Namespaces
Variants
Actions

Neumann series

From Encyclopedia of Mathematics
Revision as of 17:22, 7 February 2011 by 127.0.0.1 (talk) (Importing text file)
(diff) ← Older revision | Latest revision (diff) | Newer revision → (diff)
Jump to: navigation, search

A series of the form

where is the Bessel function (cylinder function of the first kind, cf. Bessel functions) and is a (real or complex) number. C.G. Neumann

considered the special case when is an integer. He showed that if is an analytic function in a closed disc with centre at the coordinate origin, is an interior point and denotes the boundary of the disc, then

where

and is a polynomial of degree in :

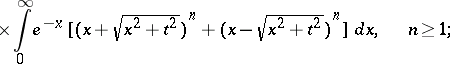
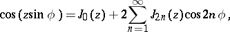
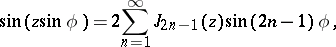
it is usually called the Neumann polynomial of order . (Neumann himself called it a Bessel function of second order. Nowadays this term is used to denote one of the solutions of the Bessel equation.) Examples of the representation of functions by means of a Neumann series:

where is an arbitrary number not equal to a non-negative integer and is the gamma-function.

In the theory of Fredholm integral equations (cf. Fredholm equation)

(1)

a Neumann series is defined as the expansion of the resolvent of the kernel :

(2)

where the are the iterated kernels (of ), which are defined by the recurrence formulas

By means of (2) the solution of (1) for small can be represented by

(3)

The last series is also called a Neumann series. In

the series (3) is considered in the case of an equation (1) to which the Dirichlet problem in potential theory reduces.

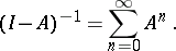
Let be a bounded linear operator mapping a Banach space into itself, with norm . Then the operator , where is the identity operator, has a unique bounded inverse , which admits the expansion

(4)

In the theory of linear operators this series is called a Neumann series. The series

can be regarded as a special case of (4).

References

[1] C.G. Neumann, "Theorie der Besselschen Funktionen" , Teubner (1867)
[2] C.G. Neumann, "Untersuchungen über das logarithmische und Newtonsche Potential" , Teubner (1877)
[3] G.N. Watson, "A treatise on the theory of Bessel functions" , 1 , Cambridge Univ. Press (1952)
[4] R.O. Kuz'min, "Bessel functions" , Moscow-Leningrad (1035) (In Russian)
[5] K. Yosida, "Functional analysis" , Springer (1965)
[6] F.G. Tricomi, "Integral equations" , Interscience (1957)


Comments

The series (4), applied to a specific vector , i.e.

(a1)

may converge also if . For necessary and sufficient conditions for convergence see [a2] (or [a3]).

References

[a1] F. Smithies, "Integral equations" , Cambridge Univ. Press (1970) pp. Chapt. II
[a2] N. Suzuki, "On the convergence of Neumann series in Banach space" Math. Ann. , 220 (1976) pp. 143–146
[a3] H.W. Engl, "A successive-approximation method for solving equations of the second kind with arbitrary spectral radius" J. Integral Eq. , 8 (1985) pp. 239–247
[a4] I.C. Gohberg, S. Goldberg, "Basic operator theory" , Birkhäuser (1981)
[a5] A.E. Taylor, D.C. Lay, "Introduction to functional analysis" , Wiley (1980) pp. Chapt. 5
[a6] P.P. Zabreiko (ed.) A.I. Koshelev (ed.) M.A. Krasnoselskii (ed.) S.G. Mikhlin (ed.) L.S. Rakovshchik (ed.) V.Ya. Stet'senko (ed.) T.O. Shaposhnikova (ed.) R.S. Anderssen (ed.) , Integral equations - a reference text , Noordhoff (1975) (Translated from Russian)
How to Cite This Entry:
Neumann series. Encyclopedia of Mathematics. URL: http://encyclopediaofmath.org/index.php?title=Neumann_series&oldid=47960
This article was adapted from an original article by B.V. Khvedelidze (originator), which appeared in Encyclopedia of Mathematics - ISBN 1402006098. See original article