Ornstein-Uhlenbeck process
A Gaussian stationary random process
with zero expectation and an exponentially damped correlation function of the form
![]() |
An Ornstein–Uhlenbeck process can also be defined as a stationary solution of the stochastic equation (Langevin equation):
![]() | (*) |
where
is a Wiener process (i.e. a process for which
is a white noise process), while
and
are positive constants with
.
Equation (*) approximately describes a one-dimensional Brownian motion of a free particle in a fluid;
is here interpreted as the velocity of the particle,
is its mass,
is the force of "viscous friction" proportional to the velocity (for a spherical particle of radius
, the coefficient
is equal to
, where
is the fluid's viscosity, by virtue of Stokes' fluid hydrodynamic law), while the white noise
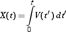
is a "random force" , which is generated by chaotic shocks from the fluid molecules in thermal motion, and is the basic cause of the Brownian motion. In the original theory of Brownian motion, developed by A. Einstein and M.V. Smoluchowski in 1905–1906, the inertia of the particle was disregarded, i.e.
was taken to be equal to 0; equation (*) then led to the conclusion that the coordinate of a Brownian particle
![]() |
is equal to
, i.e. is a Wiener process. The Wiener process thus describes the Einstein–Smoluchowski model of Brownian motion (hence its other name — Brownian motion process); since this process is non-differentiable, a Brownian particle in the Einstein–Smoluchowski theory does not have a finite velocity. The refined Brownian motion theory, which relies on equation (*) where
, was proposed by L.S. Ornstein and G.E. Uhlenbeck ([1]; see also [2]); the same theory was subsequently put forward also by S.N. Bernshtein [3] and A.N. Kolmogorov [4]. In the Ornstein–Uhlenbeck theory, the velocity
of the Brownian particle is finite, but its acceleration is infinite (since the Ornstein–Uhlenbeck process is non-differentiable); for the acceleration to be finite, the theory must be further refined by taking into account the fact that a random force differs from an idealized white noise process
.
Equation (*) can also be used to describe the one-dimensional Brownian motion of a harmonic oscillator, if its mass is disregarded, where now
is interpreted as the coordinate of the oscillator,
is the force of viscous friction,
is a regular elastic force which forces the oscillator back to its equilibrium position, while
is a random force which can be created by molecular shocks. In this way, the Ornstein–Uhlenbeck process also provides a model of the fluctuations for a harmonic oscillator performing a Brownian motion, analogous to the Einstein–Smoluchowski model of the Brownian motion of a free particle.
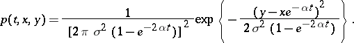
The Ornstein–Uhlenbeck process is a diffusion-type Markov process, homogeneous with respect to time (see Diffusion process); on the other hand, a process
which is at the same time a stationary random process, a Gaussian process and a Markov process, is necessarily an Ornstein–Uhlenbeck process. As a Markov process, the Ornstein–Uhlenbeck process can conveniently be characterized by its transition probability density
, which is a fundamental solution of the corresponding Fokker–Planck equation (i.e. the forward Kolmogorov equation) of the form
![]() |
and which, consequently, is given by the formula
![]() |
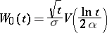
Many properties of the Ornstein–Uhlenbeck process
(including its Markov property) can be deduced from known properties of a Wiener process, using the fact that the process
![]() |
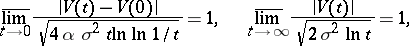
is a standard Wiener process (see [5]). It therefore follows, in particular, that the realizations of an Ornstein–Uhlenbeck process are continuous and nowhere differentiable with probability 1, and that
![]() |
with probability 1.
References
| [1] | G.E. Uhlenbeck, L.S. Ornstein, "On the theory of Brownian motion" Phys. Rev. , 36 (1930) pp. 823–841 |
| [2] | S. Chandrasekhar, "Stochastic problems in physics and astronomy" Rev. Modern Phys. , 15 (1943) pp. 1–89 |
| [3] | S.N. Bernshtein, "Sur les chaînes linéaires de Markov quasi-continues" Dokl. Akad. Nauk. SSSR , 1 : 1 (1934) pp. 4–9 |
| [4] | A.N. Kolmogorov, "Zufällige Bewegungen (zur Theorie der Brownschen Bewegung)" Ann. of Math. , 35 (1934) pp. 116–117 |
| [5] | J.L. Doob, "The Brownian movement and stochastic equations" Ann. of Math. , 43 (1942) pp. 351–369 |
Comments
References [1], [2], [3] above are reprinted in [a1]. The characterization of the Ornstein–Uhlenbeck process as the only stationary Gaussian Markov process is somewhat inaccurate. A precise statement, sometimes known as Doob's theorem, is the following [5]. A stationary, Gaussian Markov process
with mean
and variance
is one of the following types:
a) if
, then
are mutually-independent Gaussian random variables, with mean
and variance
;
b) there exists a constant
such that if
, then
have an
-variate Gaussian distribution, with common mean
and variance
, and correlation function
.
For a generalization to the
-dimensional case see the paper by M.C. Wang and G.E. Uhlenbeck, reprinted in [a1]. For a characterization of a Gaussian Markov process which is not necessarily stationary, see [a2]. The relation to the Wiener process is also discussed in [a3].
Let
be any Gaussian measure on a (possibly infinite-dimensional) locally convex space
. Then one can define a Markov semi-group on
using Mehler's formula
![]() |
denoting a continuous bounded function on
. This semi-group admits the measure
as a symmetric invariant measure, and in the finite-dimensional case it reduces to an Ornstein–Uhlenbeck semi-group of the kind described in the main article above. Since there is no Lebesgue measure in infinite-dimensional situations (it is often replaced by a Gaussian measure), the Ornstein–Uhlenbeck semi-group, and its generator as an infinite-dimensional "Laplacian" , have recently played a considerable role in infinite-dimensional analysis. See [a4], [a5]. For other extensions of the Ornstein–Uhlenbeck process to infinite-dimensional situations, see [a6], [a8]–[a10]. For historical and physical background see [a7]. See also Langevin equation.
References
| [a1] | N. Wax (ed.) , Selected papers on noise and stochastic processes , Dover, reprint (1954) |
| [a2] | R. Iranpour, P. Chacon, "Basic stochastic processes" , The Marc Kac lectures , Macmillan (1988) |
| [a3] | D.R. Cox, H.D. Miller, "The theory of stochastic processes" , Methuen (1965) |
| [a4] | P. Malliavin, "Stochastic calculus of variations and hypoelliptic operators" K. Itô (ed.) , Proc. Internat. Conf. Stochastic Differential Equations (Kyoto, 1976) , Wiley (1978) pp. 195–263 |
| [a5] | D.W. Stroock, "The Malliavin calculus, a functional analytic approach" J. Funct. Anal. , 44 (1981) pp. 212–257 |
| [a6] | B. Schmuland, "Regularity of -valued Ornstein–Uhlenbeck processes" C.R. Math. Acad. Sci. Soc. R. Canada , 10 (1988) pp. 119–124 |
| [a7] | E. Nelson, "Dynamical theories of Brownian motion" , Princeton Univ. Press (1967) |
| [a8] | M. Röckner, "Traces of harmonic functions and a new path space for the free quantum field" J. Funct. Anal. , 79 (1988) pp. 211–249 |
| [a9] | T. Kolsrud, "Gaussian random fields, infinite dimensional Ornstein–Uhlenbeck processes, and symmetric Markov processes" Acta Appl. Math. , 12 (1988) pp. 237–263 |
| [a10] | P.A. Meyer, "Transformations de Riesz pour les lois Gaussiennes" J. Azéma (ed.) M. Yor (ed.) , Sem. Probab. XVIII , Lect. notes in math. , 1059 , Springer (1984) pp. 179–193 |
| [a11] | L.C.G. Rogers, D. Williams, "Diffusion, Markov processes and martingales" , I-II , Wiley (1987) |
| [a12] | I. Karatzas, S.E. Shreve, "Brownian motion and stochastic calculus" , Springer (1988) |
Ornstein-Uhlenbeck process. Encyclopedia of Mathematics. URL: http://encyclopediaofmath.org/index.php?title=Ornstein-Uhlenbeck_process&oldid=14063








-valued Ornstein–Uhlenbeck processes" C.R. Math. Acad. Sci. Soc. R. Canada , 10 (1988) pp. 119–124