A formula which is defined as half the sum of the Gauss formula (cf. Gauss interpolation formula) for forward interpolation on the nodes
at the point
:
 | (1) |
and the Gauss formula of the same order for backward interpolation with respect to the node
, i.e. with respect to the population of nodes
 | (2) |
Putting
Bessel's interpolation formula assumes the form ([1], [2]):
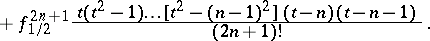
 | (3) |
Bessel's interpolation formula has certain advantages over Gauss' formulas (1), (2); in particular, if the interpolation is at the middle of the segment, i.e. at
, all coefficients at the differences of odd orders vanish. If the last term on the right-hand side of (3) is omitted, the polynomial
, which is not a proper interpolation polynomial (it coincides with
only in the
nodes
), represents a better estimate of the residual term (cf. Interpolation formula) than the interpolation polynomial of the same degree. Thus, for instance, if
, the estimate of the last term using the polynomial which is most frequently employed
written with respect to the nodes
, is almost 8 times better than that of the interpolation polynomial written with respect to the nodes
or
([2]).
References
[1] | I.S. Berezin, N.P. Zhidkov, "Computing methods" , 1 , Pergamon (1973) (Translated from Russian) |
[2] | N.S. Bakhvalov, "Numerical methods: analysis, algebra, ordinary differential equations" , MIR (1977) (Translated from Russian) |
References
[a1] | M. Abramowitz, I.A. Stegun, "Handbook of mathematical functions" , Dover, reprint (1970) |
[a2] | F.B. Hildebrand, "Introduction to numerical analysis" , Addison-Wesley (1956) |
How to Cite This Entry:
Bessel interpolation formula. Encyclopedia of Mathematics. URL: http://encyclopediaofmath.org/index.php?title=Bessel_interpolation_formula&oldid=46034
This article was adapted from an original article by M.K. Samarin (originator), which appeared in Encyclopedia of Mathematics - ISBN 1402006098.
See original article