Repeated integral
An integral in which there is a successive integration with respect to different variables, i.e. an integral of the form
![]() | (1) |
The function
is defined on a set
lying in the direct product
of spaces
and
in which are given
-finite measures
and
and which have the completeness property; the set
(the "section" at "level"
of
) is measurable with respect to
, while the set
(the projection of
on
) is measurable with respect to
. The integration over
is performed with respect to
, and that over
with respect to
. The integral (1) is also denoted by
![]() |
Multiple integrals (cf. Multiple integral) can be reduced to repeated integrals.
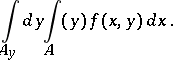
Let a function
, integrable with respect to the measure
on the set
, be extended by zero to a function on the entire space
. Then the repeated integrals
![]() |
and
![]() |
exist and are equal to each other:
![]() | (2) |
(see Fubini theorem). In the left-hand integral the outer integration is in fact performed over the set
. In particular, for points
the sets
are measurable with respect to
. In general, one cannot take this integral over the entire set
since, while the set A is measurable with respect to
, the set
may be non-measurable with respect to
, and similarly, the individual sets
,
, may be non-measurable with respect to
. On the other hand, the set
is always measurable with respect to
provided only that the set
is measurable with respect to
.
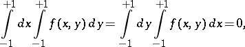
The above conditions for changing the order of integration in a repeated integral are only sufficient but not necessary; sometimes it is permissible to change the order of integration in a repeated integral while the corresponding multiple integral does not exist. For example, for the function
for
and
the repeated integrals are equal:
![]() |
while the multiple integral
![]() |
does not exist. However, if at least one of the integrals
![]() |
is finite, then the function
is integrable on the set
and relation (2) holds.
In the case where the inner integral is a Stieltjes integral and the outer one is a Lebesgue integral, the following theorem on changing the order of integration holds: Let a function
be summable with respect to
in
for all values of
in
and let it be a function of bounded variation with respect to
in
for almost-all values
. Also, suppose that the total variation of
with respect to the variable
in
for all given values of
does not exceed some non-negative summable function on
. Then the function
is a function of bounded variation with respect to the variable
in
and for any continuous function
on
one has the formula
![]() |
References
| [1] | V.A. Il'in, E.G. Poznyak, "Fundamentals of mathematical analysis" , 1–2 , MIR (1982) (Translated from Russian) |
| [2] | A.N. Kolmogorov, S.V. Fomin, "Elements of the theory of functions and functional analysis" , 1–2 , Graylock (1957–1961) (Translated from Russian) |
| [3] | L.D. Kudryavtsev, "A course in mathematical analysis" , 2 , Moscow (1981) (In Russian) |
| [4] | S.M. Nikol'skii, "A course of mathematical analysis" , 2 , MIR (1977) (Translated from Russian) |
| [5] | V.I. Smirnov, "A course of higher mathematics" , 5 , Addison-Wesley (1964) (Translated from Russian) |
Comments
Instead of "repeated integral" one also uses iterated integral (cf., e.g., [a1], [a2]).
References
| [a1] | E. Hewitt, K.R. Stromberg, "Real and abstract analysis" , Springer (1965) |
| [a2] | W. Rudin, "Real and complex analysis" , McGraw-Hill (1978) pp. 24 |
| [a3] | S. Saks, "Theory of the integral" , Hafner (1952) (Translated from French) |
| [a4] | T.M. Apostol, "Mathematical analysis" , Addison-Wesley (1974) |
| [a5] | P.R. Halmos, "Measure theory" , Springer (1974) |
| [a6] | A.C. Zaanen, "Integration" , North-Holland (1974) |
Repeated integral. Encyclopedia of Mathematics. URL: http://encyclopediaofmath.org/index.php?title=Repeated_integral&oldid=19219








