Function of compact support
A function defined in some domain of
, having compact support belonging to this domain. More precisely, suppose that the function
is defined on a domain
. The support of
is the closure of the set of points
for which
is different from zero
. Thus one can also say that a function of compact support in
is a function defined on
such that its support
is a closed bounded set located at a distance from the boundary
of
by a number greater than
, where
is sufficiently small.
One usually considers
-times continuously-differentiable functions of compact support, where
is a given natural number. Even more often one considers infinitely-differentiable functions of compact support. The function
![]() |
can serve as an example of an infinitely-differentiable function of compact support in a domain
containing the sphere
.
The set of all infinitely-differentiable functions of compact support in a domain
is denoted by
. On
one can define linear functionals (generalized functions, cf. Generalized function). With the aid of functions
one can define generalized solutions (cf. Generalized solution) of boundary value problems.
In theorems concerned with problems on finding generalized solutions, it is often important to know whether
is dense in some concrete space of functions. It is known, for example, that if the boundary
of a bounded domain
is sufficiently smooth, then
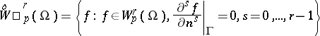
is dense in the space of functions
![]() |
(
), that is, in the Sobolev space of functions of class
that vanish on
along with their normal derivatives of order up to and including
(
).
References
| [1] | V.S. Vladimirov, "Generalized functions in mathematical physics" , MIR (1979) (Translated from Russian) |
| [2] | S.L. Sobolev, "Applications of functional analysis in mathematical physics" , Amer. Math. Soc. (1963) (Translated from Russian) |
Comments
References
| [a1] | L. Schwartz, "Théorie des distributions" , 1–2 , Hermann (1950–1951) |
| [a2] | J.L. Lions, E. Magenes, "Non-homogenous boundary value problems and applications" , 1–2 , Springer (1972) (Translated from French) |
| [a3] | K. Yosida, "Functional analysis" , Springer (1980) pp. Chapt. 8, Sect. 4; 5 |
Function of compact support. Encyclopedia of Mathematics. URL: http://encyclopediaofmath.org/index.php?title=Function_of_compact_support&oldid=11539

