Namespaces
Variants
Actions

Fejér-Riesz theorem

From Encyclopedia of Mathematics
Revision as of 17:22, 7 February 2011 by 127.0.0.1 (talk) (Importing text file)
(diff) ← Older revision | Latest revision (diff) | Newer revision → (diff)
Jump to: navigation, search

A trigonometric polynomial is an expression in one of the equivalent forms or . When the values of a trigonometric polynomial are real for all real , the coefficients , in the first form are necessarily real, and those in the second form satisfy for all indices . L. Fejér [a2] was the first to note the importance of the class of trigonometric polynomials that assume only non-negative real values. His conjecture on the form of such a function was proved by F. Riesz, and is nowadays known as the Fejér–Riesz theorem: A trigonometric polynomial that assumes only non-negative real values for all real is expressible in the form

for some polynomial . The polynomial can be chosen to have no roots in , and then it is unique except for a multiplicative constant of modulus one.

The proof is based on the observation that satisfies as a function of the complex variable . If , then is a polynomial of degree with . The roots of of modulus occur in pairs having equal multiplicity. Roots of unit modulus have even multiplicity. It follows that , where have modulus and is a positive constant. The desired representation is obtained with . See [a3] for a variation of this method and an application in spectral theory.

A generalization of the Fejér–Riesz theorem plays an important role in the theory of orthogonal polynomials.

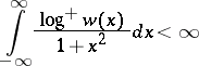
Szegő's theorem: Let be a non-negative function which is integrable with respect to the normalized Lebesgue measure on the unit circle . If

then

where is the boundary function of an outer function on of Hardy class (cf. also Hardy classes). Such a function is unique up to a multiplicative constant of modulus one.

The asymptotic properties of the polynomials which are orthogonal with respect to such a weight function have been described in terms of the function (G. Szegő, [a6], Chapt. 12). Here, the term outer means that the set of functions of the form , where is a polynomial, is dense in . The log-integrability hypothesis is automatically satisfied when is a trigonometric polynomial, and then the outer function is the polynomial in the Fejér–Riesz theorem.

The Fejér–Riesz and Szegő theorems are prototypes for two kinds of hypotheses which assure the existence of similar representations of non-negative functions. One type stipulates algebraic or analytical structure, the other that the given function is not too small. Non-negativity on the unit circle is often replaced by non-negativity on the real line. For example, the Akhiezer theorem states that an entire function of exponential type that is non-negative on the real axis and satisfies

can be written as for real, where is an entire function of exponential type which has no zeros in the open upper half-plane (see [a1]).

Related problems arise in linear prediction theory, but there the functions to be factored are operator valued. Such problems date back to the 1940{}s and 1950{}s (see [a7], [a8], [a5], [a9], [a10]). In this context, the term spectral factorization is used to describe the representation of non-negative operator-valued functions. Operator extensions of the Fejér–Riesz theorem were proved in special cases by several authors, the final form being that given by M. Rosenblum (operator version of the Fejér–Riesz theorem): Let be a trigonometric polynomial whose coefficients are operators on a Hilbert space and which assumes non-negative selfadjoint values for all real . Then

for some outer polynomial whose coefficients are operators on .

Here, the term outer is relative to the Hardy class of functions with values in : the meaning is that the set of functions , where is a polynomial with coefficients in , is dense in a subspace of of the form for some subspace of .

Analogous theorems hold for operator-valued functions satisfying Szegő-type hypotheses and for polynomials, rational functions, and entire functions of exponential type. However, the techniques used to prove the representation theorems in the scalar case are usually not applicable in the operator extensions. For example, the fundamental theorem of algebra (cf. Complex number), which is used in the proof of the Fejér–Riesz theorem, has no counterpart for operator-valued polynomials. A method due to D. Lowdenslager allows a unified approach to the operator extensions. Many results based on the method, including a proof of the operator Fejér–Riesz theorem, may be found in [a4].

References

[a1] R P. Boas, "Entire functions" , Acad. Press (1954)
[a2] L. Fejér, "Über trigonometrische Polynome" J. Reine Angew. Math. , 146 (1916) pp. 53–82
[a3] F. Riesz, B. Sz.-Nagy, "Functional analysis" , F. Ungar (1955)
[a4] M. Rosenblum, J. Rovnyak, "Hardy classes and operator theory" , Dover, reprint (1997)
[a5] Yu.A. Rozanov, "Spectral theory of -dimensional stationary stochastic processes with discrete time" Selected Transl. in Math. Statistics and Probab. , 1 (1961) pp. 253–306 Uspekhi Mat. Nauk , 13 : 2 (80) (1958) pp. 93–142
[a6] G. Szegő, "Orthogonal polynomials" , Colloq. Publ. , 23 , Amer. Math. Soc. (1975) (Edition: Fourth)
[a7] H. Helson, D. Lowdenslager, "Prediction theory and Fourier series in several variables I" Acta Math. , 99 (1958) pp. 165–202
[a8] H. Helson, D. Lowdenslager, "Prediction theory and Fourier series in several variables II" Acta Math. , 106 (1961) pp. 175–213
[a9] N. Wiener, P. Masani, "The prediction theory of multivariate stochastic processes I" Acta Math. , 98 (1957) pp. 111–150
[a10] N. Wiener, P. Masani, "The prediction theory of multivariate stochastic processes II" Acta Math. , 99 (1958) pp. 93–137
How to Cite This Entry:
Fejér-Riesz theorem. Encyclopedia of Mathematics. URL: http://encyclopediaofmath.org/index.php?title=Fej%C3%A9r-Riesz_theorem&oldid=17744
This article was adapted from an original article by J. Rovnyak (originator), which appeared in Encyclopedia of Mathematics - ISBN 1402006098. See original article