Namespaces
Variants
Actions

Path

From Encyclopedia of Mathematics
Revision as of 14:52, 7 June 2020 by Ulf Rehmann (talk | contribs) (Undo revision 48142 by Ulf Rehmann (talk))
Jump to: navigation, search

A continuous mapping of the interval into a topological space . The points and are called the initial and the final points of the path . Given , the path defined by the formula , , is called the path inverse to and is denoted by . Given and with , the path defined by the formula

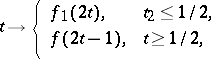
is called the composite of the paths and and is denoted by . In a path-connected space with distinguished point , the set of all paths with initial point forms the path space of .


Comments

Generally one is interested not so much in the individual paths in a space as in the homotopy classes thereof; if one factors by the equivalence relation of homotopy relative to , the composition defined above becomes associative, and becomes a genuine inverse to . See Fundamental groupoid.

More precisely, one may define a path as being any continuous mapping , where is called the length of the path . Then and , with of length and , are composed to , taking to and in (where has length ) to . This composition is associative (not only homotopy associative).

References

[a1] P.J. Hilton, S. Wylie, "Homology theory. An introduction to algebraic topology" , Cambridge Univ. Press (1965)
How to Cite This Entry:
Path. Encyclopedia of Mathematics. URL: http://encyclopediaofmath.org/index.php?title=Path&oldid=49358
This article was adapted from an original article by M.I. Voitsekhovskii (originator), which appeared in Encyclopedia of Mathematics - ISBN 1402006098. See original article