Difference between revisions of "Linear differential operator"
(Importing text file) |
Ulf Rehmann (talk | contribs) m (MR/ZBL numbers added) |
||
| Line 97: | Line 97: | ||
in which all the <img align="absmiddle" border="0" src="https://www.encyclopediaofmath.org/legacyimages/l/l059/l059170/l059170223.png" />, <img align="absmiddle" border="0" src="https://www.encyclopediaofmath.org/legacyimages/l/l059/l059170/l059170224.png" /> are linear differential operators. In particular, <img align="absmiddle" border="0" src="https://www.encyclopediaofmath.org/legacyimages/l/l059/l059170/l059170225.png" /> is called the compatibility operator for <img align="absmiddle" border="0" src="https://www.encyclopediaofmath.org/legacyimages/l/l059/l059170/l059170226.png" />. Formal integrability ensures the local existence of the resolvent. | in which all the <img align="absmiddle" border="0" src="https://www.encyclopediaofmath.org/legacyimages/l/l059/l059170/l059170223.png" />, <img align="absmiddle" border="0" src="https://www.encyclopediaofmath.org/legacyimages/l/l059/l059170/l059170224.png" /> are linear differential operators. In particular, <img align="absmiddle" border="0" src="https://www.encyclopediaofmath.org/legacyimages/l/l059/l059170/l059170225.png" /> is called the compatibility operator for <img align="absmiddle" border="0" src="https://www.encyclopediaofmath.org/legacyimages/l/l059/l059170/l059170226.png" />. Formal integrability ensures the local existence of the resolvent. | ||
| − | In the literature use is made of the terms | + | In the literature use is made of the terms "overdetermined" and "underdetermined" for systems of differential equations; however, there is no satisfactory general definition. The following could serve as an approximation to such a definition: There is a non-zero linear differential operator <img align="absmiddle" border="0" src="https://www.encyclopediaofmath.org/legacyimages/l/l059/l059170/l059170227.png" /> such that <img align="absmiddle" border="0" src="https://www.encyclopediaofmath.org/legacyimages/l/l059/l059170/l059170228.png" /> (overdetermination), <img align="absmiddle" border="0" src="https://www.encyclopediaofmath.org/legacyimages/l/l059/l059170/l059170229.png" /> (underdetermination). For example, the linear differential operator <img align="absmiddle" border="0" src="https://www.encyclopediaofmath.org/legacyimages/l/l059/l059170/l059170230.png" /> equal to the restriction of the operator of exterior differentiation to forms of degree <img align="absmiddle" border="0" src="https://www.encyclopediaofmath.org/legacyimages/l/l059/l059170/l059170231.png" /> on a manifold <img align="absmiddle" border="0" src="https://www.encyclopediaofmath.org/legacyimages/l/l059/l059170/l059170232.png" /> of dimension <img align="absmiddle" border="0" src="https://www.encyclopediaofmath.org/legacyimages/l/l059/l059170/l059170233.png" /> is underdetermined for <img align="absmiddle" border="0" src="https://www.encyclopediaofmath.org/legacyimages/l/l059/l059170/l059170234.png" />, overdetermined for <img align="absmiddle" border="0" src="https://www.encyclopediaofmath.org/legacyimages/l/l059/l059170/l059170235.png" /> and holonomic for <img align="absmiddle" border="0" src="https://www.encyclopediaofmath.org/legacyimages/l/l059/l059170/l059170236.png" />. |
The main problems studied for general linear differential operators are the following: The solvability of an equation with right-hand side <img align="absmiddle" border="0" src="https://www.encyclopediaofmath.org/legacyimages/l/l059/l059170/l059170237.png" /> if a compatibility condition <img align="absmiddle" border="0" src="https://www.encyclopediaofmath.org/legacyimages/l/l059/l059170/l059170238.png" /> is satisfied; the possibility of extending solutions of the equation <img align="absmiddle" border="0" src="https://www.encyclopediaofmath.org/legacyimages/l/l059/l059170/l059170239.png" /> to a larger domain (an effect connected with overdetermination); and the representation of the general solution in terms of a solution of special form. The last problem can be stated more specifically for invariant operators, for example for linear differential operators in <img align="absmiddle" border="0" src="https://www.encyclopediaofmath.org/legacyimages/l/l059/l059170/l059170240.png" /> with constant or periodic coefficients: To describe a representation of a group <img align="absmiddle" border="0" src="https://www.encyclopediaofmath.org/legacyimages/l/l059/l059170/l059170241.png" /> in the space of solutions as an integral (in some sense) over all indecomposable subrepresentations. In determining operators with constant coefficients such a representation is specified by an integral with respect to exponents (exponential representation), and for operators with periodic coefficients by an integral with respect to Floquet-generalized solutions. | The main problems studied for general linear differential operators are the following: The solvability of an equation with right-hand side <img align="absmiddle" border="0" src="https://www.encyclopediaofmath.org/legacyimages/l/l059/l059170/l059170237.png" /> if a compatibility condition <img align="absmiddle" border="0" src="https://www.encyclopediaofmath.org/legacyimages/l/l059/l059170/l059170238.png" /> is satisfied; the possibility of extending solutions of the equation <img align="absmiddle" border="0" src="https://www.encyclopediaofmath.org/legacyimages/l/l059/l059170/l059170239.png" /> to a larger domain (an effect connected with overdetermination); and the representation of the general solution in terms of a solution of special form. The last problem can be stated more specifically for invariant operators, for example for linear differential operators in <img align="absmiddle" border="0" src="https://www.encyclopediaofmath.org/legacyimages/l/l059/l059170/l059170240.png" /> with constant or periodic coefficients: To describe a representation of a group <img align="absmiddle" border="0" src="https://www.encyclopediaofmath.org/legacyimages/l/l059/l059170/l059170241.png" /> in the space of solutions as an integral (in some sense) over all indecomposable subrepresentations. In determining operators with constant coefficients such a representation is specified by an integral with respect to exponents (exponential representation), and for operators with periodic coefficients by an integral with respect to Floquet-generalized solutions. | ||
| Line 106: | Line 106: | ||
====References==== | ====References==== | ||
| − | <table><TR><TD valign="top">[1]</TD> <TD valign="top"> | + | <table><TR><TD valign="top">[1]</TD> <TD valign="top"> J. Peetre, "Uniqueness in the Cauchy problem for elliptic equations with double characteristics" ''Math. Scand.'' , '''8''' (1960) pp. 116–120</TD></TR><TR><TD valign="top">[2]</TD> <TD valign="top"> L. Hörmander, , ''Pseudo-differential operators'' , Moscow (1967) pp. 63–87; 166–296; 297–367 (In Russian; translated from English) {{MR|0383152}} {{ZBL|0167.09603}} </TD></TR><TR><TD valign="top">[3]</TD> <TD valign="top"> I.N. Bernshtein, "The analytic continuation of generalized functions with respect to a parameter" ''Funct. Anal. Appl.'' , '''6''' : 4 (1972) pp. 273–285 ''Funktsional. Anal. i Prilozhen.'' , '''6''' : 4 (1972) pp. 26–40</TD></TR><TR><TD valign="top">[4]</TD> <TD valign="top"> R. Courant, D. Hilbert, "Methods of mathematical physics. Partial differential equations" , '''2''' , Interscience (1965) (Translated from German) {{MR|0195654}} {{ZBL|}} </TD></TR><TR><TD valign="top">[5]</TD> <TD valign="top"> A.N. [A.N. Tikhonov] Tichonoff, A.A. Samarskii, "Differentialgleichungen der mathematischen Physik" , Deutsch. Verlag Wissenschaft. (1959) (Translated from Russian) {{MR|104888}} {{ZBL|}} </TD></TR><TR><TD valign="top">[6]</TD> <TD valign="top"> L.V. Hörmander, "The analysis of linear partial differential operators" , '''1–4''' , Springer (1983–1985) {{MR|2512677}} {{MR|2304165}} {{MR|2108588}} {{MR|1996773}} {{MR|1481433}} {{MR|1313500}} {{MR|1065993}} {{MR|1065136}} {{MR|0961959}} {{MR|0925821}} {{MR|0881605}} {{MR|0862624}} {{MR|1540773}} {{MR|0781537}} {{MR|0781536}} {{MR|0717035}} {{MR|0705278}} {{ZBL|1178.35003}} {{ZBL|1115.35005}} {{ZBL|1062.35004}} {{ZBL|1028.35001}} {{ZBL|0712.35001}} {{ZBL|0687.35002}} {{ZBL|0619.35002}} {{ZBL|0619.35001}} {{ZBL|0612.35001}} {{ZBL|0601.35001}} {{ZBL|0521.35002}} {{ZBL|0521.35001}} </TD></TR><TR><TD valign="top">[7]</TD> <TD valign="top"> V.P. Palamodov, "Linear differential operators with constant coefficients" , Springer (1970) (Translated from Russian) {{MR|0264197}} {{ZBL|0191.43401}} </TD></TR><TR><TD valign="top">[8]</TD> <TD valign="top"> P. Hartman, "Ordinary differential equations" , Birkhäuser (1982) {{MR|0658490}} {{ZBL|0476.34002}} </TD></TR><TR><TD valign="top">[9]</TD> <TD valign="top"> R.S. Palais, "Seminar on the Atiyah–Singer index theorem" , Princeton Univ. Press (1965) {{MR|0198494}} {{ZBL|0137.17002}} </TD></TR><TR><TD valign="top">[10]</TD> <TD valign="top"> V.P. Palamodov, "Systems of linear differential equations" ''Itogi Nauk. Mat. Anal. 1968'' (1969) pp. 5–37 (In Russian) {{MR|0369889}} {{ZBL|0245.35002}} </TD></TR><TR><TD valign="top">[11]</TD> <TD valign="top"> J.-E. Björk, "Rings of differential operators" , North-Holland (1979) {{MR|0549189}} {{ZBL|0499.13009}} </TD></TR><TR><TD valign="top">[12]</TD> <TD valign="top"> M. Kashiwara, "Microfunctions and pseudodifferential equations" H. Komatsu (ed.) , ''Hyperfunctions and pseudodifferential equations. Proc. Conf. Katata, 1971'' , ''Lect. notes in math.'' , '''287''' , Springer (1973) pp. 265–529 {{MR|420735}} {{ZBL|}} </TD></TR></table> |
Revision as of 21:53, 30 March 2012
in the narrow sense
An operator
that acts on
-valued functions (
or
) defined on an open set
, according to the formula
![]() | (1) |
Here
are functions with values in the same field, called the coefficients of
. If the coefficients take values in the set of
-dimensional matrices over
, then the linear differential operator
is defined on vector-valued functions
and transforms them into vector-valued functions
. In the case
it is called a linear ordinary differential operator, and in the case
it is called a linear partial differential operator.
Let
be a differentiable manifold and let
and
be finite-dimensional vector bundles on
(all of class
, cf. Vector bundle). Let
be the sheaves (cf. Sheaf) of germs of sections of these bundles of the corresponding smoothness class. A linear differential operator in the wide sense
is a sheaf mapping
satisfying the following condition: Every point
has a coordinate neighbourhood
within which the bundles are trivial, while the mapping
![]() |
where
is the space of sections of
over
, acts according to (1), in which local coordinates
and the trivializations
![]() |
are used. The smallest number
such that (1) is suitable at all points
is called the order of the linear differential operator
. For example, every non-zero connection on
is a linear differential operator
of the first order. Another equivalent definition of a linear differential operator
is the following: It is a linear operator
satisfying the condition
, where
is the support of
.
A linear differential operator can be defined on wider function spaces. For example, if a positive metric is defined on
and a scalar product is defined on the bundles
and
, then the spaces of square-integrable sections of these bundles are defined. A linear differential operator defined by the local expressions (1) determines a linear unbounded operator
. Under certain weak assumptions the latter may be closed as an operator on Hilbert spaces. This closure is also called a linear differential operator. In a similar way one can construct an operator that acts on Sobolev spaces or on spaces of more general scales.
A linear differential operator of class
can be extended to an operator on spaces of generalized sections. Such an extension can be constructed by means of a formally adjoint operator. Let
be the bundle dual to
(that is,
, where
is the trivial one-dimensional bundle) and let
be the bundle of differential forms on
of maximal degree. There is defined a bilinear mapping
![]() |
which involves integration over
. Here
is the space of sections with compact support. The formula
![]() |
uniquely defines a linear operator
![]() |
It is induced by the linear differential operator
which inside the coordinate neighbourhood
has the expression
![]() |
if the bundle
is trivialized by the choice of the section
. The linear differential operator
is said to be formally adjoint with respect to
.
In the space
convergence is defined according to the following rule:
if the union of the supports of the sections
belongs to a compact set and if in any coordinate neighbourhood
over which there is a trivialization of
, the vector-valued functions
converge uniformly to
together with all partial derivatives with respect to local coordinates. The space of all linear functionals is called the space of generalized sections of
and is denoted by
. The operator
takes convergent sequences to convergent sequences and therefore generates an adjoint operator
. The latter coincides with
on the subspace
and is called the extension of the given linear differential operator to the space of generalized sections. One also considers other extensions of linear differential operators, to spaces of generalized sections of infinite order, to the space of hyperfunctions, etc.
A linear differential operator of infinite order is understood to be an operator that acts in some space of analytic functions (sections) and is defined by (1), in which the summation is over an infinite set of indices
.
The following property characterizes linear differential operators. A sequence
is said to converge to a section
if
tends uniformly to
together with all partial derivatives in any coordinate neighbourhood that has compact closure. A linear operator
that takes convergent sequences to convergent sequences is a linear differential operator of order at most
if and only if for any
the function
![]() | (2) |
is a polynomial in the parameter
of degree at most
. If this condition is replaced by the assumption that (2) is represented by an asymptotic power series, then one obtains a definition of a linear pseudo-differential operator.
Suppose that the manifold
and also the bundles
and
are endowed with a
-structure, where
is a group. Then the action of this group on any linear differential operator
is defined by the formula
![]() |
A linear differential operator
is said to be invariant with respect to
if
for all
.
A bundle of jets is an object dual to the space of a linear differential operator. Again suppose that
is a vector bundle on a manifold
of class
. A bundle of
-jets of sections of
is a vector bundle
on
whose fibre over a point
is equal to
, where
is a fibre of the bundle
of germs of sections of
and
is the subspace of this fibre consisting of germs of sections for which all derivatives up to order
inclusive vanish at
. The linear differential operator
that acts according to the rule: the value of the section
at
is equal to the image of the section
in the quotient space
, is said to be universal. Next, suppose that
is a bundle on
and that
is a bundle homomorphism, that is, a linear differential operator of order zero. The composite
![]() | (3) |
is a linear differential operator of order at most
. Conversely, every linear differential operator of order at most
can be represented uniquely as a composition (3).
The symbol (principal system) of a linear differential operator
is the family of linear mappings
![]() |
depending on a point
of the cotangent bundle
. They act according to the formula
, where
is the homomorphism involved in (3),
, and
is the element of
equal to the image of
, where
is the germ of a function of class
such that
,
. If
has the form (1), then
![]() |
where
are the coordinates in a fibre of the bundle
; thus, the symbol is a form of degree
, homogeneous in
. In accordance with this construction of the symbol one introduces the concept of a characteristic. A characteristic of a linear differential operator
is a point
at which the symbol
has non-zero kernel.
The classification adopted in the theory of linear differential operators refers mainly to linear differential operators that act in bundles of the same dimension, in fact to operators of the form (1) where the coefficients are square matrices. A linear differential operator is said to be elliptic if it does not have real characteristics
with
(cf. also Elliptic partial differential equation). This class is characterized by the best local properties of solutions of the equation
, and also by the fact that boundary value problems in bounded domains are well-posed. The class of hyperbolic linear differential operators is also distinguished by a condition imposed only on the characteristics (cf. Hyperbolic partial differential equation). The property of being hyperbolic is closely connected with the well-posedness of the Cauchy problem with non-analytic data. The class of linear differential operators of principal type is specified by a condition imposed only on the symbol (cf. Principal type, partial differential operator of). A theory of local solvability and smoothness of solutions has been developed for such operators. The class of parabolic linear differential operators is distinguished by a condition related not only to the symbol but also to some lower-order terms (cf. Parabolic partial differential equation). Typical for parabolic linear differential operators are the mixed problem and the Cauchy problem with conditions at infinity. The class of hypo-elliptic linear differential operators is specified by the following informal condition: Every a priori generalized solution of the equation
with right-hand side from
itself belongs to
. A number of formal conditions on the expression (1) that guarantee that the operator is hypo-elliptic are known.
Apart from these fundamental types of linear differential operators, one sometimes talks about linear differential operators of mixed or variable type (cf. also Mixed-type differential equation), of linear differential operators of composite type, etc. One also considers problems in unbounded domains with conditions at infinity, boundary value problems with a free boundary, problems of spectral theory, problems of optimal control, etc.
A complex of linear differential operators is a sequence of linear differential operators
![]() |
in which
for all
. The cohomology of a complex of linear differential operators
is the cohomology of the complex of vector spaces
. Let
be the cohomology of this complex at the
-th term. The sum
is called the index of the complex of linear differential operators. Thus, the index of an elliptic complex of linear differential operators (that is, such that only finitely many
are non-zero, and the complex formed by the symbols of the linear differential operators
is exact at all points
) is finite in the case of compact
, and the search for formulas that express the index of such a complex in terms of its symbol is the content of a number of investigations that combine the theory of linear differential operators with algebraic geometry and algebraic topology (see Index formulas).
The definition of a symbol (and of characteristics) described above is not entirely satisfactory for linear differential operators that act in bundles of dimension greater than 1. One of the reasons for this is the fact that the equality
may be violated. The following complicated construction, which replaces the concept of the symbol, is more adequate. For every bundle
on a manifold
of class
one considers the sheaf
of germs of linear differential operators
, where
is the one-dimensional trivial bundle. By definition, the value of this sheaf on an open set
is the totality of all linear differential operators
. Let
be the subsheaf of it formed by the operators of order at most
. On
there is a structure of a sheaf of (non-commutative) algebras, and
has a structure of a left module over
, where the action of
on
is equal to the composite
. A given linear differential operator
determines a morphism of left
-modules
according to the law of composition
. Let
be the cokernel of this morphism. There is an exact sequence of left
-modules
![]() | (4) |
and the
-submodules
,
form an increasing filtration in
. The graded
-module
![]() |
is called the symbol module of the linear differential operator
. Since for any
and
the action of
on
takes
into
, in
there is a structure of a graded module over the graded algebra
. The annihilator of this module is a homogeneous ideal in
. The characteristic manifold of the operator
is the set of zeros of this ideal. Since the algebra
is isomorphic to the symmetric algebra of the tangent bundle
, the characteristic manifold is canonically imbedded in
, and its intersection with every fibre is an algebraic cone.
If the manifold
and the given bundles have real or complex analytic structure, then the characteristic manifold coincides with the set of roots of the ideal
. In this case it is a closed analytic subset of
, and if it is not empty its dimension is at least
. In the case when this dimension is equal to
, the linear differential operator
is said to be maximally overdetermined, or holonomic.
The formal theory of general linear differential operators is concerned with the concepts of formal integrability and the resolvent. The property of formal integrability, formalized in the dual terminology of jets, is equivalent to the condition that the
-module
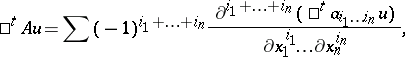
is locally free. The resolvent of a linear differential operator
is understood to be the sequence, extending (4),
![]() |
in which all the
,
are linear differential operators. In particular,
is called the compatibility operator for
. Formal integrability ensures the local existence of the resolvent.
In the literature use is made of the terms "overdetermined" and "underdetermined" for systems of differential equations; however, there is no satisfactory general definition. The following could serve as an approximation to such a definition: There is a non-zero linear differential operator
such that
(overdetermination),
(underdetermination). For example, the linear differential operator
equal to the restriction of the operator of exterior differentiation to forms of degree
on a manifold
of dimension
is underdetermined for
, overdetermined for
and holonomic for
.
The main problems studied for general linear differential operators are the following: The solvability of an equation with right-hand side
if a compatibility condition
is satisfied; the possibility of extending solutions of the equation
to a larger domain (an effect connected with overdetermination); and the representation of the general solution in terms of a solution of special form. The last problem can be stated more specifically for invariant operators, for example for linear differential operators in
with constant or periodic coefficients: To describe a representation of a group
in the space of solutions as an integral (in some sense) over all indecomposable subrepresentations. In determining operators with constant coefficients such a representation is specified by an integral with respect to exponents (exponential representation), and for operators with periodic coefficients by an integral with respect to Floquet-generalized solutions.
Linear differential operators are also defined on arbitrary algebraic structures. Let
be a commutative ring and let
and
be
-modules. A mapping of sets
is called a linear differential operator of order at most
if it is additive and for any element
the mapping
is a linear differential operator of order at most
. A linear differential operator of order at most
means the zero mapping. In particular, a linear differential operator of order zero is a homomorphism of
-modules, and conversely. Every derivation (cf. Derivation in a ring)
is a linear differential operator of the first order (or equal to zero). If
is an algebra over a field
, then a linear differential operator over
is a linear differential operator over the ring
that is a
-linear mapping. Such a linear differential operator has a number of the formal properties of ordinary linear differential operators. If
is the algebra of all formal power series over
or the algebra of convergent power series over
, and if
and
are free
-modules of finite type, then every linear differential operator
of order at most
can be written uniquely in the form (1).
Let
be a ringed space and let
and
be
-modules. A linear differential operator
is any sheaf morphism that acts in the fibres over every point
like a linear differential operator over the ring (algebra)
. Linear differential operators that act in modules or sheaves of modules have been used in a number of questions in algebraic geometry.
References
| [1] | J. Peetre, "Uniqueness in the Cauchy problem for elliptic equations with double characteristics" Math. Scand. , 8 (1960) pp. 116–120 |
| [2] | L. Hörmander, , Pseudo-differential operators , Moscow (1967) pp. 63–87; 166–296; 297–367 (In Russian; translated from English) MR0383152 Zbl 0167.09603 |
| [3] | I.N. Bernshtein, "The analytic continuation of generalized functions with respect to a parameter" Funct. Anal. Appl. , 6 : 4 (1972) pp. 273–285 Funktsional. Anal. i Prilozhen. , 6 : 4 (1972) pp. 26–40 |
| [4] | R. Courant, D. Hilbert, "Methods of mathematical physics. Partial differential equations" , 2 , Interscience (1965) (Translated from German) MR0195654 |
| [5] | A.N. [A.N. Tikhonov] Tichonoff, A.A. Samarskii, "Differentialgleichungen der mathematischen Physik" , Deutsch. Verlag Wissenschaft. (1959) (Translated from Russian) MR104888 |
| [6] | L.V. Hörmander, "The analysis of linear partial differential operators" , 1–4 , Springer (1983–1985) MR2512677 MR2304165 MR2108588 MR1996773 MR1481433 MR1313500 MR1065993 MR1065136 MR0961959 MR0925821 MR0881605 MR0862624 MR1540773 MR0781537 MR0781536 MR0717035 MR0705278 Zbl 1178.35003 Zbl 1115.35005 Zbl 1062.35004 Zbl 1028.35001 Zbl 0712.35001 Zbl 0687.35002 Zbl 0619.35002 Zbl 0619.35001 Zbl 0612.35001 Zbl 0601.35001 Zbl 0521.35002 Zbl 0521.35001 |
| [7] | V.P. Palamodov, "Linear differential operators with constant coefficients" , Springer (1970) (Translated from Russian) MR0264197 Zbl 0191.43401 |
| [8] | P. Hartman, "Ordinary differential equations" , Birkhäuser (1982) MR0658490 Zbl 0476.34002 |
| [9] | R.S. Palais, "Seminar on the Atiyah–Singer index theorem" , Princeton Univ. Press (1965) MR0198494 Zbl 0137.17002 |
| [10] | V.P. Palamodov, "Systems of linear differential equations" Itogi Nauk. Mat. Anal. 1968 (1969) pp. 5–37 (In Russian) MR0369889 Zbl 0245.35002 |
| [11] | J.-E. Björk, "Rings of differential operators" , North-Holland (1979) MR0549189 Zbl 0499.13009 |
| [12] | M. Kashiwara, "Microfunctions and pseudodifferential equations" H. Komatsu (ed.) , Hyperfunctions and pseudodifferential equations. Proc. Conf. Katata, 1971 , Lect. notes in math. , 287 , Springer (1973) pp. 265–529 MR420735 |
Comments
Cf. also Differential operator; Differential operator on a module;
-module; Hyperfunction; Microlocal analysis.
Linear differential operator. Encyclopedia of Mathematics. URL: http://encyclopediaofmath.org/index.php?title=Linear_differential_operator&oldid=18859















