Normal form (for matrices)
The normal form of a matrix
is a matrix
of a pre-assigned special form obtained from
by means of transformations of a prescribed type. One distinguishes various normal forms, depending on the type of transformations in question, on the domain
to which the coefficients of
belong, on the form of
, and, finally, on the specific nature of the problem to be solved (for example, on the desirability of extending or not extending
on transition from
to
, on the necessity of determining
from
uniquely or with a certain amount of arbitrariness). Frequently, instead of "normal form" one uses the term "canonical form of a matrixcanonical form" . Among the classical normal forms are the following. (Henceforth
denotes the set of all matrices of
rows and
columns with coefficients in
.)
The Smith normal form.
Let
be either the ring of integers
or the ring
of polynomials in
with coefficients in a field
. A matrix
is called equivalent to a matrix
if there are invertible matrices
and
such that
. Here
is equivalent to
if and only if
can be obtained from
by a sequence of elementary row-and-column transformations, that is, transformations of the following three types: a) permutation of the rows (or columns); b) addition to one row (or column) of another row (or column) multiplied by an element of
; or c) multiplication of a row (or column) by an invertible element of
. For transformations of this kind the following propositions hold: Every matrix
is equivalent to a matrix
of the form
![]() |
where
for all
;
divides
for
; and if
, then all
are positive; if
, then the leading coefficients of all polynomials
are 1. This matrix is called the Smith normal form of
. The
are called the invariant factors of
and the number
is called its rank. The Smith normal form of
is uniquely determined and can be found as follows. The rank
of
is the order of the largest non-zero minor of
. Suppose that
; then among all minors of
of order
there is at least one non-zero. Let
,
, be the greatest common divisor of all non-zero minors of
of order
(normalized by the condition
for
and such that the leading coefficient of
is 1 for
), and let
. Then
,
. The invariant factors form a full set of invariants of the classes of equivalent matrices: Two matrices in
are equivalent if and only if their ranks and their invariant factors with equal indices are equal.
The invariant factors
split (in a unique manner, up to the order of the factors) into the product of powers of irreducible elements
of
(which are positive integers
when
, and polynomials of positive degree with leading coefficient 1 when
):
![]() |
where the
are non-negative integers. Every factor
for which
is called an elementary divisor of
(over
). Every elementary divisor of
occurs in the set
of all elementary divisors of
with multiplicity equal to the number of invariant factors having this divisor in their decompositions. In contrast to the invariant factors, the elementary divisors depend on the ring
over which
is considered: If
,
is an extension of
and
, then, in general, a matrix
has distinct elementary divisors (but the same invariant factors), depending on whether
is regarded as an element of
or of
. The invariant factors can be recovered from the complete collection of elementary divisors, and vice versa.
For a practical method of finding the Smith normal form see, for example, [1].
The main result on the Smith normal form was obtained for
(see [7]) and
(see [8]). With practically no changes, the theory of Smith normal forms goes over to the case when
is any principal ideal ring (see [3], [6]). The Smith normal form has important applications; for example, the structure theory of finitely-generated modules over principal ideal rings is based on it (see [3], [6]); in particular, this holds for the theory of finitely-generated Abelian groups and theory of the Jordan normal form (see below).
The natural normal form.
Let
be a field. Two square matrices
are called similar over
if there is a non-singular matrix
such that
. There is a close link between similarity and equivalence: Two matrices
are similar if and only if the matrices
and
, where
is the identity matrix, are equivalent. Thus, for the similarity of
and
it is necessary and sufficient that all invariant factors, or, what is the same, the collection of elementary divisors over
of
and
, are the same. For a practical method of finding a
for similar matrices
and
, see [1], [4].
The matrix
is called the characteristic matrix of
, and the invariant factors of
are called the similarity invariants of
; there are
of them, say
. The polynomial
is the determinant of
and is called the characteristic polynomial of
. Suppose that
and that for
the degree of
is greater than 1. Then
is similar over
to a block-diagonal matrix
of the form
![]() |
where
for a polynomial
![]() |
denotes the so-called companion matrix
![]() |
The matrix
is uniquely determined from
and is called the first natural normal form of
(see [1], [2]).
Now let
be the collection of all elementary divisors of
. Then
is similar over
to a block-diagonal matrix
(cf. Block-diagonal operator) whose blocks are the companion matrices of all elementary divisors
of
:
![]() |
The matrix
is determined from
only up to the order of the blocks along the main diagonal; it is called the second natural normal form of
(see [1], [2]), or its Frobenius, rational or quasi-natural normal form (see [4]). In contrast to the first, the second natural form changes, generally speaking, on transition from
to an extension.
The Jordan normal form.
Let
be a field, let
, and let
be the collection of all elementary divisors of
over
. Suppose that
has the property that the characteristic polynomial
of
splits in
into linear factors. (This is so, for example, if
is the field of complex numbers or, more generally, any algebraically closed field.) Then every one of the polynomials
has the form
for some
, and, accordingly,
has the form
. The matrix
in
of the form
![]() |
where
,
, is called the hypercompanion matrix of
(see [1]) or the Jordan block of order
with eigenvalue
. The following fundamental proposition holds: A matrix
is similar over
to a block-diagonal matrix
whose blocks are the hypercompanion matrices of all elementary divisors of
:
![]() |
The matrix
is determined only up to the order of the blocks along the main diagonal; it is a Jordan matrix and is called the Jordan normal form of
. If
does not have the property mentioned above, then
cannot be brought, over
, to the Jordan normal form (but it can over a finite extension of
). See [4] for information about the so-called generalized Jordan normal form, reduction to which is possible over any field
.
Apart from the various normal forms for arbitrary matrices, there are also special normal forms of special matrices. Classical examples are the normal forms of symmetric and skew-symmetric matrices. Let
be a field. Two matrices
are called congruent (see [1]) if there is a non-singular matrix
such that
. Normal forms under the congruence relation have been investigated most thoroughly for the classes of symmetric and skew-symmetric matrices. Suppose that
and that
is skew-symmetric, that is,
. Then
is congruent to a uniquely determined matrix
of the form
![]() |
which can be regarded as the normal form of
under congruence. If
is symmetric, that is,
, then it is congruent to a matrix
of the form
![]() |
where
for all
. The number
is the rank of
and is uniquely determined. The subsequent finer choice of the
depends on the properties of
. Thus, if
is algebraically closed, one may assume that
; if
is the field of real numbers, one may assume that
and
for a certain
.
is uniquely determined by these properties and can be regarded as the normal form of
under congruence. See [6], [10] and Quadratic form for information about the normal forms of symmetric matrices for a number of other fields, and also about Hermitian analogues of this theory.
A common feature in the theories of normal forms considered above (and also in others) is the fact that the admissible transformations over the relevant set of matrices are determined by the action of a certain group, so that the classes of matrices that can be carried into each other by means of these transformations are the orbits (cf. Orbit) of this group, and the appropriate normal form is the result of selecting in each orbit a certain canonical representative. Thus, the classes of equivalent matrices are the orbits of the group
(where
is the group of invertible square matrices of order
with coefficients in
), acting on
by the rule
, where
. The classes of similar matrices are the orbits of
on
acting by the rule
, where
. The classes of congruent symmetric or skew-symmetric matrices are the orbits of the group
on the set of all symmetric or skew-symmetric matrices of order
, acting by the rule
, where
. From this point of view every normal form is a specific example of the solution of part of the general problem of orbital decomposition for the action of a certain transformation group.
References
| [1] | M. Markus, "A survey of matrix theory and matrix inequalities" , Allyn & Bacon (1964) |
| [2] | P. Lancaster, "Theory of matrices" , Acad. Press (1969) |
| [3] | S. Lang, "Algebra" , Addison-Wesley (1974) |
| [4] | A.I. Mal'tsev, "Foundations of linear algebra" , Freeman (1963) (Translated from Russian) |
| [5] | N. Bourbaki, "Elements of mathematics. Algebra: Modules. Rings. Forms" , 2 , Addison-Wesley (1975) pp. Chapt.4;5;6 (Translated from French) |
| [6] | N. Bourbaki, "Elements of mathematics. Algebra: Algebraic structures. Linear algebra" , 1 , Addison-Wesley (1974) pp. Chapt.1;2 (Translated from French) |
| [7] | H.J.S. Smith, "On systems of linear indeterminate equations and congruences" , Collected Math. Papers , 1 , Chelsea, reprint (1979) pp. 367–409 |
| [8] | G. Frobenius, "Theorie der linearen Formen mit ganzen Coeffizienten" J. Reine Angew. Math. , 86 (1879) pp. 146–208 |
| [9] | F.R. [F.R. Gantmakher] Gantmacher, "The theory of matrices" , 1 , Chelsea, reprint (1977) (Translated from Russian) |
| [10] | J.-P. Serre, "A course in arithmetic" , Springer (1973) (Translated from French) |
Comments
The Smith canonical form and a canonical form related to the first natural normal form are of substantial importance in linear control and system theory [a1], [a2]. Here one studies systems of equations
,
,
, and the similarity relation is:
. A pair of matrices
,
is called completely controllable if the rank of the block matrix
![]() |
is
. Observe that
, so that a canonical form can be formed by selecting
independent column vectors from
. This can be done in many ways. The most common one is to test the columns of
for independence in the order in which they appear in
. This yields the following so-called Brunovskii–Luenberger canonical form or block companion canonical form for a completely-controllable pair
:
![]() |
![]() |
where
is a matrix of size
for certain
,
, of the form
![]() |
![]() |
and
for
is the
-th standard basis vector of
; the
with
have arbitrary coefficients
. Here the
's denote coefficients which can take any value. If
or
is zero, the block
is empty (does not occur). Instead of
any field can be used. The
are called controllability indices or Kronecker indices. They are invariants.
Canonical forms are often used in (numerical) computations. This must be done with caution, because they may not depend continuously on the parameters [a3]. For example, the Jordan canonical form is not continuous; an example of this is:
![]() |
![]() |
The matter of continuous canonical forms has much to do with moduli problems (cf. Moduli theory). Related is the matter of canonical forms for families of objects, e.g. canonical forms for holomorphic families of matrices under similarity [a4]. For a survey of moduli-type questions in linear control theory cf. [a5].
In the case of a controllable pair
with
, i.e.
is a vector
, the matrix
is cyclic, see also the section below on normal forms for operators. In this special case there is just one block
(and one vector
). This canonical form for a cyclic matrix with a cyclic vector is also called the Frobenius canonical form or the companion canonical form.
References
| [a1] | W.A. Wolovich, "Linear multivariable systems" , Springer (1974) |
| [a2] | J. Klamka, "Controllability of dynamical systems" , Kluwer (1990) |
| [a3] | S.H. Golub, J.H. Wilkinson, "Ill conditioned eigensystems and the computation of the Jordan canonical form" SIAM Rev. , 18 (1976) pp. 578–619 |
| [a4] | V.I. Arnol'd, "On matrices depending on parameters" Russ. Math. Surv. , 26 : 2 (1971) pp. 29–43 Uspekhi Mat. Nauk , 26 : 2 (1971) pp. 101–114 |
| [a5] | M. Hazewinkel, "(Fine) moduli spaces for linear systems: what are they and what are they good for" C.I. Byrnes (ed.) C.F. Martin (ed.) , Geometrical Methods for the Theory of Linear Systems , Reidel (1980) pp. 125–193 |
| [a6] | H.W. Turnball, A.C. Aitken, "An introduction to the theory of canonical matrices" , Blackie & Son (1932) |
A normal form of an operator is a representation, up to an isomorphism, of a self-adjoint operator
acting on a Hilbert space
as an orthogonal sum of multiplication operators by the independent variable.
To begin with, suppose that
is a cyclic operator; this means that there is an element
such that every element
has a unique representation in the form
, where
is a function for which
![]() |
here
,
, is the spectral resolution of
. Let
be the space of square-integrable functions on
with weight
, and let
be the multiplication operator by the independent variable, with domain of definition
![]() |
Then the operators
and
are isomorphic,
; that is, there exists an isomorphic and isometric mapping
such that
and
.
Suppose, next, that
is an arbitrary self-adjoint operator. Then
can be split into an orthogonal sum of subspaces
on each of which
induces a cyclic operator
, so that
,
and
. If the operator
is given on
, then
.
The operator
is called the normal form or canonical representation of
. The theorem on the canonical representation extends to the case of arbitrary normal operators (cf. Normal operator).
References
| [1] | A.I. Plesner, "Spectral theory of linear operators" , F. Ungar (1965) (Translated from Russian) |
| [2] | N.I. Akhiezer, I.M. Glazman, "Theory of linear operators in Hilbert spaces" , 1–2 , Pitman (1981) (Translated from Russian) |
V.I. Sobolev
The normal form of an operator
is a representation of
, acting on a Fock space constructed over a certain space
, where
is a measure space, in the form of a sum
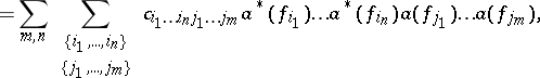
![]() | (1) |
![]() |
where
(
) are operator-valued generalized functions generating families of annihilation operators
and creation operators
:
![]() |
In each term of expression (1) all factors
,
, stand to the right of all factors
,
, and the (possibly generalized) functions
in the two sets of variables
,
,
are, in the case of a symmetric (Boson) Fock space, symmetric in the variables of each set separately, and, in the case of an anti-symmetric (Fermion) Fock space, anti-symmetric in these variables.
For any bounded operator
the normal form exists and is unique.
The representation (1) can be rewritten in a form containing the annihilation and creation operators directly:
![]() | (2) |
![]() |
where
is an orthonormal basis in
and the summation in (2) is over all pairs of finite collections
,
of elements of this basis.
In the case of an arbitrary (separable) Hilbert space
the normal form of an operator
acting on the Fock space
constructed over
is determined for a fixed basis
in
by means of the expression (2), where
,
,
, are families of annihilation and creation operators acting on
.
References
| [1] | F.A. Berezin, "The method of second quantization" , Acad. Press (1966) (Translated from Russian) (Revised (augmented) second edition: Kluwer, 1989) |
R.A. Minlos
Comments
References
| [a1] | N.N. [N.N. Bogolyubov] Bogolubov, A.A. Logunov, I.T. Todorov, "Introduction to axiomatic quantum field theory" , Benjamin (1975) (Translated from Russian) |
| [a2] | G. Källen, "Quantum electrodynamics" , Springer (1972) |
| [a3] | J. Glimm, A. Jaffe, "Quantum physics, a functional integral point of view" , Springer (1981) |
The normal form of a recursive function is a method for specifying an
-place recursive function
in the form
![]() | (*) |
where
is an
-place primitive recursive function,
is a
-place primitive recursive function and
is the result of applying the least-number operator to
. Kleene's normal form theorem asserts that there is a primitive recursive function
such that every recursive function
can be represented in the form (*) with a suitable function
depending on
; that is,
![]() |
![]() |
The normal form theorem is one of the most important results in the theory of recursive functions.
A.A. Markov [2] obtained a characterization of those functions
that can be used in the normal form theorem for the representation (*). A function
can be used as function whose existence is asserted in the normal form theorem if and only if the equation
has infinitely many solutions for each
. Such functions are called functions of great range.
References
| [1] | A.I. Mal'tsev, "Algorithms and recursive functions" , Wolters-Noordhoff (1970) (Translated from Russian) |
| [2] | A.A. Markov, "On the representation of recursive functions" Izv. Akad. Nauk SSSR Ser. Mat. , 13 : 5 (1949) pp. 417–424 (In Russian) |
V.E. Plisko
Comments
References
| [a1] | S.C. Kleene, "Introduction to metamathematics" , North-Holland (1951) pp. 288 |
A normal form of a system of differential equations
![]() | (1) |
near an invariant manifold
is a formal system
![]() | (2) |
that is obtained from (1) by an invertible formal change of coordinates
![]() | (3) |
in which the Taylor–Fourier series
contain only resonance terms. In a particular case, normal forms occurred first in the dissertation of H. Poincaré (see [1]). By means of a normal form (2) some systems (1) can be integrated, and many can be investigated for stability and can be integrated approximately; for systems (1) a search has been made for periodic solutions and families of conditionally periodic solutions, and their bifurcation has been studied.
Normal forms in a neighbourhood of a fixed point.
Suppose that
contains a fixed point
of the system (1) (that is,
), that the
are analytic at it and that
are the eigen values of the matrix
for
. Let
. Then in a full neighbourhood of
the system (1) has the following normal form (2): the matrix
has for
a normal form (for example, the Jordan normal form) and the Taylor series
![]() | (4) |
contain only resonance terms for which
![]() | (5) |
Here
,
,
. If equation (5) has no solutions
in
, then the normal form (2) is linear:
![]() |
Every system (1) with
can be reduced in a neighbourhood of a fixed point to its normal form (2) by some formal transformation (3), where the
are (possibly divergent) power series,
and
for
.
Generally speaking, the normalizing transformation (3) and the normal form (2) (that is, the coefficients
in (4)) are not uniquely determined by the original system (1). A normal form (2) preserves many properties of the system (1), such as being real, symmetric, Hamiltonian, etc. (see , [3]). If the original system contains small parameters, one can include them among the coordinates
, and then
. Such coordinates do not change under a normalizing transformation (see [3]).
If
is the number of linearly independent solutions
of equation (5), then by means of a transformation
![]() |
where the
are integers and
, the normal form (2) is carried to a system
![]() |
(see , [3]). The solution of this system reduces to a solution of the subsystem of the first
equations and to
quadratures. The subsystem has to be investigated in the neighbourhood of the multiple singular point
, because the
do not contain linear terms. This can be done by a local method (see [3]).
The following problem has been examined (see ): Under what conditions on the normal form (2) does the normalizing transformation of an analytic system (1) converge (be analytic)? Let
![]() |
for those
for which
![]() |
Condition
:
.
Condition
:
as
.
Condition
is weaker than
. Both are satisfied for almost-all
(relative to Lebesgue measure) and are very weak arithmetic restrictions on
.
In case
there is also condition
(for the general case, see in ): There exists a power series
such that in (4),
,
.
If for an analytic system (1)
satisfies condition
and the normal form (2) satisfies condition
, then there exists an analytic transformation of (1) to a certain normal form. If (2) is obtained from an analytic system and fails to satisfy either condition
or condition
, then there exists an analytic system (1) that has (2) as its normal form, and every transformation to a normal form diverges (is not analytic).
Thus, the problem raised above is solved for all normal forms except those for which
satisfies condition
, but not
, while the remaining coefficients of the normal form satisfy condition
. The latter is a very rigid restriction on the coefficients of a normal form, and for large
it holds, generally speaking, only in degenerate cases. That is, the basic reason for divergence of a transformation to normal form is not small denominators, but degeneracy of the normal form.
But even in cases of divergence of the normalizing transformation (3) with respect to (2), one can study properties of the solutions of the system (1). For example, a real system (1) has a smooth transformation to the normal form (2) even when it is not analytic. The majority of results on smooth normalization have been obtained under the condition that all
. Under this condition, with the help of a change
of finite smoothness class, a system (1) can be brought to a truncated normal form
![]() | (6) |
where the
are polynomials of degree
(see [4]–). If in the normalizing transformation (3) all terms of degree higher than
are discarded, the result is a transformation
![]() | (7) |
(the
are polynomials), that takes (1) to the form
![]() | (8) |
where the
are polynomials containing only resonance terms and the
are convergent power series containing only terms of degree higher than
. Solutions of the truncated normal form (6) are approximations for solutions of (8) and, after the transformation (7), give approximations of solutions of the original system (1). In many cases one succeeds in constructing for (6) a Lyapunov function (or Chetaev function)
such that
![]() |
where
and
are positive constants. Then
is a Lyapunov (Chetaev) function for the system (8); that is, the point
is stable (unstable). For example, if all
, one can take
,
and obtain Lyapunov's theorem on stability under linear approximation (see [7]; for other examples see the survey [8]).
From the normal form (2) one can find invariant analytic sets of the system (1). In what follows it is assumed for simplicity of exposition that
. From the normal form (2) one extracts the formal set
![]() |
where
is a free parameter. Condition
is satisfied on the set
. Let
be the union of subspaces of the form
such that the corresponding eigen values
,
,
, are pairwise commensurable. The formal set
is analytic in the system (1). From
one selects the subset
that is analytic in (1) if condition
holds (see [3]). On the sets
and
lie periodic solutions and families of conditionally-periodic solutions of (1). By considering the sets
and
in systems with small parameters, one can study all analytic perturbations and bifurcations of such solutions (see [9]).
Generalizations.
If a system (1) does not lead to a normal form (2) but to a system whose right-hand sides contain certain non-resonance terms, then the resulting simplification is less substantial, but can improve the quality of the transformation. Thus, the reduction to a "semi-normal form" is analytic under a weakened condition
(see ). Another version is a transformation that normalizes a system (1) only on certain submanifolds (for example, on certain coordinate subspaces; see ). A combination of these approaches makes it possible to prove for (1) the existence of invariant submanifolds and of solutions of specific form (see [9]).
Suppose that a system (1) is defined and analytic in a neighbourhood of an invariant manifold
of dimension
that is fibred into
-dimensional invariant tori. Then close to
one can introduce local coordinates
![]() |
![]() |
such that
on
,
is of period
,
ranges over a certain domain
, and (1) takes the form
![]() | (9) |
where
,
,
and
is a matrix. If
and
is triangular with constant main diagonal
, then (under a weak restriction on the small denominators) there is a formal transformation of the local coordinates
that takes the system (9) to the normal form
![]() | (10) |
where
,
,
, and
.
If among the coordinates
there is a small parameter, (9) can be averaged by the Krylov–Bogolyubov method of averaging (see [10]), and the averaged system is a normal form. More generally, perturbation theory can be regarded as a special case of the theory of normal forms, when one of the coordinates is a small parameter (see [11]).
Theorems on the convergence of a normalizing change, on the existence of analytic invariant sets, etc., carry over to the systems (9) and (10). Here the best studied case is when
is a periodic solution, that is,
,
. In this case the theory of normal forms is in many respects identical with the case when
is a fixed point. Poincaré suggested that one should consider a pointwise mapping of a normal section across the periods. In this context arose a theory of normal forms of pointwise mappings, which is parallel to the corresponding theory for systems (1). For other generalizations of normal forms see [3], , [12]–[14].
References
| [1] | H. Poincaré, "Thèse, 1928" , Oeuvres , 1 , Gauthier-Villars (1951) pp. IL-CXXXII |
| [2a] | A.D. [A.D. Bryuno] Bruno, "Analytical form of differential equations" Trans. Moscow Math. Soc. , 25 (1971) pp. 131–288 Trudy Moskov. Mat. Obshch. , 25 (1971) pp. 119–262 |
| [2b] | A.D. [A.D. Bryuno] Bruno, "Analytical form of differential equations" Trans. Moscow Math. Soc. (1972) pp. 199–239 Trudy Moskov. Mat. Obshch. , 26 (1972) pp. 199–239 |
| [3] | A.D. Bryuno, "Local methods in nonlinear differential equations" , 1 , Springer (1989) (Translated from Russian) |
| [4] | P. Hartman, "Ordinary differential equations" , Birkhäuser (1982) |
| [5a] | V.S. Samovol, "Linearization of a system of differential equations in the neighbourhood of a singular point" Soviet Math. Dokl. , 13 (1972) pp. 1255–1259 Dokl. Akad. Nauk SSSR , 206 (1972) pp. 545–548 |
| [5b] | V.S. Samovol, "Equivalence of systems of differential equations in the neighbourhood of a singular point" Trans. Moscow Math. Soc. (2) , 44 (1982) pp. 217–237 Trudy Moskov. Mat. Obshch. , 44 (1982) pp. 213–234 |
| [6a] | G.R. Belitskii, "Equivalence and normal forms of germs of smooth mappings" Russian Math. Surveys , 33 : 1 (1978) pp. 95–155 Uspekhi Mat. Nauk. , 33 : 1 (1978) |
| [6b] | G.R. Belitskii, "Normal forms relative to a filtering action of a group" Trans. Moscow Math. Soc. , 40 (1979) pp. 3–46 Trudy Moskov. Mat. Obshch. , 40 (1979) pp. 3–46 |
| [6c] | G.R. Belitskii, "Smooth equivalence of germs of vector fields with a single zero eigenvalue or a pair of purely imaginary eigenvalues" Funct. Anal. Appl. , 20 : 4 (1986) pp. 253–259 Funkts. Anal. i Prilozen. , 20 : 4 (1986) pp. 1–8 |
| [7] | A.M. [A.M. Lyapunov] Liapunoff, "Problème général de la stabilité du mouvement" , Princeton Univ. Press (1947) (Translated from Russian) |
| [8] | A.L. Kunitsyn, A.P. Markev, "Stability in resonant cases" Itogi Nauk. i Tekhn. Ser. Obsh. Mekh. , 4 (1979) pp. 58–139 (In Russian) |
| [9] | J.N. Bibikov, "Local theory of nonlinear analytic ordinary differential equations" , Springer (1979) |
| [10] | N.N. Bogolyubov, Yu.A. Mitropol'skii, "Asymptotic methods in the theory of non-linear oscillations" , Hindushtan Publ. Comp. , Delhi (1961) (Translated from Russian) |
| [11] | A.D. [A.D. Bryuno] Bruno, "Normal form in perturbation theory" , Proc. VIII Internat. Conf. Nonlinear Oscillations, Prague, 1978 , 1 , Academia (1979) pp. 177–182 (In Russian) |
| [12] | V.V. Kostin, Le Dinh Thuy, "Some tests of the convergence of a normalizing transformation" Dapovidi Akad. Nauk URSR Ser. A : 11 (1975) pp. 982–985 (In Russian) |
| [13] | E.J. Zehnder, "C.L. Siegel's linearization theorem in infinite dimensions" Manuscr. Math. , 23 (1978) pp. 363–371 |
| [14] | N.V. Nikolenko, "The method of Poincaré normal forms in problems of integrability of equations of evolution type" Russian Math. Surveys , 41 : 5 (1986) pp. 63–114 Uspekhi Mat. Nauk , 41 : 5 (1986) pp. 109–152 |
A.D. Bryuno
Comments
For more on various linearization theorems for ordinary differential equations and canonical form theorems for ordinary differential equations, as well as generalizations to the case of non-linear representations of nilpotent Lie algebras, cf. also Poincaré–Dulac theorem and Analytic theory of differential equations, and [a1].
References
| [a1] | V.I. Arnol'd, "Geometrical methods in the theory of ordinary differential equations" , Springer (1983) (Translated from Russian) |
Normal form (for matrices). Encyclopedia of Mathematics. URL: http://encyclopediaofmath.org/index.php?title=Normal_form_(for_matrices)&oldid=18780













































