Retarded potentials, method of
Duhamel principle
A method for determining the solution to the homogeneous Cauchy problem for a (system of) inhomogeneous linear partial differential equation(s) in terms of the known solution to the homogeneous equation or system.
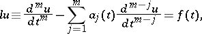
Consider the equation
![]() | (1) |
where
is an arbitrary linear differential operator involving no derivatives with respect to
of order higher than
. A particular solution
of equation (1) (
) is looked for as a Duhamel integral:
![]() | (2) |
where
is a (regular or generalized) solution of the homogeneous equation
![]() |
If
![]() |
then the function (2) obtained by superposition of the impulses
is a solution to the Cauchy problem
![]() | (3) |
for the inhomogeneous equation (1).
In the case of a system of ordinary differential equations, the method of retarded potentials is known as the method of variation of constants or the method of impulses. For ordinary linear differential equations of order
,
![]() | (4) |
the method proceeds as follows: if
is any fundamental system of solutions to the equation
, then a solution
to the inhomogeneous equation (4) is sought for in the form
![]() |
The functions
,
, are uniquely defined as the set of solutions to the system of algebraic equations
![]() |
![]() |
with non-vanishing Wronskian.
If
for
, the solution
of the homogeneous Cauchy problem (3) for equation (4) is usually called a normal reaction to the external load
. The function
can be expressed as a convolution or Duhamel integral:
![]() |
where
for
and
![]() |
Let
,
, be a function with continuous partial derivatives of order up to
(if
is odd) or
(if
is even), and let
be the mean value of
on the sphere
with centre
and radius
. The function
![]() |
![]() |
which depends on the non-negative parameter
, is a solution to the wave equation
![]() |
satisfying the initial conditions
![]() |
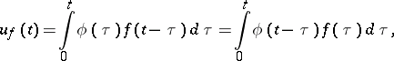
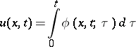
The Duhamel integral
![]() | (5) |
is a solution to the homogeneous Cauchy problem
,
for the equation
. If
or
, (5) implies
![]() |
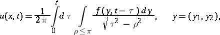
or
![]() | (6) |
where
.
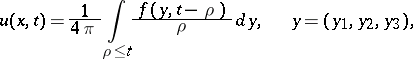
On the other hand, if
, then
![]() |
The integral in (6) is known as a retarded potential with density
.
The method of retarded potentials (method of variation of parameters) is particularly simple and useful when applied to first-order linear systems of differential equations of the type
![]() | (7) |
where
is a
-dimensional vector,
and
are given
-matrices and
is a given vector.
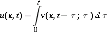
Suppose that the vector
, depending on a parameter
, is a solution to the Cauchy problem
![]() |
for the homogeneous system
. Then the vector
![]() | (8) |
is a solution to the inhomogeneous system (7) with initial condition
![]() | (9) |
The function
corresponding to the inhomogeneous heat equation
![]() | (10) |
has the form
![]() | (11) |
where
is the Euclidean space. The solution
of equation (10) with initial condition (9) is given by a Duhamel integral (3), with the function (11) as integrand.
The method of retarded potentials is also used to investigate mixed problems for partial differential equations of parabolic and hyperbolic types; it enables one to reduce the general problem to problems involving special initial and boundary functions.
For example, in the domain
, consider the partial differential equation
![]() | (12) |
where
,
,
![]() |
![]() |
which is hyperbolic if
and parabolic if
. If
is a continuous solution, differentiable at
, of the mixed problem
![]() |
![]() |
for equation (12) in
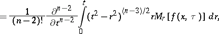
, then, according to the method of retarded potentials, the Duhamel integral
![]() | (13) |
with continuously-differentiable density
, is a solution to the mixed problem
![]() |
![]() |
for equation (12) in
.
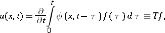
Essentially, the Duhamel integral (13) is a formula representing a linear operator
which, given the boundary function
, produces the solution
. Duhamel's integral formula is valid not only for the operator
of (13), but also for all linear operators
satisfying the following conditions:
1)
is defined for all functions
vanishing for
, and maps
to a function
which also vanishes for
.
2)
![]() |
where
is some function of
and the parameter
.
3) If
and
is differentiable, then
![]() |
4) If
, then for all
,
![]() |
References
| [1] | A.V. Bitsadze, "Equations of mathematical physics" , MIR (1980) (Translated from Russian) |
| [2] | L. Bers, F. John, M. Schechter, "Partial differential equations" , Interscience (1964) |
| [3] | V.S. Vladimirov, "Equations of mathematical physics" , MIR (1984) (Translated from Russian) |
| [4] | R. Courant, D. Hilbert, "Methods of mathematical physics. Partial differential equations" , 2 , Interscience (1965) (Translated from German) |
| [5] | L.S. Pontryagin, "Ordinary differential equations" , Addison-Wesley (1962) (Translated from Russian) |
| [6] | A.N. Tikhonov, A.A. Samarskii, "Equations of mathematical physics" , Pergamon (1963) (Translated from Russian) |
Retarded potentials, method of. Encyclopedia of Mathematics. URL: http://encyclopediaofmath.org/index.php?title=Retarded_potentials,_method_of&oldid=14690



































