Difference between revisions of "Bernstein-von Mises theorem"
(Importing text file) |
Ulf Rehmann (talk | contribs) m (moved Bernstein–von Mises theorem to Bernstein-von Mises theorem: ascii title) |
(No difference)
| |
Revision as of 18:50, 24 March 2012
Let
be independent identically distributed random variables with a probability density depending on a parameter
(cf. Random variable; Probability distribution). Suppose that an a priori distribution for
is chosen. One of the fundamental theorems in the asymptotic theory of Bayesian inference (cf. Bayesian approach) is concerned with the convergence of the a posteriori density of
, given
, to the normal density. In other words, the a posteriori distribution tends to look like a normal distribution asymptotically. This phenomenon was first noted in the case of independent and identically distributed observations by P.S. Laplace. A related, but different, result was proved by S.N. Bernstein [a2], who considered the a posteriori distribution of
given the average
. R. von Mises [a12] extended the result to a posteriori distributions conditioned by a finite number of differentiable functionals of the empirical distribution function. L. Le Cam [a5] studied the problem in his work on asymptotic properties of maximum likelihood and related Bayesian estimates. The Bernstein–von Mises theorem about convergence in the
-mean for the case of independent and identically distributed random variables reads as follows, see [a3].
Let
,
, be independent identically distributed random variables with probability density
,
. Suppose
is open and
is an a priori probability density on
which is continuous and positive in an open neighbourhood of the true parameter
. Let
. Suppose that
and
exist and are continuous in
. Further, suppose that
is continuous, with
. Let
be a non-negative function satisfying
![]() |
for some
. Let
be a maximum-likelihood estimator of
based on
(cf. Maximum-likelihood method) and let
be the corresponding likelihood function. It is known that under certain regularity conditions there exists a compact neighbourhood
of
such that:
almost surely;
for large
;
converges in distribution (cf. Convergence in distribution) to the normal distribution with mean
and variance
as
.
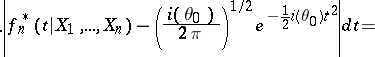
Let
denote the a posteriori density of
given the observation
and the a priori probability density
, that is,
![]() |
Let
. Then
is the a posteriori density of
.
A generalized version of the Bernstein–von Mises theorem, under the assumptions stated above and some addition technical conditions, is as follows.
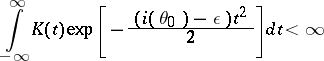
If, for every
and
,
![]() |
then
![]() |
![]() |
![]() |
For
one finds that the a posteriori density converges to the normal density in
-mean convergence. The result can be extended to a multi-dimensional parameter. As an application of the above theorem, it can be shown that the Bayesian estimator is strongly consistent and asymptotically efficient for a suitable class of loss functions (cf. [a11]). For rates of convergence see [a4], [a7], [a8].
B.L.S. Prakasa Rao [a6] has generalized the result to arbitrary discrete-time stochastic processes (cf. [a1]); for extensions to diffusion processes and diffusion fields, see [a9], [a10].
References
| [a1] | I.V. Basawa, B.L.S. Prakasa Rao, "Statistical inference for stochastic processes" , Acad. Press (1980) |
| [a2] | S.N. Bernstein, "Theory of probability" (1917) (In Russian) |
| [a3] | J.D. Borwanker, G. Kallianpur, B.L.S. Prakasa Rao, "The Bernstein–von Mises theorem for Markov processes" Ann. Math. Stat. , 43 (1971) pp. 1241–1253 |
| [a4] | C. Hipp, R. Michael, "On the Bernstein–von Mises approximation of posterior distribution" Ann. Stat. , 4 (1976) pp. 972–980 |
| [a5] | L. Le Cam, "On some asymptotic properties of maximum likelihood estimates and related Bayes estimates" Univ. California Publ. Stat. , 1 (1953) pp. 277–330 |
| [a6] | B.L.S. Prakasa Rao, "Statistical inference for stochastic processes" G. Sankaranarayanan (ed.) , Proc. Advanced Symp. on Probability and its Applications , Annamalai Univ. (1976) pp. 43–150 |
| [a7] | B.L.S. Prakasa Rao, "Rate of convergence of Bernstein–von Mises approximation for Markov processes" Serdica , 4 (1978) pp. 36–42 |
| [a8] | B.L.S. Prakasa Rao, "The equivalence between (modified) Bayes estimator and maximum likelihood estimator for Markov processes" Ann. Inst. Statist. Math. , 31 (1979) pp. 499–513 |
| [a9] | B.L.S. Prakasa Rao, "The Bernstein–von Mises theorem for a class of diffusion processes" Teor. Sluch. Prots. , 9 (1981) pp. 95–104 (In Russian) |
| [a10] | B.L.S. Prakasa Rao, "On Bayes estimation for diffusion fields" J.K. Ghosh (ed.) J. Roy (ed.) , Statistics: Applications and New Directions , Statistical Publishing Soc. (1984) pp. 504–511 |
| [a11] | B.L.S. Prakasa Rao, "Asymptotic theory of statistical inference" , Wiley (1987) |
| [a12] | R. von Mises, "Wahrscheinlichkeitsrechnung" , Springer (1931) |
Bernstein-von Mises theorem. Encyclopedia of Mathematics. URL: http://encyclopediaofmath.org/index.php?title=Bernstein-von_Mises_theorem&oldid=16482





