Namespaces
Variants
Actions

Matrix algebra

From Encyclopedia of Mathematics
Jump to: navigation, search

algebra of matrices

A subalgebra of the full matrix algebra of all -dimensional matrices over a field . The operations in are defined as follows:

where , and . The algebra is isomorphic to the algebra of all endomorphisms of an -dimensional vector space over . The dimension of over equals . Every associative algebra with an identity (cf. Associative rings and algebras) and of dimension over at most is isomorphic to some subalgebra of . An associative algebra without an identity and with dimension over less than can also be isomorphically imbedded in . By Wedderburn's theorem, the algebra is simple, i.e. it has only trivial two-sided ideals. The centre of the algebra consists of all scalar -dimensional matrices over . The group of invertible elements of is the general linear group . Every automorphism of is inner:

Every irreducible matrix algebra (cf. also Irreducible matrix group) is simple. If a matrix algebra is absolutely reducible (for example, if the field is algebraically closed), then for (Burnside's theorem). A matrix algebra is semi-simple if and only if it is completely reducible (cf. also Completely-reducible matrix group).

Up to conjugation, contains a unique maximal nilpotent subalgebra — the algebra of all upper-triangular matrices with zero diagonal entries. In there is an -dimensional commutative subalgebra if and only if

(Schur's theorem). Over the complex field the set of conjugacy classes of maximal commutative subalgebras of is finite for and infinite for .

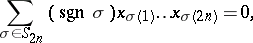
In one has the standard identity of degree :

where denotes the symmetric group and the sign of the permutation , but no identity of lower degree (cf. Amitsur–Levitzki theorem).

References

[1] H. Weyl, "The classical groups, their invariants and representations" , Princeton Univ. Press (1946) MR0000255 Zbl 1024.20502
[2] N. Jacobson, "Structure of rings" , Amer. Math. Soc. (1956) MR0081264 Zbl 0073.02002
[3] I.N. Herstein, "Noncommutative rings" , Math. Assoc. Amer. (1968) MR1535024 MR0227205 Zbl 0177.05801
[4] B.L. van der Waerden, "Algebra" , 1–2 , Springer (1967–1971) (Translated from German) MR1541390 Zbl 1032.00002 Zbl 1032.00001 Zbl 0903.01009 Zbl 0781.12003 Zbl 0781.12002 Zbl 0724.12002 Zbl 0724.12001 Zbl 0569.01001 Zbl 0534.01001 Zbl 0997.00502 Zbl 0997.00501 Zbl 0316.22001 Zbl 0297.01014 Zbl 0221.12001 Zbl 0192.33002 Zbl 0137.25403 Zbl 0136.24505 Zbl 0087.25903 Zbl 0192.33001 Zbl 0067.00502
[5] D.A. Suprunenko, R.I. Tyshkevich, "Commutable matrices" , Minsk (1966) (In Russian)


Comments

A frequently used notation for is .

Wedderburn's theorem on the structure of semi-simple rings says that any semi-simple ring is a finite direct product of full matrix rings over skew-fields , and conversely every ring of this form is semi-simple. Further, the and are uniquely determined by .

The Wedderburn–Artin theorem says that a right Artinian simple ring is a total matrix ring (E. Artin, 1928; proved for finite-dimensional algebras by J.H.M. Wedderburn in 1907). A far-reaching generalization of this is the Jacobson density theorem, cf. Associative rings and algebras and [a1].

References

[a1] P.M. Cohn, "Algebra" , 2 , Wiley (1977) pp. Sect. 10.2 MR0530404 Zbl 0341.00002
How to Cite This Entry:
Matrix algebra. Encyclopedia of Mathematics. URL: http://encyclopediaofmath.org/index.php?title=Matrix_algebra&oldid=47793
This article was adapted from an original article by D.A. Suprunenko (originator), which appeared in Encyclopedia of Mathematics - ISBN 1402006098. See original article