Difference between revisions of "Bürmann-Lagrange series"
(Importing text file) |
Ulf Rehmann (talk | contribs) m (moved Bürmann–Lagrange series to Burmann-Lagrange series: ascii title) |
(No difference)
| |
Revision as of 18:51, 24 March 2012
Lagrange series
A power series which offers a complete solution to the problem of local inversion of holomorphic functions. In fact, let a function
of the complex variable
be regular in a neighbourhood of the point
, and let
and
. Then there exists a regular function
in some neighbourhood of the point
of the
-plane which is the inverse to
and is such that
. Moreover, if
is any regular function in a neighbourhood of the point
, then the composite function
can be expanded in a Bürmann–Lagrange series in a neighbourhood of the point
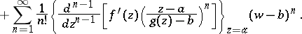
![]() | (*) |
![]() |
The inverse of the function
is obtained by setting
.
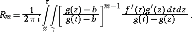
The expansion (*) follows from Bürmann's theorem [1]: Under the assumptions made above on the holomorphic functions
and
, the latter function may be represented in a certain domain in the
-plane containing
in the form
![]() |
![]() |
where
![]() |
Here
is a contour in the
-plane which encloses the points
and
, and is such that if
is any point inside
, then the equation
has no roots on
or inside
other than the simple root
.
The expansion (*) for the case
was obtained by J.L. Lagrange .
If the derivative
has a zero of order
at the point
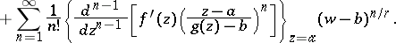
, there is the following generalization of the Bürmann–Lagrange series for the multi-valued inverse function [3]:
![]() |
![]() |
Another generalization (see, for example, [4]) refers to functions
regular in an annulus; instead of the series (*), one obtains a series with positive and negative powers of the difference
.
References
| [1] | H. Bürmann, Mem. Inst. Nat. Sci. Arts. Sci. Math. Phys. , 2 (1799) pp. 13–17 |
| [2a] | J.L. Lagrange, Mem. Acad. R. Sci. et Belles-lettres Berlin , 24 (1770) |
| [2b] | J.L. Lagrange, "Additions au mémoire sur la résolution des équations numériques" , Oeuvres , 2 , G. Olms (1973) pp. 579–652 |
| [3] | A. Hurwitz, R. Courant, "Vorlesungen über allgemeine Funktionentheorie und elliptische Funktionen" , 1 , Springer (1968) pp. Chapt. 7 |
| [4] | E.T. Whittaker, G.N. Watson, "A course of modern analysis" , Cambridge Univ. Press (1952) pp. Chapt. 6 |
| [5] | A.I. Markushevich, "Theory of functions of a complex variable" , 1 , Chelsea (1977) (Translated from Russian) |
Comments
There is an exhaustive treatment of the Lagrange–Bürmann theorem and series in [a1].
References
| [a1] | P. Henrici, "Applied and computational complex analysis" , 1 , Wiley (1974) |
Bürmann-Lagrange series. Encyclopedia of Mathematics. URL: http://encyclopediaofmath.org/index.php?title=B%C3%BCrmann-Lagrange_series&oldid=22221






