Sum function of a function
The function of
that denotes the sum of the values
of the function
on the set of natural numbers
,
. Sum functions are one of the basic means of expressing various properties of sequences of numbers.
Examples of sum functions: the number of prime numbers
;
— the Chebyshev function; the number of divisors of all
, etc. (see [1], [2]).
The basic problem is to find as accurate as possible an expression of the sum function, and for a sum function which does not have asymptotics, to find the best estimate of its modulus for large values of
.
The Cauchy integral theorem and Dirichlet series of the form
![]() |
form the basis of the analytic methods of studying sum functions. If such a series converges absolutely for
, then for a non-integer
, and
, the identity
![]() |
holds; a corresponding estimate of the sum function of
is obtained from this by analytic continuation of
by shifting the integration path to the left to a certain
and estimating the integral along the new path. If
, for example, the integration can be shifted to
, which gives the Riemann–von Mangoldt formula for
. Of the common applications of the method, the following theorem is known.
Assumptions:
,
are complex numbers,
,
,
are real numbers,
,
are positive numbers,
and
are integers
,
is the gamma-function, and
.
1) For any
,
;
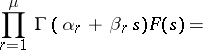
2) the function
![]() |
defined for
,
, is meromorphic in the whole plane, and has a finite number of poles in the strip
;
3) the series
converges absolutely when
;
4) for
,
![]() |
![]() |
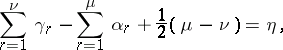
5)
;
6) if one assumes that
![]() |
then
.
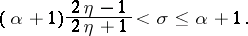
For a fixed strip
there is a constant
such that for
and large
the estimate
holds.
Conclusion.
For any
,
![]() |
where
is the sum of the residues of the function
over all its poles in the strip
![]() |
References
| [1] | E.C. Titchmarsh, "The theory of the Riemann zeta-function" , Clarendon Press (1951) |
| [2] | L.-K. Hua, "Abschätzungen von Exponentialsummen und ihre Anwendung in der Zahlentheorie" , Enzyklopaedie der Mathematischen Wissenschaften mit Einschluss ihrer Anwendungen , 1 : 2 (1959) (Heft 13, Teil 1) |
Comments
The Riemann–von Mangoldt formula, or von Mangoldt formula, for
,
, is
![]() |
This is von Mangoldt's reformulation of Riemann's main formula
![]() |
where
, the
-function is
![]() |
and
is the logarithmic integral
![]() |
References
| [a1] | H.M. Edwards, "Riemann's zeta function" , Acad. Press (1974) pp. Chapt. 3 |
Sum function of a function. Encyclopedia of Mathematics. URL: http://encyclopediaofmath.org/index.php?title=Sum_function_of_a_function&oldid=13296











