Leray formula
Cauchy–Fantappié formula
A formula for the integral representation of holomorphic functions
of several complex variables
,
, which generalizes the Cauchy integral formula (see Cauchy integral).
Let
be a finite domain in the complex space
with piecewise-smooth boundary
and let
be a smooth vector-valued function of
with values in
such that the scalar product
![]() |
everywhere on
for all
. Then any function
holomorphic in
and continuous in the closed domain
can be represented in the form
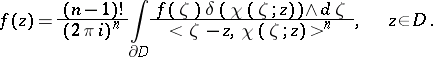
![]() | (*) |
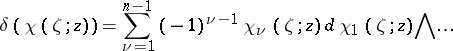
Formula (*) generalizes Cauchy's classical integral formula for analytic functions of one complex variable and is called the Leray formula. J. Leray, who obtained this formula (see [1]), called it the Cauchy–Fantappié formula. In this formula the differential forms
and
are constituted according to the laws:
![]() |
![]() |
and
![]() |
where
is the sign of exterior multiplication (see Exterior product). By varying the form of the function
it is possible to obtain various integral representations from formula (*). One should bear in mind that, generally speaking, the Leray integral in (*) is not identically zero when
is outside
.
See also Bochner–Martinelli representation formula.
References
| [1] | J. Leray, "Le calcul différentielle et intégrale sur une variété analytique complexe" Bull. Soc. Math. France , 87 (1959) pp. 81–180 |
| [2] | B.V. Shabat, "Introduction of complex analysis" , 2 , Moscow (1976) (In Russian) |
Comments
Often the Leray formula is understood to be a more general representation formula, valid for arbitrary sufficiently smooth (e.g.,
) functions on a domain
in
. Let
,
and
be as defined above,
. Furthermore, define for
,
and
:
![]() |
Let
denote the right-hand side of (*). It is well defined for measurable functions
on
. Define for a continuous
-form
on
,
![]() |
meaning that the exterior derivative in the definition of
has to be with respect to
as well as
. Next, for
-forms
defined on
there holds
![]() |
the Bochner–Martinelli operator.
Now let
be a continuous function on
such that
is continuous there too. Then Leray's formula reads
![]() | (a1) |
where
.
If
is holomorphic on
, then (a1) reduces to (*). Of particular importance are instances where
, and hence also
, is holomorphic as a function of
for
fixed — this can only occur if
is pseudo-convex;
is then a holomorphic support function (i.e. for all
there is a neighbourhood
of
such that
is holomorphic in this neighbourhood and
), the existence of which is closely related to the existence of continuously varying holomorphic peaking functions. (A continuously varying holomorphic peaking function for
is a function
such that for each fixed
: 1)
is holomorphic on
and continuous on
; and 2)
and
for all
. If
,
is required to be
for each fixed
.) Then
is holomorphic for every continuous
on
and the operator
![]() |
solves the inhomogeneous Cauchy–Riemann equations
![]() | (a2) |
for continuous
-forms
on
. Formula (a1) can be generalized to give a representation formula for
-forms as well (see [a2]).
Thus, the Leray formula has become an important tool for solving the Levi problem (work of G.M. Khenkin [a1] and of E. Ramirez de Arellano [a3]) and for obtaining estimates for solutions of (a2). In particular, the following sharp Hölder estimates hold on strictly pseudo-convex domains: There is a solution
with
, where
depends on the domain only,
denotes the Hölder
-norm and
denotes the sup-norm. Many analysts made contributions in this direction, notably Khenkin and A.V. Romanov; H. Grauert and I. Lieb; and N. Kerzman and R.M. Range.
References
| [a1] | G.M. [G.M. Khenkin] Henkin, "Integral representations of functions holomorphic in strictly pseudoconvex domains and some applications" Math. USSR Sb. , 78 (1969) pp. 611–632 Mat. Sb. , 7 (1969) pp. 597–616 |
| [a2] | J.L. Leiterer, "Theory of functions on complex manifolds" , Birkhäuser (1984) |
| [a3] | E. Ramirez de Arellano, "Ein Divisionsproblem und Randintegraldarstellungen in der komplexen Analysis" Math. Ann. , 184 (1970) pp. 172–187 |
| [a4] | R.M. Range, "Holomorphic functions and integral representation in several complex variables" , Springer (1986) pp. Chapt. VI, Par. 6 |
Leray formula. Encyclopedia of Mathematics. URL: http://encyclopediaofmath.org/index.php?title=Leray_formula&oldid=11615










