Namespaces
Variants
Actions

Watson transform

From Encyclopedia of Mathematics
Revision as of 16:58, 7 February 2011 by 127.0.0.1 (talk) (Importing text file)
(diff) ← Older revision | Latest revision (diff) | Newer revision → (diff)
Jump to: navigation, search

An integral transform of a function , defined as follows:

(1)

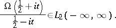
Here is a real variable, the kernel has the form

(2)

(l.i.m. denotes the limit in the mean in ) and the function satisfies the condition

The following conditions are sufficient for the existence of the kernel and the inclusion :

and

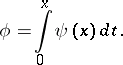
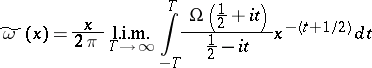
For a function , formula (1) defines the function almost-everywhere. The inversion formula for the Watson transform (1) has the form

Named after G.N. Watson [1], who was the first to study this transform.

References

[1] G.N. Watson, "General transforms" Proc. London Math. Soc. (2) , 35 (1933) pp. 156–199


Comments

Quite generally, let be a Lebesgue-measure function in and let

The kernel (or ) is called a generalized kernel, or kernel of a generalized transform, if

a) is real valued on ;

b) ;

c) .

The operator defined on by

is called a generalized transform or Watson transform.

References

[a1] G.O. Okikiolu, "Aspects of the theory of bounded operators in -spaces" , Acad. Press (1971) pp. §6.7
How to Cite This Entry:
Watson transform. Encyclopedia of Mathematics. URL: http://encyclopediaofmath.org/index.php?title=Watson_transform&oldid=49174
This article was adapted from an original article by A.P. Prudnikov (originator), which appeared in Encyclopedia of Mathematics - ISBN 1402006098. See original article