Jacobi inversion problem
The problem of inverting the Abelian integrals (cf. Abelian integral) of the first kind of an arbitrary algebraic function field (cf. Algebraic function). In other words, the problem of inverting the Abelian integrals of the first kind on the compact Riemann surface
of genus
that corresponds to a given algebraic equation
.
Let
be a basis of the Abelian differentials of the first kind on
(cf. Abelian differential). The inversion of a single Abelian integral, for example,
, that is, the representation of all possible rational functions of
, in particular, the representation of
as a function of
,
, is only meaningful when
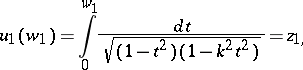
. In this case one speaks of the inversion of an elliptic integral, and this leads to doubly-periodic elliptic functions (cf. Elliptic function). For example, the inversion of an integral of the first kind in Legendre normal form
![]() |
leads to the Jacobi elliptic function
(cf. Jacobi elliptic functions).
As C.G.J. Jacobi already observed (1832), the inversion problem for
must be considered for the set of all Abelian integrals of the first kind,
, since one has to obtain functions with
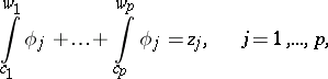
periods. In the general case when
, the rational statement of the Jacobi inversion problem is as follows: Suppose one is given a system of equalities
![]() | (1) |
where
are fixed points on
,
are variable points on
and
are arbitrary but given complex numbers. It is required to find how and under what conditions the system (1) can be inverted, that is, to obtain a representation of all possible symmetric rational functions of
,
, as functions of
.
Since the Abelian integrals in (1), as functions of the upper limit
, depend on the form of the path on
that joins
and
, they are multiple-valued: When the path is varied they can increase by an integer linear combination of periods. Hence it follows that (1) is essentially a system of congruences modulo the periods of the differentials
. The values of the functions of
obtained by solving the Jacobi inversion problem must remain unchanged when the argument is increased by any integer combination of the periods of the differentials
. Consequently, they are special Abelian functions with
independent periods (cf. Abelian function).
For the case
, that is, for an elliptic integral, the elliptic functions solving the inversion problem can be constructed by using the comparatively-simple Jacobi theta-functions in a single complex variable
, and meromorphic elliptic functions can be constructed as quotients of entire theta-functions. It is also possible to solve the general Jacobi inversion problem by using the theta-functions
of the first order in
complex variables with half-integer characteristics
(cf. Theta-function).
The period matrix
of the basis Abelian differentials
has the form
![]() | (2) |
![]() |
and the Riemann relations (see Abelian function) between the periods ensure that the series representing the theta-functions
, constructed in terms of
, converge uniformly on compact sets in
. By using the theta-function
of zero characteristic one can construct the superposition
![]() |
where
![]() |
is the vector of Abelian integrals and
is a system of points of
;
is called the Riemann theta-function. For a given set of numbers
, either
has on
a unique system of zeros
(the normal case), or it vanishes identically (the exceptional case). The zeros
give a solution to the Jacobi inversion problem. The exceptional points
for which
form in
a set of lower dimension.
Explicit expressions for special Abelian functions that completely solve the Jacobi inversion problem can be constructed by using quotients of theta-functions of the form
, where the common denominator is the theta-function of zero characteristic. When periods are added to the argument, the theta-functions are multiplied by specific multipliers. For quotients of theta-functions, after cancellation the only non-trivial multiplier is
. Consequently, the squares of the quotients are unchanged when periods are added to the argument, and one obtains Abelian functions with
periods.
Closely related to the Jacobi inversion problem is the important problem of constructing for a given system of theta-functions
with a common matrix
satisfying the convergence conditions the corresponding algebraic function fields and the corresponding Riemann surface. For this construction to be possible, the distinct elements
of
(there are
of them) must satisfy
additional relations, the investigation of which when
is a very difficult problem (see [1], [3], [4], [5]).
References
| [1] | N.G. Chebotarev, "The theory of algebraic functions" , Moscow-Leningrad (1948) (In Russian) |
| [2] | G. Springer, "Introduction to Riemann surfaces" , Addison-Wesley (1957) pp. Chapt.10 |
| [3] | A. Clebsch, P. Gordan, "Theorie der Abelschen Funktionen" , Teubner (1866) |
| [4] | F. Conforto, "Abelsche Funktionen und algebraische Geometrie" , Springer (1956) |
| [5] | D. Mumford, "Structure of moduli spaces of curves and Abelian varieties" , Proc. Internat. Congress Mathematicians (Nice, 1970) , 1 , Gauthier-Villars (1971) pp. 457–465 |
Comments
References
| [a1] | C.L. Siegel, "Topics in complex function theory" , 2 , Interscience (1971) |
| [a2] | D. Mumford, "Tata lectures on Theta" , 1 , Birkhäuser (1983–1984) |
Jacobi inversion problem. Encyclopedia of Mathematics. URL: http://encyclopediaofmath.org/index.php?title=Jacobi_inversion_problem&oldid=47457





