Sturm-Liouville problem
A problem generated by the following equation, where
varies in a given finite or infinite interval
,
![]() | (1) |
together with some boundary conditions, where
and
are positive,
is real and
is a complex parameter. Serious studies of this problem were started by J.Ch. Sturm and J. Liouville. The methods and notions that originated during studies of the Sturm–Liouville problem played an important role in the development of many directions in mathematics and physics. It was and remains a constant source of new ideas and problems in the spectral theory of operators and in related problems in analysis. Recently it gained even greater significance, when its relation to certain non-linear evolution equations of mathematical physics were discovered.
If
is differentiable and
is twice differentiable, then, by a substitution, equation (1) can be reduced to (see [1])
![]() | (2) |
It is customary to distinguish between regular and singular problems. A Sturm–Liouville problem for equation (2) is called regular if the interval
in which
varies is finite and if the function
is summable on the entire interval
. If the interval
is infinite or if
is not summable (or both), then the problem is called singular.
Below the following possibilities will be considered in some detail: 1) the interval
is finite (in this case, without loss of generality, one may assume
and
); 2)
,
; or 3)
,
.
. Consider the problem given on the interval
by equation (2) and the separated boundary conditions
![]() | (3) |
where
is a real summable function on
,
and
are arbitrary finite or infinite fixed real numbers and
is a complex parameter. If
, then the first (second) condition in (3) is replaced by
. To be specific it is further assumed that all numbers occurring in the boundary conditions are finite.
The number
is called an eigenvalue for the problem (2), (3) if for
equation (2) has a non-trivial solution
that satisfies (3); the function
is then called the eigenfunction corresponding to the eigenvalue
.
The eigenvalues for the boundary value problem (2), (3) are real; to the distinct eigenvalues correspond linearly independent eigenfunctions (since
and the numbers
are real, the eigenfunctions for the problem (2), (3) can be chosen to be real); eigenfunctions
and
corresponding to different eigenvalues are unique and orthogonal, i.e.
.
There exists an unboundedly-increasing sequence of eigenvalues
for the boundary value problem (2), (3); moreover, the eigenfunction
corresponding to the eigenvalue
has precisely
zeros in the interval
.
Let
be the Sobolev space of complex-valued functions on the interval
that have
absolutely-continuous derivatives and with
-th derivatives summable on
. If
, then the eigenvalues
of the boundary value problem (2), (3) for large
satisfy the following asymptotic equation (see [4]):
![]() |
![]() |
where
are numbers independent of
,
![]() |
![]() |
![]() |
does not depend on
, and
![]() |
The above implies, in particular, that if
, then
![]() |
where
![]() |
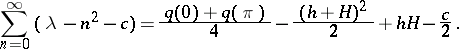
Thus, the series
is convergent. Its sum is called the regularized trace of the problem (2), (3) (see [13]):
![]() |
Let
be the orthonormal eigenfunctions of the problem (2), (3) corresponding to the eigenvalues
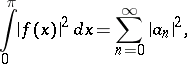
. For any function
the so-called Parseval equality holds:
![]() |
where
![]() |
and the following formula for eigenfunction expansion is valid:
![]() | (4) |
where the series converges in the metric of
. Completeness and expansion theorems for a regular Sturm–Liouville problem were first proved by V.A. Steklov [14].
If the function
has a continuous second derivative and satisfies the boundary conditions (3), then the following assertions hold (see [15]):
a) the series (4) converges absolutely and uniformly on
to
;
b) the once-differentiated series (4) converges absolutely and uniformly on
to
;
c) at any point where
satisfies some local condition of expansion in a Fourier series (e.g. is of bounded variation), the twice-differentiated series (4) converges to
.
For any function
the series (4) is uniformly equiconvergent with the Fourier cosine series of
, i.e.
![]() |
where
![]() |
![]() |
This means that the expansion of
with respect to the eigenfunctions of the boundary value problem (2), (3) converges under the same conditions as the expansion of
in a Fourier cosine series (see [1], [4]).
. The differential equation (2) is considered on the half-line
with a boundary condition at zero:
![]() | (5) |
The function
is assumed to be real and summable on any finite subinterval of
and
is assumed to be real.
Let
be a solution of (2) with the initial conditions
,
(so that
satisfies also the boundary condition (5)). Let
be any function from
and let
, where
is an arbitrary finite positive number. For any function
and any number
there is at least one decreasing function
,
, independent of
, that has the following properties:
a) there is a function
, which is the limit of
for
in the metric of
(the space of
-measurable functions
for which
), i.e.
![]() |
b) the Parseval equality is valid:
![]() |
The function
is called the spectral function (or spectral density) for the boundary value problem (2), (5) (see [9]–[11]).
For the spectral function
of the problem (2), (5) the following asymptotic formula is true (see [16]) (for a more precise form, see ):
![]() |
![]() |
The following equiconvergence theorem is valid : For an arbitrary function
, let
![]() |
![]() |
(the integrals converge in the metrics of
and
, respectively); then for any fixed
the integral
![]() |
converges absolutely and uniformly with respect to
, and
![]() |
![]() |
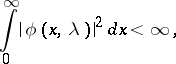
Let problem (2), (5) have a discrete spectrum, i.e. let its spectrum consist of a countable number of eigenvalues
with a unique limit point at infinity. Under certain restrictions on the function
, for the function
, i.e. the number of eigenvalues less than
, the following asymptotic formula is valid:
![]() |
Simultaneously with
, a second solution
of equation (2) is introduced, satisfying the conditions
,
, so that
and
form a fundamental system of solutions of (2). For a fixed
and
the following fractional-linear function is considered:
![]() |
When the independent variable
varies on the real line, the point
describes a circle bounding a disc
. It always lies in the same half-plane (lower or upper) as
. When
increases,
shrinks, i.e. for
the disc
lies entirely inside the disc
. There is (for
) a limit disc or a point
; if
![]() | (6) |
then
is a disc, otherwise it is a point (see [10]). If condition (6) is fulfilled for some non-real value of
, then it is fulfilled for all values of
. In the case of a limit disc, for any value of
all solutions of (2) belong to
, and in the case of a limit point, for any non-real value of
this equation has the solution
, which belongs to
, where
is the limit point
.
If
, where
is some positive constant, then the case of a limit point holds (see [19]); for more general results see [20], [21].
. Consider now equation (2) on the whole line
under the assumption that
is a real summable function on every finite subinterval of
. Let
,
be the solutions of (2) satisfying the conditions
,
.
There is at least one real symmetric non-decreasing matrix-function
![]() |
with the following properties:
a) for any function
there exist functions
,
, defined by
![]() |
where the limit is in the metric of
;
b) the Parseval equality is valid:
![]() |
References
| [1] | B.M. Levitan, I.S. Sargsyan, "An introduction to spectral theory" , Amer. Math. Soc. (1975) (Translated from Russian) |
| [2] | B.M. Levitan, "Eigenfunction expansions of second-order differential equations" , Moscow-Leningrad (1950) (In Russian) |
| [3] | B.M. Levitan, "Generalized translation operators and some of their applications" , Israel Program Sci. Transl. (1964) (Translated from Russian) |
| [4] | V.A. Marchenko, "Sturm–Liouville operators and applications" , Birkhäuser (1986) (Translated from Russian) |
| [5] | E.C. Titchmarsh, "Eigenfunction expansions associated with second-order differential equations" , 1 , Clarendon Press (1962) |
| [6] | E.A. Coddington, N. Levinson, "Theory of ordinary differential equations" , McGraw-Hill (1955) pp. Chapts. 13–17 |
| [7] | M.A. Naimark, "Lineare Differentialoperatoren" , Akademie Verlag (1960) (Translated from Russian) |
| [8] | A.G. Kostyuchenko, I.S. Sargsyan, "Distribution of eigenvalues" , Moscow (1979) (In Russian) |
| [9] | H. Weyl, "Über gewöhnliche lineare Differentialgleichungen mit singulären Stellen und ihre Eigenfunktionen" Gött. Nachr. (1909) pp. 37–64 |
| [10] | H. Weyl, "Über gewöhnliche lineare Differentialgleichungen mit Singularitäten und die Zugehörigen Entwicklungen willküriger Funktionen" Math. Ann. , 68 (1910) pp. 220–269 |
| [11] | H. Weyl, "Über gewöhnliche lineare Differentialgleichungen mit singulären Stellen und ihre Eigenfunktionen (2)" Gött. Nachr. (1910) pp. 442–467 |
| [12] | M.G. Krein, "On the indeterminate case of the Sturm–Liouville boundary problem in the interval " Izv. Akad. Nauk SSSR Ser. Mat. , 16 : 4 (1952) pp. 293–324 (In Russian) |
| [13] | I.M. Gel'fand, B.M. Levitan, "On a simple identity for the characteristic values of a differential operator of the second order" Dokl. Akad. Nauk SSSR , 88 : 4 (1953) pp. 593–596 (In Russian) |
| [14] | V.A. Steklov, "On the development of a given function in a series made up from harmonic functions" Soobshch. Khar'k. Mat. Obshch. , 5 : 1–2 (1896) (In Russian) |
| [15] | B.M. Levitan, I.S. Sargsyan, "Some problems in the theory of the Sturm–Liouville equation" Russian Math. Surveys , 15 : 1 (1960) pp. 1–95 Uspekhi Mat. Nauk , 15 : 1 (1960) pp. 3–98 |
| [16] | V.A. Marchenko, "On the theory of a second-order differential operator" Dokl. Akad. Nauk SSSR , 72 : 3 (1950) pp. 457–460 (In Russian) |
| [17a] | B.M. Levitan, "On the asymptotic behaviour of the spectral function of a second-order self-adjoint differential equation, and on eigenfunction expansion" Izv. Akad. Nauk SSSR Ser. Mat. , 17 : 4 (1953) pp. 331–364 (In Russian) |
| [17b] | B.M. Levitan, "On the asymptotic behaviour of the spectral function of a second-order self-adjoint differential equation, and on eigenfunction expansion II" Izv. Akad. Nauk SSSR Ser. Mat. , 19 : 1 (1955) pp. 33–58 (In Russian) |
| [18] | J.S. de Wet, F. Mandl, "On the asymptotic distribution of eigenvalues" Proc. Roy. Soc. Ser. A , 200 (1950) pp. 572–580 |
| [19] | E. Titchmarsh, "On the uniqueness of the Green's function associated with a second-order differential equation" Canad. J. Math. , 1 (1949) pp. 191–198 |
| [20] | N. Levinson, "Criteria for the limit-point case for second order linear differential operators" Časopis Pěst Mat. Fys. , 74 (1949) pp. 17–20 |
| [21] | D. Sears, E. Titchmarsh, "Some eigenfunction formulae" Quart. J. Math. (Oxford Ser.) , 1 (1950) pp. 165–175 |
Comments
Eigenvalue problems of type (2) and the corresponding inverse problems (cf. Sturm–Liouville problem, inverse) play a major role in solving soliton equations, cf. Soliton, by the so-called "inverse-scattering methodinverse scattering method" . Cf. Korteweg–de Vries equation for a description of this method, and/or e.g. [a1]–[a5].
In the West one usually considers the boundary of
, and speaks of the limit point and limit circle cases.
References
| [a1] | P.D. Lax, "Integrals of nonlinear equations of evolution and solitary waves" Comm. Pure Appl. Math. , 21 (1968) pp. 467–490 |
| [a2] | V.E. Zakharov, A.B. Shabat, Soviet Phys. JETP (1972) pp. 62–69 |
| [a3] | R.M. Miura, "The Korteweg–de Vries equation: a survey of results" SIAM Review , 18 (1976) pp. 412–459 |
| [a4] | W. Eckhaus, A. van Harten, "The inverse scattering transformation and the theory of solitons" , North-Holland (1983) |
| [a5] | P.C. Schuur, "Asymptotic analysis of soliton problems" , Springer (1986) |
| [a6] | Yu.M. [Yu.M. Berezanskii] Berezanskiy, "Expansions in eigenfunctions of selfadjoint operators" , Amer. Math. Soc. (1968) (Translated from Russian) |
| [a7] | W.T. Reid, "Sturmian theory for ordinary differential equations" , Springer (1980) |
Sturm-Liouville problem. Encyclopedia of Mathematics. URL: http://encyclopediaofmath.org/index.php?title=Sturm-Liouville_problem&oldid=23057


































" Izv. Akad. Nauk SSSR Ser. Mat. , 16 : 4 (1952) pp. 293–324 (In Russian)