Fisher z-distribution
A continuous probability distribution on the real line with density
![]() |
![]() |
The parameters
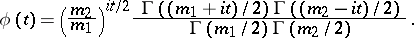
are called the degrees of freedom. The characteristic function has the form
![]() |
The mathematical expectation and the variance are equal to
and
, respectively.
If the random variable
has the Fisher
-distribution with
and
degrees of freedom, then the quantity
has the Fisher
-distribution with
and
degrees of freedom. Along with the Fisher
-distribution, known as the distribution of the dispersion proportion, the Fisher
-distribution was originally introduced in the analysis of variance by R.A. Fisher (1924). His intention was that the
-distribution should be the basic distribution for testing statistical hypotheses in the analysis of variance. The Fisher
-distribution was tabulated at the same time, and the first research was concerned with the statistic
, although in modern mathematical statistics one uses the simpler statistic
.
References
| [1] | R.A. Fisher, "On a distribution yielding the error functions of several well-known statistics" , Proc. Internat. Congress mathematicians (Toronto 1924) , 2 , Univ. Toronto Press (1928) pp. 805–813 |
Comments
The dispersion proportion is also called the variance ratio.
Fisher z-distribution. Encyclopedia of Mathematics. URL: http://encyclopediaofmath.org/index.php?title=Fisher_z-distribution&oldid=11464


