Elliptic cylinder
From Encyclopedia of Mathematics
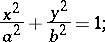
A cylindrical surface of the second order having an ellipse as directrix. If this ellipse is real, then the surface is called real and its canonical equation has the form
![]() |
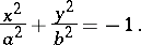
if the ellipse is imaginary, then the surface is called imaginary and its canonical equation has the form
![]() |
How to Cite This Entry:
Elliptic cylinder. Encyclopedia of Mathematics. URL: http://encyclopediaofmath.org/index.php?title=Elliptic_cylinder&oldid=13326
Elliptic cylinder. Encyclopedia of Mathematics. URL: http://encyclopediaofmath.org/index.php?title=Elliptic_cylinder&oldid=13326
This article was adapted from an original article by A.B. Ivanov (originator), which appeared in Encyclopedia of Mathematics - ISBN 1402006098. See original article

