball quotients.
Examples of algebraic surfaces whose universal cover is the complex ball were constructed as "Kummer" covers of the projective plane branched along certain arrangements of projective lines, [a2].
Logarithmic forms.
For
, choose a linear polynomial
with
and let
. Let
denote all global regular (i.e., polynomial)
-forms on
. Let
denote the space of all global rational
-forms on
. The space
of logarithmic
-forms with poles along
is
![]() |
![]() |
The arrangement is free if
is a free module over the polynomial ring. A free arrangement
has integer exponents
, so that
. Reflection arrangements are free. This explains the factorization of their characteristic polynomials.
Hypergeometric integrals.
Certain rank-one local system cohomology groups of
may be identified with spaces of hypergeometric integrals, [a1]. If the local system is suitably generic, these cohomology groups may be computed using the algebra
. Only the top cohomology group is non-zero, and it has dimension
. See [a6] for connections with the representation theory of Lie algebras and quantum groups, and with the Knizhnik–Zamolodchikov differential equations of physics.
References
| [a1] | K. Aomoto, M. Kita, "Hypergeometric functions" , Springer (1994) (Translated from Japanese) |
| [a2] | G. Barthel, F. Hirzebruch, T. Höfer, "Geradenkonfigurationen und Algebraische Flächen" , Vieweg (1987) |
| [a3] | A. Björner, M. Las Vergnas, B. Sturmfels, N. White, G.M. Ziegler, "Oriented matroids" , Cambridge Univ. Press (1993) |
| [a4] | M. Goresky, R. MacPherson, "Stratified Morse theory" , Springer (1988) |
| [a5] | P. Orlik, H. Terao, "Arrangements of hyperplanes" , Springer (1992) |
| [a6] | A. Varchenko, "Multidimensional hypergeometric functions and representation theory of Lie algebras and quantum groups" , World Sci. (1995) |
| [a7] | T. Zaslavsky, "Facing up to arrangements: face-count formulas for partitions of space by hyperplanes" , Memoirs , 154 , Amer. Math. Soc. (1975) |
Arrangement of hyperplanes. Encyclopedia of Mathematics. URL: http://encyclopediaofmath.org/index.php?title=Arrangement_of_hyperplanes&oldid=18721





