Namespaces
Variants
Actions

Difference between revisions of "Everett interpolation formula"

From Encyclopedia of Mathematics
Jump to: navigation, search
(Importing text file)
 
(→‎References: Everett (1900))
Line 52: Line 52:
  
 
====References====
 
====References====
<table><TR><TD valign="top">[a1]</TD> <TD valign="top">  P.J. Davis,  "Interpolation and approximation" , Dover, reprint  (1975)  pp. 108–126</TD></TR><TR><TD valign="top">[a2]</TD> <TD valign="top">  A.J. Thomson,  "Table of the coefficients of Everett's central differrence interpolation formula" , Cambridge Univ. Press  (1965)</TD></TR></table>
+
<table>
 +
<TR><TD valign="top">[a1]</TD> <TD valign="top">  P.J. Davis,  "Interpolation and approximation" , Dover, reprint  (1975)  pp. 108–126</TD></TR>
 +
<TR><TD valign="top">[a2]</TD> <TD valign="top">  A.J. Thomson,  "Table of the coefficients of Everett's central difference interpolation formula" , Cambridge Univ. Press  (1965)</TD></TR>
 +
<TR><TD valign="top">[b1]</TD> <TD valign="top">  J. D. Everett, "On interpolation formulae", ''Quarterly J.'' '''32''' (1900) 306-313 {{ZBL|32.0271.01}}</TD></TR>
 +
<TR><TD valign="top">[b2]</TD> <TD valign="top">  Maurice V. Wilkes, "A short introduction to numerical analysis", Cambridge University Press (1966) ISBN 0-521-09412-7 {{ZBL|0149.10902}}</TD</TR>
 +
</table>

Revision as of 16:32, 3 January 2015

A method of writing the interpolation polynomial obtained from the Gauss interpolation formula for forward interpolation at with respect to the nodes , that is,

without finite differences of odd order, which are eliminated by means of the relation

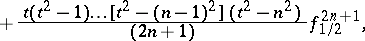
Adding like terms yields Everett's interpolation formula

(1)

where and

(2)

Compared with other versions of the interpolation polynomial, formula (1) reduces approximately by half the amount of work required to solve the problem of table condensation; for example, when a given table of the values of a function at is to be used to draw up a table of the values of the same function at , , where is an integer, the values for are computed be means of the formula

and is used to find both values .

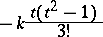
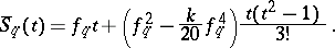
In manual calculation, in the case it is advisable to approximate the coefficient of in (2) by

and instead of to compute

The parameter can be chosen, for example, from the condition that the principal part of

where

has a minimum value. In this case .

References

[1] I.S. Berezin, N.P. Zhidkov, "Computing methods" , Pergamon (1973) (Translated from Russian)
[2] N.S. Bakhvalov, "Numerical methods: analysis, algebra, ordinary differential equations" , MIR (1977) (Translated from Russian)


Comments

References

[a1] P.J. Davis, "Interpolation and approximation" , Dover, reprint (1975) pp. 108–126
[a2] A.J. Thomson, "Table of the coefficients of Everett's central difference interpolation formula" , Cambridge Univ. Press (1965)
[b1] J. D. Everett, "On interpolation formulae", Quarterly J. 32 (1900) 306-313 Zbl 32.0271.01
[b2] Maurice V. Wilkes, "A short introduction to numerical analysis", Cambridge University Press (1966) ISBN 0-521-09412-7 Zbl 0149.10902</TD
How to Cite This Entry:
Everett interpolation formula. Encyclopedia of Mathematics. URL: http://encyclopediaofmath.org/index.php?title=Everett_interpolation_formula&oldid=18723
This article was adapted from an original article by M.K. Samarin (originator), which appeared in Encyclopedia of Mathematics - ISBN 1402006098. See original article