Namespaces
Variants
Actions

Lambert series

From Encyclopedia of Mathematics
Revision as of 17:04, 7 February 2011 by 127.0.0.1 (talk) (Importing text file)
(diff) ← Older revision | Latest revision (diff) | Newer revision → (diff)
Jump to: navigation, search

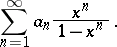
The series of functions

(1)

It was considered by J.H. Lambert (see [1]) in connection with questions of convergence of power series. If the series

converges, then the Lambert series converges for all values of except ; otherwise it converges for those values of for which the series

converges. The Lambert series is used in certain problems of number theory. Thus, for the sum of the series (1) can be represented as a power series:

(2)

where

and the summation is over all divisors of . In particular, if , then , the number of divisors of ; if , then , the sum of the divisors of . The behaviour of (with suitable ) as is used, for example (see [3]), in the problem of Hardy and Ramanujan on obtaining an asymptotic formula for the number of "unbounded partitions" of a natural number.

References

[1] J.H. Lambert, "Opera Mathematica" , 1–2 , O. Füssli (1946–1948)
[2] G.M. Fichtenholz, "Differential und Integralrechnung" , 2 , Deutsch. Verlag Wissenschaft. (1964)
[3] A.G. Postnikov, "Introduction to analytic number theory" , Moscow (1971) (In Russian)


Comments

Lambert series also occur in the expansion of Eisenstein series, a particular kind of modular form. See [a1].

References

[a1] T.M. Apostol, "Modular forms and Dirichlet series in analysis" , Springer (1976)
[a2] H. Rademacher, "Topics in analytic number theory" , Springer (1973)
[a3] K. Knopp, "Theorie und Anwendung der unendlichen Reihen" , Springer (1964) (English translation: Blackie, 1951 & Dover, reprint, 1990)
How to Cite This Entry:
Lambert series. Encyclopedia of Mathematics. URL: http://encyclopediaofmath.org/index.php?title=Lambert_series&oldid=37622
This article was adapted from an original article by M.I. Voitsekhovskii (originator), which appeared in Encyclopedia of Mathematics - ISBN 1402006098. See original article