Relativity theory
A physical theory which examines the spatio-temporal properties of physical processes. These properties are common to all physical processes, and are often simply called space-time properties. Space-time properties depend on gravitational fields operating in a given domain. Space-time properties in the presence of a gravitational field are studied in general relativity theory, which is also called the gravitational theory. In special relativity theory, space-time properties are studied in an approximation in which effects related to gravitation can be disregarded. Special relativity theory is expounded below; for general relativity theory, see Gravitation, theory of. Relativity theory is also often called Einstein's relativity theory, after A. Einstein who created it (see [1], [2]).
Basic characteristics of relativity theory.
Specific (relativistic) effects, which can be described by relativity theory, and which differentiate it from previous physical theories, appear at velocities of bodies close to the velocity of light in vacuum
. At these so-called relativistic velocities, the dependence of the energy
of a body of mass
on its velocity
is described by the formula
![]() | (1) |
At velocities
much less than
, formula (1) takes the form
![]() | (2) |
The second term at the right-hand side in formula (2) coincides with the formula for kinetic energy in classical mechanics, while the first term shows that a body at rest possesses an energy
, which is called the rest energy. In nuclear reactions and processes transforming elementary particles, rest energy of initial particles can be transformed (partly or completely) into kinetic energy of the final particles. It follows from formula (1) that the energy of bodies of non-zero mass tends to infinity when
. If
, the velocity of the body is always less than
. Particles with
(photons and neutrinos) always move at the velocity of light. It is sometimes said that at relativistic velocities the mass of the body starts to depend on its velocity, and the value
![]() |
is called the mass of motion of the body, while
is its rest mass. It follows from formula (1) that
![]() |
The velocity of light in a vacuum in relativity theory is a limiting velocity, i.e. the transmission of interactions and signals from one point to another occurs at a velocity not exceeding it.
The existence of a limiting velocity is incompatible with the concepts of classical kinematics and necessitates a fundamental reconstruction of classical space-time concepts.
Einstein's relativity principle and other invariance principles.
The relativity principle is fundamental in relativity theory; it states that any physical process runs identically (given identical starting conditions) in an isolated material system which is in a state of rest relative to an arbitrarily chosen inertial system, and in another reference system which is in a state of uniform and rectilinear motion relative to the first inertial reference system.
The relativity principle means that a distinction between different inertial reference systems cannot be made on the basis of any physical experiment alone. A moving reference system is obtained from a reference system, taken to be at rest, by means of a coordinate transformation. It follows from the relativity principle that physical laws are invariant relative to these coordinate transformations and take the same form in all inertial reference systems.
Apart from the transformations to moving reference systems, three other types of transformations are known that do not alter the course of physical processes: translation (shift) in space, rotation in space and translation (shift) in time. Symmetries of physical laws relative to these transformations are fulfilled exactly only in isolated systems and they correspond to the laws of conservation of momentum, angular momentum and energy.
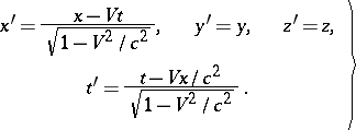
Inertial reference systems and Lorentz transformations.
Inertial reference systems in relativity theory form a separate class of reference systems, in which the effects of relativity theory have their simplest description.
The primary concepts in relativity theory are the concepts of a point event and a light signal. In a given inertial reference system, a point event can be characterized by three spatial coordinates
in a Cartesian coordinate system and by a time coordinate
. Coordinate systems
in various inertial reference systems are related by Lorentz transformations (cf. Lorentz transformation). The form of the Lorentz transformations can be obtained from the relativity principle, the conditions of symmetry and the requirement that the above-mentioned transformations form a group. If an inertial reference system
moves at a velocity
relative to an inertial reference system
such that the axes
and
coincide and have the direction of
, the axes
and
(and also
and
) are parallel to each other, the origins of the coordinates in
and
coincide at the moment
and the clock in
at the origin shows the time
when
, then the Lorentz transformation has the form
![]() | (3) |
In order to put all Lorentz transformations in the form (3), spatial rotations around the origin have to be adjoined. The Lorentz transformations form a group, called the Lorentz group. The property of invariance of physical laws under Lorentz transformations is called Lorentz invariance or relativistic invariance.
The relativistic law of addition of velocities follows from the Lorentz transformations. If a particle in
moves at a velocity
along the
-axis, then the velocity of this particle in
is equal to
![]() | (4) |
Formula (4) shows that indeed the velocity of light is not dependent on the velocity
of the light source.
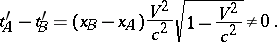
The following basic effects of relativity theory also follow from the Lorentz transformations: the relativity of simultaneity, the time dilation and the shortening of the longitudinal dimensions of bodies. Thus, two simultaneous events
and
in the system
which occur at different points
and
prove to be non-simultaneous in
:
![]() |
Moreover, when a clock, at rest in the system
at the point
, shows the time
, then the time
according to the clock in
which coincides spatially with the clock in
at this moment, is equal to
![]() |
Thus, from the point of view of an observer in
, the clock in
falls behind. However, by the relativity principle, from the point of view of an observer in
the clock in
also falls behind. The dimensions of bodies at rest in
(the so-called proper dimensions) are diminished by a factor
in the direction of
, when measured in
at given
, relative to the dimensions in
:
![]() |
At low velocities
, the Lorentz transformations (3), up to quantities tending to zero when
, coincide with the Galileo transformations:
![]() | (5) |
These transformations are in accordance with everyday experience, in which motions of bodies at relativistic velocities are not encountered. In particular, Galileo transformations preserve the spatial dimensions of bodies and the duration of physical processes. The transformations (5) and their various combinations with rotations in space form the so-called Galileo group. The major difference between Lorentz and Galileo transformations is that in Lorentz transformations the spatial coordinate
appears in the formula for the transformation of the time coordinate
. The concepts of space and time are thus modified, and the space and time properties of physical processes cannot be considered separately from each other. This has given rise to the concept of space-time, i.e. an object whose geometric properties define both the space and the time properties of physical processes. In classical Newtonian mechanics, the spatial properties of physical processes are defined by geometric properties of three-dimensional Euclidean space, while the time variable appears in the equations as a parameter. In special relativity theory, the four-dimensional pseudo-Euclidean space
, called the Minkowski space, is an adequate space-time model. The creation of the concept of space-time cleared the way for the geometrization of the apparatus of relativity theory, which proved to be of crucial importance for the development of general relativity.
The mathematical apparatus of relativity theory and the geometry of Minkowski space.
In the axiomatic description of relativity theory, the axioms which fix the properties of the primary concepts of relativity theory (point event and light signal) can be extracted from the informal description of the basic statements given above. This system of axioms is supplemented by axioms which are natural from the physical point of view — and which guarantee the existence of a sufficiently large number of events and light signals — as well as by certain continuity axioms on the set of light signals and point events. In other words, these axioms guarantee that every set of numbers
defines a point event. After this extension the system of axioms of relativity theory proves to be equivalent to the system of axioms of Minkowski space. Thus, Minkowski space serves as a space-time model of special relativity theory. A point event is interpreted in this space-time model as a point in Minkowski space, whose points are therefore called world points. Every coordinate system
in Minkowski space defines an inertial reference system, and the coordinate systems in relativity theory are therefore themselves called Galileo systems. A plane
in Minkowski space is called a spatial section, corresponding to the given coordinate system. The line element of Minkowski space in the coordinate system
can be represented in the form
![]() |
The quantity
is called an interval element, and the quantity
![]() |
is called the square of the interval. (The pseudo-Euclidean space
with line element
![]() |
can also be used as a space-time model of special relativity theory.)
The transformations which form the general Lorentz group are transformations which, in this model, join two Galilean coordinate systems of Minkowski space. These transformations preserve the interval and are the analogue of orthogonal transformations in Euclidean geometry. In particular, Lorentz transformations can take the form
![]() |
![]() |
where
![]() |
is the hyperbolic angle of rotation in the
-plane, which has an indefinite metric.
The classification of vectors in Minkowski space is done according to the sign of the square of the interval. Vectors for which
are said to be time-like; vectors for which
are called space-like; vectors for which
are called light-like or isotropic. If a certain point (for example, the coordinate origin) is singled out in Minkowski space, then the space can be broken up into three domains. Two of these, comprising points joined to zero by time-like vectors, are called domains of absolute future and absolute past. These names are related to the fact that, under any transformation from the complete Lorentz group which joins a given Galilean coordinate system to another Galilean coordinate system
, an event
located in the domain of absolute future will have a larger value of the time coordinate
than the event 0. The domain whose points
are joined to the point 0 by space-like vectors is called the domain of absolute elsewhere. This domain is characterized by the fact that no Lorentz transformation exists under which the points
and 0 will have identical spatial coordinates. The points on the boundary of these domains form the light cone of the point 0. The points of this cone are joined to zero by zero vectors. The space-time history of every point particle (material point) corresponds to a certain line in Minkowski space, called the world line of this particle. The points of this line define the coordinates of the particle at all moments of time. The fact that the velocities of all particles do not exceed
means that (under a natural smoothness assumption) all tangent vectors to the world line are either time-like or isotropic. The former corresponds to particles with non-zero rest mass, the latter to particles with zero rest mass. The natural parameter on the world line of a massive particle is called the proper time of the particle. The physical meaning of the proper time is that it is the time counted by a clock moving with the particle.
An expression of the law of inertia in this model is the fact that free particles, i.e. those which are not subject to the action of forces, have time-like or isotropic straight lines (i.e. geodesics) of Minkowski space as their world lines. In particular, particles with zero rest mass have world lines located on the light cone. In general relativity theory, one expression of the law of inertia is the so-called geodesic hypothesis, under which a particle which is not subject to the action of other forces, apart from the force of gravity, moves along a geodesic of the corresponding space-time. A light signal which joins given point events is interpreted in this model as a segment of the isotropic geodesic joining the corresponding world points.
A time-like geodesic in Minkowski space which joins two given world points
and
is the longest curve among all time-like world lines which join these two points. This follows from the inverse triangle inequality, according to which a time-like broken line joining two points is shorter than the single time-like geodesic joining them. From the point of view of relativity theory, the maximality of the length of the time-like geodesic means that the proper time of the particle moving freely from the world point
to the world point
is greater than the proper time of any other particle whose world line joins these world points. This fact is generally called the twin paradox.
As a rule, in the construction of tensors which express physical quantities, several corresponding tensor objects of classical physics are united in one tensor object in Minkowski space. For example, an energy-impulse vector is formed in the following way: its first component in a Galilean coordinate system is the value
, while the other three are the components of the momentum vector (this is denoted by
). In order to distinguish the tensors of Minkowski space from the tensors on its spatial sections, which have been studied in classical physics, one generally speaks of four-dimensional tensors, or
-tensors.
Examples of certain physical quantities which are
-tensors are: the
-vector
![]() |
called the
-velocity. This vector is a unit tangent vector to the world line of a particle. The vector
![]() |
where
is a force, is a
-force vector. Using these vectors, the basic equations of relativistic dynamics can be rewritten in the form
![]() |
The role of relativity theory in contemporary physics.
The theory is supported to a high degree by facts, and it forms the basis of all contemporary theories which examine phenomena at relativistic velocities. The development of the theory of electromagnetism, based on classical electrodynamics, is only possible through relativity theory (historically, analysis of the foundations of classical electrodynamics, and particularly of the optics of moving bodies, led to the construction of relativity theory). Relativity theory forms the basis of quantum electrodynamics, and of theories of strong and weak interaction of elementary particles. Quantum laws of motion and transmutation of elementary particles are studied in relativistic quantum field theory.
References
| [1] | A. Einstein, "Elektrodynamik bewegter Körper" Ann. der Phys. , 17 (1905) pp. 891–921 |
| [2] | A. Einstein, L. Infeld, "The evolution of physics" , Simon & Schuster (1962) |
| [3] | H. Minkowski, "Raum und Zeit" Phys. Z. , 10 (1909) pp. 104–111 |
| [4] | E.M. Livschits, "The classical theory of fields" , Pergamon (1975) (Translated from Russian) |
| [5] | R.P. Feynman, R.B. Leighton, M. Sands, "The Feynman lectures on physics" , 2 , Addison-Wesley (1965) |
| [6] | W. Pauli, "Relativitätstheorie" , Teubner (1921) |
| [7] | J.L. Synge, "Relativity: the general theory" , North-Holland (1960) |
| [8] | R.C. Tolman, "Relativity, thermodynamics and cosmology" , Clarendon Press (1934) |
| [9] | P.K. [P.K. Rashevskii] Rashewski, "Riemannsche Geometrie und Tensoranalyse" , Deutsch. Verlag Wissenschaft. (1959) (Translated from Russian) |
Comments
References
| [a1] | V.A. [V.A. Fok] Fock, "The theory of space, time and gravitation" , Macmillan (1954) (Translated from Russian) |
| [a2] | H. Weyl, "Raum, Zeit, Materie" , Springer (1923) |
| [a3] | R. Penrose, "Structure of space-time" C.M. DeWitt (ed.) J.A. Wheeler (ed.) , Batelle Rencontres 1967 Lectures in Math. Physics , Benjamin (1968) pp. 121–235 (Chapt. VII) |
| [a4] | J.A. Schouten, "Tensor analysis for physicists" , Cambridge Univ. Press (1951) |
| [a5] | L.P. Eisenhart, "Riemannian geometry" , Princeton Univ. Press (1949) |
| [a6] | J.L. Synge, A. Schild, "Tensor calculus" , Toronto Univ. Press (1959) |
| [a7] | R.K. Sachs, H. Wu, "General relativity for mathematicians" , Springer (1977) |
| [a8] | D.F. Lawden, "An introduction to tensor calculus and relativity" , Methuen (1962) |
| [a9] | A.S. Eddington, "The mathematical theory of relativity" , Cambridge Univ. Press (1960) |
| [a10] | A. Einstein, et al., "The principle of relativity. A collection of original papers" , Dover, reprint (1952) |
| [a11] | A. Einstein, "The meaning of relativity" , Princeton Univ. Press (1956) |
Relativity theory. Encyclopedia of Mathematics. URL: http://encyclopediaofmath.org/index.php?title=Relativity_theory&oldid=48502


















