Moment problem
One of the interpolation problems in the real or complex domain.
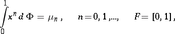
The first precise formulation of the original version of the moment problem in the real domain is due to T.J. Stieltjes (1894). He proposed and solved the following problem in connection with the study of continued fractions (cf. Continued fraction): Given a sequence of real numbers
,
determine a bounded and non-decreasing function
on
such that
![]() | (1) |
As in every interpolation problem, the solution of (1) consists of two parts.
Problem A.
Let
be the set of all sequences of real numbers
for which the infinite system of equations (1) has at least one solution
with the above properties; determine necessary and sufficient (constructive) conditions which must be satisfied by the numbers
,
in order that
.
Problem B.
Determine the set of all solutions in the class of bounded non-decreasing functions
on
satisfying the infinite system (1) for given
,
.
The left-hand sides of (1) were called "momentmoments" by Stieltjes. He borrowed the terminology from mechanics. If
is interpreted as the mass on
, then the integral
is the mass on
. The integrals (1) for
and
are then, respectively, the first (static) and second (inertial) moments with respect to the origin
of the total mass
(this corresponds to
in (1)) on
. Generalizing this idea, Stieltjes called the integral
![]() |
the moment of order
(relative to
) of the given mass
with
as distribution on
.
Stieltjes related the solution of the moment problem in the following way to the "natural" continued fraction associated with the integral
![]() | (2) |
more precisely, to the formal series
![]() |
Corresponding to the integral
there is a continued fraction:
![]() | (3) |
and also a "closely related" continued fraction
![]() | (4) |
The continued fraction (4) is obtained from (3) by "reductions" of the form
![]() |
Making use of the theory of continued fractions, Stieltjes proved that in a certain sense a necessary and sufficient condition for the solvability of (1) (which is equivalent to
) is the positivity of all
in (3), which, in turn, is a consequence of the positivity of
and
in (4). In terms of
these conditions are equivalent to the positivity of the determinants
![]() |
and
![]() |
The moment problem (1) is called well-posed or determined for a given sequence
,
, if the system (1) has a unique solution
. On the other hand, it has been shown that if the system (1) has more than one solution for a given
,
, then it has an infinite number of solutions.
Example: the two functions
![]() |
and
![]() |
have the same moments
![]() |
for all
.
Stieltjes effectively constructed certain solutions of (1), which, of course, all coincide in a well-known sense if (1) is well-posed. When the moment problem (1) is ill-posed or undetermined, the Stieltjes solutions have a number of extremal properties. Stieltjes subsequently showed that (1) is well-posed or ill-posed depending on the convergence or divergence of the continued fraction (3) (which is equivalent to the divergence or convergence of the series
). Here the fraction (3) may be convergent to
, whereas the series
![]() |
may, at the same time, diverge for all
.
Preceding the work of Stieltjes , the moment problem in the real domain was considered in a less general and less precise formulation; such as, for example, in a series of papers by P.L. Chebyshev [2] and A.A. Markov [3]. They mainly investigated the following problem: Give a description of the properties of a class
of functions defined on
such that the relations
![]() |
and
![]() | (5) |
lead to the identity
![]() |
In other words, the question here concerns a maximally complete and constructive characterization of the uniqueness class
of the interpolation problem (5). The solution of the moment problem (5) plays a major role in probability theory and mathematical statistics. Also of major significance are the polynomials
, the dominators of the successive approximations (that is, the approximants) of the continued fraction (4). The study of the properties of the polynomials
later initiated a broad field of research into the theory of orthogonal polynomials.
H. Hamburger (1920) generalized the moment problem (1) to the case of the whole real line
. Here the consideration of negative values of
introduced a number of peculiarities and was non-trivial. Hamburger, making essential use of Helly's selection principle (cf. Helly theorem), aimed at obtaining necessary and sufficient conditions for the solvability of the system
![]() | (6) |
thereby completely solving the problem of convergence of the continued fractions (3) and (4) generated by (6). The union of problems
and
in relation to (6) is called the moment problem of equation (6). Hamburger obtained a criterion for the existence of a unique solution of the moment problem for (6). In this connection, the moment problem for (6) may be ill-posed, whereas at the same time the corresponding moment problem (1) (with the same
) may be well-posed (have a unique solution). R. Nevanlinna (1922) gave a solution to the moment problem (6) using the integrals
![]() |
and studied properties of these solutions. He made an important observation about the so-called "extremal solution" of the moment problem (6).
M. Riesz (1921) obtained solutions of the moment problem (6) based on the theory of quasi-orthogonal polynomials. These consist of linear combinations of the form
, where
are constants and
is the dominator of the
-th approximant of the continued fraction (4) associated with (6). He observed a close connection between the solutions of the moment problem (6) and the validity of Parseval's formula for the system of orthogonal polynomials
. T. Carleman (1923–1926) established connections between the moment problem (6), the theory of quasi-analytic functions and the theory of quadratic forms in a countable set of variables. He also obtained the most general criterion for the well-posedness of the moment problem (6). F. Hausdorff (1923) obtained a criterion for the solvability of the moment problem (6)
under the condition that the function
in (6) is a constant outside a given interval. He effectively constructed the solution
of (6) (which, under the assumption given above, is always unique); this provides an opportunity to obtain criteria for additional properties of solutions
of (6) (continuity, differentiability, etc.). Carleman and subsequently M.H. Stone (1932) fully investigated (6) based on results in the theory of Jacobi quadratic forms and the theory of singular integral equations. E.K. Haviland (1935) and H. Cramér (1937) extended Riesz's theory of (6) to the multi-dimensional case.
Numerous different generalizations of the moment problem have also been considered. Mainly these are variants (or a combination of variants) of the following two themes.
Replacement of the powers
in the integrals (6) by "moment" sequences of functions
of another form, and replacement of the left-hand sides of (6) by other kinds of integrals (for example, the case when
is replaced by
, where
,
, has been studied) or even by operators acting in abstract spaces.
Thus, with respect to the first theme, one has the so-called trigonometric moment problem, which is the following: Given an infinite sequence of numbers
, determine a function
, non-decreasing on
, satisfying
![]() | (7) |
that is, solve problems
and
for the system (7).
Precise formulations of certain results concerning the theory of moment problems in the real domain are given below. Let
be the
-dimensional Euclidean space. A set function
, defined on the family
of all Borel sets in
, is called a distribution if
for all
and if
![]() |
whenever
,
, where
for all
.
The spectrum
of a distribution
is the set of all points
such that
for an arbitrary open set
containing
. Let
![]() | (8) |
be an
-fold infinite sequence of real numbers. The question is: What are necessary and sufficient conditions to be satisfied by the numbers (8) in order that there is a distribution
, with spectrum
contained in a given closed set
, which is a solution of the system
![]() | (9) |
(problem
for (9)). Problem
for (9) is formulated similarly. The union of problems
and
for (9) is called the
-moment problem. The
-moment problem is well-posed if its solution is in some way unique. Otherwise the
-moment problem (9) is called ill-posed.
Theorem.
A necessary and sufficient condition that the
-moment problem (9) has a solution in
is that the condition
![]() |
holds for any polynomial
![]() |
taking non-negative values for all
.
This theorem is the basis for obtaining solvability conditions (that is, for the solution of problem
) for different versions of (9). Here are some of them.
Theorem 1.
In order that the moment problem (6) (with
) have a solution it is necessary that
![]() |
For the existence of a solution to the moment problem (6) having a spectrum which is not a finite number of points, it is necessary and sufficient that
![]() |
For the existence of a solution to the moment problem (6) having a spectrum consisting of precisely
different points, it is necessary and sufficient that
![]() |
In the latter case the moment problem (6) is always well-posed.
Theorem 2.
In order that the moment problem (1) (with
) is solvable it is necessary that
![]() |
and
![]() |
For the existence of a solution to the moment problem (1) having a spectrum which is not a finite number of points, it is necessary and sufficient that
![]() |
Necessary and sufficient conditions have also been obtained for the existence of a solution to the moment problem (1) having a spectrum
consisting of precisely
points different from
. The conditions are similar to those given in the final part of Theorem 1.
Theorem 3.
A necessary and sufficient condition that the Hausdorff moment problem in
,
![]() |
has a solution, is that
for all
(here
denotes the
-th difference operator).
Theorem 4.
A necessary and sufficient condition that the Hausdorff moment problem in
,
![]() |
has a solution, is that
![]() |
Theorem 5.
The moment problem (6) is well-posed if
![]() | (10) |
Necessary and sufficient conditions are known (see, for example, [4]) which must be satisfied by
in order that the moment problem (6) (the moment problem (1)) be well-posed; however, these conditions are less simple than the sufficient condition (10) and their formulation is somewhat cumbersome.
The moment problem in the complex domain is the name of a wide class of interpolation problems described as follows. Let
be an open simply-connected domain in the complex plane
,
; let
be the space of analytic functions in
with topology defined by uniform convergence on arbitrary compact sets
; let
be the space of all functions
analytic in a neighbourhood
of the point at infinity for which
and
(the latter is another way of saying that the set of singularities of
lies in
). The topology in
is defined by uniform convergence on one of the curves of the family of simple closed Jordan curves
having the property: For any compact set
there is a
such that
(here
denotes the open simply-connected domain with boundary
lying inside
). It is well known that the spaces
and
are dual.
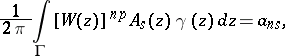
The moment problem in a complex domain is as follows. Given an integer
, functions
,
, a univalent function
, and a set of
sequences of complex numbers
![]() |
can one find a function
for which
![]() | (11) |
![]() |
where
![]() |
In general, it is not true for every given collection
that the infinite system (11) has at least one solution
. Therefore a collection
is called
-admissible if there is (at least one)
satisfying (11).
Problem A.
Determine necessary and sufficient conditions (of a constructive nature) for the
-admissibility of a collection
.
Problem B.
Let
be
-admissible. The question is: How can one determine the complete set of functions
satisfying (11) with respect to given numbers
in the right-hand side of (11)?
The union of problems
and
is called a moment problem in the complex domain. Problem
, for the case
and
, was first treated in 1937 by A.O. Gel'fond [6]; he discussed whether, in principle, problem
can be solved (for
and
the system (11) always has a unique solution for
-admissible right-hand sides
). Numerous special cases of problems
and
have been investigated (see [7]–[10]). Using tools from the theory of boundary value problems allows one to attain (see [11]–[14]) a fairly complete investigation of the moment problem in the complex domain.
A domain
is called
-invariant,
, if
.
An exhaustive solution to the moment problem in a complex domain
under natural assumptions concerning the functions
,
, has been given in [10], when
, as well as for a domain whose image
can be imbedded in some domain
. The theory of boundary value problems can be fruitfully used to obtain a complete solution by quadrature of problem
for domains of the types indicated. In particular, for
every domain
belongs to the class
. Thus necessary and sufficient conditions for the uniqueness of the solution of the system (11) have been found for domains
whose
-images cannot be imbedded. These domains are important in applications. Here there are two essentially different cases:
and
(in the latter, the question of the uniqueness of the solution to (11) has been exhaustively studied on the assumption that
). Several versions of the moment problem (11) are possible with regard to the behaviour of the corresponding functions on
.
A number of well known interpolation problems reduce to the moment problem in the complex domain by means of the Borel transformation and its generalizations (see Comparison function and Borel transform), for example:
![]() |
![]() |
![]() |
![]() |
![]() |
In addition, many theorems on integer-valued functions reduce to very specific cases of problem
.
References
| [1a] | T.J. Stieltjes, "Recherches sur les fractions continues" Ann. Fac. Sci. Univ. Toulouse , 8 (1894) pp. 1–122 MR1508159 Zbl 25.0326.01 |
| [1b] | T.J. Stieltjes, "Recherches sur les fractions continues" Ann. Fac. Sci. Univ. Toulouse , 9 (1895) pp. 1–47 MR1508160 Zbl 0861.01036 Zbl 0861.01037 Zbl 0838.01036 Zbl 0862.01038 Zbl 35.0978.01 Zbl 25.0326.01 |
| [2] | P.L. Chebyshev, "Oeuvres de P.L. Tchebycheff" , 1–2 , Chelsea (1961) (Translated from Russian) |
| [3] | A.A. Markov, "Selected work on the theory of continued fractions and the theory of functions deviating least from zero" , Moscow-Leningrad (1948) (In Russian) |
| [4] | J.A. Shohat, J.D. Tamarkin, "The problem of moments" , Amer. Math. Soc. (1950) MR0008438 Zbl 0041.43302 |
| [5] | N.I. Akhiezer, "The classical moment problem and related questions in analysis" , Hafner (1965) (Translated from Russian) MR0184042 Zbl 0135.33803 |
| [6] | A.O. [A.O. Gel'fond] Gelfond, "Differenzenrechnung" , Deutsch. Verlag Wissenschaft. (1958) (Translated from Russian) MR0094608 Zbl 0080.07601 |
| [7] | R.C. Buck, "Interpolation series" Trans. Amer. Math. Soc. , 64 (1948) pp. 283–298 MR0029985 Zbl 0033.36401 |
| [8] | R.C. Buck, "Integral valued entire functions" Duke Math. J. , 15 (1948) pp. 879–891 MR0029984 Zbl 0033.36402 |
| [9] | R.C. Buck, "On admissibility of sequences and a theorem of Pólya" Comment. Mat. Helv. , 27 (1953) pp. 75–80 MR0054706 Zbl 0050.08103 |
| [10] | I.F. Lokhin, "An interpolation problem for entire functions" Mat. Sb. , 35 : 2 (1954) pp. 223–230 (In Russian) |
| [11] | Yu.A. Kaz'min, "On a general problem in the theory of interpolation" Soviet Math. Dokl. , 11 (1970) pp. 1357–1361 Dokl. Akad. Nauk SSSR , 194 : 6 (1970) pp. 1251–1254 Zbl 0215.42202 |
| [12] | Yu.A. Kaz'min, "On the moment problem in the complex domain" Soviet Math. Dokl. , 13 (1972) pp. 833–837 Dokl. Akad. Nauk SSSR , 204 : 6 (1972) pp. 1309–1312 Zbl 0261.30022 |
| [13] | Yu.A. Kaz'min, "The general moment problem in the complex domain. Uniqueness theorems" Soviet Math. Dokl. , 13 (1972) pp. 868–872 Dokl. Akad. Nauk SSSR , 205 : 1 (1972) pp. 19–22 Zbl 0261.30023 |
| [14] | L. Bieberbach, "Analytische Fortsetzung" , Springer (1955) MR0068621 Zbl 0064.06902 |
| [15] | F.D. Gakhov, "Boundary value problems" , Pergamon (1966) (Translated from Russian) MR0198152 Zbl 0141.08001 |
| [16] | M.G. Krein, A.A. Nudel'man, "The Markov moment problem and extremal problems" , Amer. Math. Soc. (1977) (Translated from Russian) MR0458081 Zbl 0361.42014 |
Comments
The classical moment problem is connected with a large number of fundamental theoretical and applied topics, including function theory, spectral decomposition of operators, positive definiteness, probability, approximation theory, electrical and mechanical inverse problems, prediction of stochastic processes, and the design of algorithms for signal-processing VLSI chips. A survey of some of these ramifications is given in [a23].
As is obvious from the main article above, there is an intimate connection between moment problems and continued fractions; from there it is but a very small step to the field of rational approximation and interpolation, viz. Padé and Hermite–Padé approximation (cf., e.g., Padé approximation).
The vast literature on the last mentioned subject contains many papers connected with and having effect on several types of moment problems, cf. contributions in [a3]–[a12]; also, applications in physics should be mentioned, see [a13]–[a15].
Moreover, in the last 15 years the study of different types of extensions of the moment problem in the setting of the theory of continued fractions and linear analysis has intensified; cf. [a16]–[a20].
Finally, [a1]– are important from a historical point of view.
References
| [a1] | J. Grommer, "Ganze transzendente Funktionen mit lauter reellen Nullstellen" J. Reine Angew. Math. , 144 (1914) pp. 212–238 Zbl 45.0650.03 Zbl 45.0650.02 |
| [a2a] | H. Hamburger, "Ueber eine Erweiterung des Stieltjesschen Momentenproblems I" Math. Ann. , 81 (1920) pp. 235–319 |
| [a2b] | H. Hamburger, "Ueber eine Erweiterung des Stieltjesschen Momentenproblems II" Math. Ann. , 82 (1921) pp. 120–164 |
| [a2c] | H. Hamburger, "Ueber eine Erweiterung des Stieltjesschen Momentenproblems III" Math. Ann. , 82 (1921) pp. 168–187 |
| [a3] | P.R. Graves (ed.) , Padé approximants and their application (Canterbury, 1972) , Acad. Press (1973) |
| [a4] | E.B. Saff (ed.) R.S. Varga (ed.) , Padé and Rational Approximation (Tampa, 1976) , Acad. Press (1977) MR458010 |
| [a5] | L. Wuytack (ed.) , Padé approximation and its applications (Antwerp, 1979) , Lect. notes in math. , 765 , Springer (1979) MR561441 |
| [a6] | M.G. de Bruin (ed.) H. van Rossum (ed.) , Padé approximation and its applications (Amsterdam, 1980) , Lect. notes in math. , 888 , Springer (1981) |
| [a7] | J. Gilewicz (ed.) , Proc. 1-st French-Polish Meeting on Padé Approximation and Convergence Acceleration Techniques (Warszaw, 1981) , CPT-81/PE 1354 , CNRS (1982) |
| [a8] | H. Werner (ed.) H.-J. Bünger (ed.) , Padé approximation and its application (Bad Honnef, 1983) , Lect. notes in math. , 1071 , Springer (1984) |
| [a9] | P.R. Graves-Morris (ed.) E.B. Saff (ed.) R.S. Varga (ed.) , Rational Approximation and Interpolation (Tampa, 1983) , Lect. notes in math. , 1105 , Springer (1984) |
| [a10] | C. Brezinski (ed.) A. Draux (ed.) A.P. Magnus (ed.) P. Maroni (ed.) A. Ronveaux (ed.) , Polynômes Orthogonaux et Applications (Bar-le-Duc, 1984) , Lect. notes in math. , 1171 , Springer (1985) |
| [a11] | J. Gilewicz (ed.) M. Pindor (ed.) W. Siemasko (ed.) , Rational Approximation and its Application in Mathematics and Physics (Lańcut, 1985) , Lect. notes in math. , 1237 , Springer (1987) |
| [a12] | A. Cuyt (ed.) , Nonlinear numerical methods and rational approximation (Antwerp, 1987) , Reidel (1988) MR1005348 |
| [a13] | J. Antolin, A. Cruz, J. Phys. , G12 (1986) pp. 297 |
| [a14] | C.T. Corcoran, P.W. Langhoff, "Moment-theory approximations for nonnegative spectral densities" J. Math. Phys. , 18 (1977) pp. 651–657 MR0437991 |
| [a15] | P.W. Langhoff, B.J. Dalton (ed.) et al. (ed.) , Moment methods in many Fermion systems , Plenum (Forthcoming) |
| [a16] | W.B. Jones, W.J. Thron, H. Waadeland, "A strong Stieltjes moment problem" Trans. Amer. Math. Soc. , 261 (1980) pp. 503–528 MR0580900 Zbl 0449.30004 |
| [a17] | W.J. Thron, "Survey of continued fraction methods in solving moment problems and related topics" W.B. Jones (ed.) W.J. Thron (ed.) E.H. Waadeland (ed.) , Analytic theory of continued fractions , Lect. notes in math. , 932 , Springer (1982) pp. 4–36 MR690451 |
| [a18] | W.B. Jones, W.J. Thron, O. Njastad, "Orthogonal Laurent polynomials and the strong Hamburger moment problem" J. Math. Anal. Applic. , 98 (1984) pp. 528–554 MR0730525 Zbl 0535.44006 |
| [a19] | W.B. Jones, O. Njastad, W.J. Thron, "Continued fractions associated with the trigonometric and other strong moment problems" (To appear) |
| [a20] | W.B. Jones, O. Njastad, W.J. Thron, "Perron–Carathéodory continued fractions" (To appear) |
| [a21] | N.I. Akhiezer, M. Krein, "Some questions in the theory of moments" , Amer. Math. Soc. (1962) (Translated from Russian) MR167806 Zbl 0117.32702 |
| [a22] | H.J. Landau, "The classical moment problem: Hilbertian proofs" J. Funct. Anal. , 38 (1980) pp. 255–272 MR0587909 Zbl 0446.44006 |
| [a23] | H.J. Landau (ed.) , Moments in mathematics , Amer. Math. Soc. (1987) pp. 56ff MR0921081 Zbl 0621.00005 |
| [a24] | I.P. Natanson, "Constructive theory of functions" , 1–2 , F. Ungar (1964–1965) (Translated from Russian) MR0702625 MR0201880 MR0201879 MR0201878 MR0034464 Zbl 0599.41024 Zbl 0573.41025 |
Moment problem. Encyclopedia of Mathematics. URL: http://encyclopediaofmath.org/index.php?title=Moment_problem&oldid=24109










































