Namespaces
Variants
Actions

H^infinity-control-theory

From Encyclopedia of Mathematics
Revision as of 17:11, 7 February 2011 by 127.0.0.1 (talk) (Importing text file)
(diff) ← Older revision | Latest revision (diff) | Newer revision → (diff)
Jump to: navigation, search

A branch of control theory where the performance of a dynamical system (cf. Automatic control theory) is appraised in terms of the -norm. The Banach space (named after G.H. Hardy, cf. Hardy classes) consists of all complex-valued functions of a complex variable which are analytic and of bounded modulus in the open right half-plane. The norm of such a function is the supremum modulus:

By a theorem of Fatou (cf. Fatou theorem), such a function has a boundary value for almost-all , and, moreover,

The theory of control was initiated by G. Zames [a1], [a2], [a3], who formulated a basic feedback problem as an optimization problem with an operator norm, in particular, an -norm. Relevant contemporaneous works are those of J.W. Helton [a4] and A. Tannenbaum [a5].

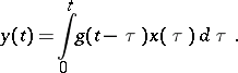
The theory treats dynamical systems represented as integral operators of the form

Here is sufficiently regular to make the input-output mapping a bounded operator on . Taking Laplace transforms gives . The function is called the transfer function of the system and it belongs to because the integral operator is bounded. Moreover, the -norm of equals the norm of the integral operator, i.e.,

(a1)

There are two prototype problems giving rise to an optimality criterion with the -norm. The first is the problem of robust stability of the feedback system

Figure: h046020a

Here and are transfer functions in , and , , , are Laplace transforms of signals; represents a "plant" , the dynamical system which is to be controlled, and represents the "controller" (cf. also Automatic control theory). The figure stands for the two equations

which can be solved to give

Therefore, the input-output mapping for the feedback system has four transfer functions. The feedback system is said to be internally stable if these four transfer functions are all in . A simple sufficient condition for this is .

Internal stability is robust if it is preserved under perturbation of . There are several possible notions of perturbation, typical of which is additive perturbation. So suppose is perturbed to , with in . About it is assumed that only a bound on is known, namely,

where . J.C. Doyle and G. Stein [a6] showed that internal stability is preserved under all such perturbations if and only if

(a2)

This leads to the robust stability design problem: Given and , find so that the feedback system is internally stable and (a2) holds.

The second problem relates to the same feedback system. Suppose , represents a disturbance signal, and the objective is to reduce the effect of on the output . The transfer function from to equals . Suppose, in addition, that the disturbance is not a fixed signal, but can be the output of another system with any input in of unit norm; let this latter system have transfer function in . Then, in view of (a1), the supremal -norm of over all such disturbances equals . This leads to the disturbance attenuation problem: Given and , find to achieve internal stability and minimize .

The above two problems are special cases of the more general standard control problem. It can be solved by reduction to the Nehari problem of approximating a function in (bounded functions on the imaginary axis) by one in . A summary of this theory is in [a7], and a detailed treatment is in [a8].

References

[a1] G. Zames, "Feedback and complexity, Special plenary lecture addendum" , IEEE Conf. Decision Control , IEEE (1976)
[a2] G. Zames, "Optimal sensitivity and feedback: weighted seminorms, approximate inverses, and plant invariant schemes" , Proc. Allerton Conf. , IEEE (1979)
[a3] G. Zames, "Feedback and optimal sensitivity: model reference transformations, multiplicative seminorms, and approximate inverses" IEEE Trans. Auto. Control , AC-26 (1981) pp. 301–320
[a4] J.W. Helton, "Operator theory and broadband matching" , Proc. Allerton Conf. , IEEE (1979)
[a5] A. Tannenbaum, "On the blending problem and parameter uncertainty in control theory" Techn. Report Dept. Math. Weizmann Institute (1977)
[a6] J.C. Doyle, G. Stein, "Multivariable feedback design: concepts for a classical modern synthesis" IEEE Trans. Auto. Control , AC-26 (1981) pp. 4–16
[a7] B.A. Francis, J.C. Doyle, "Linear control theory with an optimality criterion" SIAM J. Control and Opt. , 25 (1987) pp. 815–844
[a8] B.A. Francis, "A course in control theory" , Lect. notes in control and inform. science , 88 , Springer (1987)
How to Cite This Entry:
H^infinity-control-theory. Encyclopedia of Mathematics. URL: http://encyclopediaofmath.org/index.php?title=H%5Einfinity-control-theory&oldid=15222