Difference between revisions of "Gamma-distribution"
(Importing text file) |
Ulf Rehmann (talk | contribs) m (MR/ZBL numbers added) |
||
| Line 23: | Line 23: | ||
<table class="eq" style="width:100%;"> <tr><td valign="top" style="width:94%;text-align:center;"><img align="absmiddle" border="0" src="https://www.encyclopediaofmath.org/legacyimages/g/g043/g043300/g04330021.png" /></td> </tr></table> | <table class="eq" style="width:100%;"> <tr><td valign="top" style="width:94%;text-align:center;"><img align="absmiddle" border="0" src="https://www.encyclopediaofmath.org/legacyimages/g/g043/g043300/g04330021.png" /></td> </tr></table> | ||
| − | Gamma-distributions play a significant, though not always an explicit, role in applications. In the particular case of <img align="absmiddle" border="0" src="https://www.encyclopediaofmath.org/legacyimages/g/g043/g043300/g04330022.png" /> one obtains the exponential density. In queueing theory, the gamma-distribution for an <img align="absmiddle" border="0" src="https://www.encyclopediaofmath.org/legacyimages/g/g043/g043300/g04330023.png" /> which assumes integer values is known as the [[Erlang distribution|Erlang distribution]]. In mathematical statistics gamma-distributions frequently occur owing to the close connection with the normal distribution, since the sum of the squares <img align="absmiddle" border="0" src="https://www.encyclopediaofmath.org/legacyimages/g/g043/g043300/g04330024.png" /> of independent <img align="absmiddle" border="0" src="https://www.encyclopediaofmath.org/legacyimages/g/g043/g043300/g04330025.png" /> normally-distributed random variables has density <img align="absmiddle" border="0" src="https://www.encyclopediaofmath.org/legacyimages/g/g043/g043300/g04330026.png" /> and is known as the | + | Gamma-distributions play a significant, though not always an explicit, role in applications. In the particular case of <img align="absmiddle" border="0" src="https://www.encyclopediaofmath.org/legacyimages/g/g043/g043300/g04330022.png" /> one obtains the exponential density. In queueing theory, the gamma-distribution for an <img align="absmiddle" border="0" src="https://www.encyclopediaofmath.org/legacyimages/g/g043/g043300/g04330023.png" /> which assumes integer values is known as the [[Erlang distribution|Erlang distribution]]. In mathematical statistics gamma-distributions frequently occur owing to the close connection with the normal distribution, since the sum of the squares <img align="absmiddle" border="0" src="https://www.encyclopediaofmath.org/legacyimages/g/g043/g043300/g04330024.png" /> of independent <img align="absmiddle" border="0" src="https://www.encyclopediaofmath.org/legacyimages/g/g043/g043300/g04330025.png" /> normally-distributed random variables has density <img align="absmiddle" border="0" src="https://www.encyclopediaofmath.org/legacyimages/g/g043/g043300/g04330026.png" /> and is known as the "chi-squared" distribution with <img align="absmiddle" border="0" src="https://www.encyclopediaofmath.org/legacyimages/g/g043/g043300/g04330027.png" /> degrees of freedom. For this reason the gamma-distribution is involved in many important distributions in problems of mathematical statistics dealing with quadratic forms of normally-distributed random variables (e.g. the [[Student distribution|Student distribution]], the [[Fisher-F-distribution|Fisher <img align="absmiddle" border="0" src="https://www.encyclopediaofmath.org/legacyimages/g/g043/g043300/g04330028.png" />-distribution]] and the [[Fisher-z-distribution(2)|Fisher <img align="absmiddle" border="0" src="https://www.encyclopediaofmath.org/legacyimages/g/g043/g043300/g04330029.png" />-distribution]]). If <img align="absmiddle" border="0" src="https://www.encyclopediaofmath.org/legacyimages/g/g043/g043300/g04330030.png" /> and <img align="absmiddle" border="0" src="https://www.encyclopediaofmath.org/legacyimages/g/g043/g043300/g04330031.png" /> are independent and are distributed with densities <img align="absmiddle" border="0" src="https://www.encyclopediaofmath.org/legacyimages/g/g043/g043300/g04330032.png" /> and <img align="absmiddle" border="0" src="https://www.encyclopediaofmath.org/legacyimages/g/g043/g043300/g04330033.png" />, then the random variable <img align="absmiddle" border="0" src="https://www.encyclopediaofmath.org/legacyimages/g/g043/g043300/g04330034.png" /> has density |
<table class="eq" style="width:100%;"> <tr><td valign="top" style="width:94%;text-align:center;"><img align="absmiddle" border="0" src="https://www.encyclopediaofmath.org/legacyimages/g/g043/g043300/g04330035.png" /></td> </tr></table> | <table class="eq" style="width:100%;"> <tr><td valign="top" style="width:94%;text-align:center;"><img align="absmiddle" border="0" src="https://www.encyclopediaofmath.org/legacyimages/g/g043/g043300/g04330035.png" /></td> </tr></table> | ||
| − | which is known as the density of the beta-distribution. The densities of linear functions <img align="absmiddle" border="0" src="https://www.encyclopediaofmath.org/legacyimages/g/g043/g043300/g04330036.png" /> of random variables <img align="absmiddle" border="0" src="https://www.encyclopediaofmath.org/legacyimages/g/g043/g043300/g04330037.png" /> obeying the gamma-distribution constitute a special class of distributions — the so-called | + | which is known as the density of the beta-distribution. The densities of linear functions <img align="absmiddle" border="0" src="https://www.encyclopediaofmath.org/legacyimages/g/g043/g043300/g04330036.png" /> of random variables <img align="absmiddle" border="0" src="https://www.encyclopediaofmath.org/legacyimages/g/g043/g043300/g04330037.png" /> obeying the gamma-distribution constitute a special class of distributions — the so-called "type III" family of Pearson distributions. The density of the gamma-distribution is the weight function of the system of orthogonal [[Laguerre polynomials|Laguerre polynomials]]. The values of the gamma-distribution may be calculated from tables of the incomplete gamma-function [[#References|[1]]], [[#References|[2]]]. |
====References==== | ====References==== | ||
| − | <table><TR><TD valign="top">[1]</TD> <TD valign="top"> | + | <table><TR><TD valign="top">[1]</TD> <TD valign="top"> V.I. Pagurova, "Tables of the incomplete gamma-function" , Moscow (1963) (In Russian) {{MR|0159040}} {{ZBL|}} </TD></TR><TR><TD valign="top">[2]</TD> <TD valign="top"> K. Pearson (ed.) , ''Tables of the incomplete gamma function'' , Cambridge Univ. Press (1957)</TD></TR></table> |
| Line 38: | Line 38: | ||
====References==== | ====References==== | ||
| − | <table><TR><TD valign="top">[a1]</TD> <TD valign="top"> | + | <table><TR><TD valign="top">[a1]</TD> <TD valign="top"> N.L. Johnson, S. Kotz, "Distributions in statistics" , '''1. Continuous univariate distributions''' , Wiley (1970) {{MR|0270476}} {{MR|0270475}} {{ZBL|0213.21101}} </TD></TR><TR><TD valign="top">[a2]</TD> <TD valign="top"> L.J. Comrie, "Chambers's six-figure mathematical tables" , '''II''' , Chambers (1949)</TD></TR></table> |
Revision as of 17:32, 31 March 2012
A continuous probability distribution concentrated on the positive semi-axis
with density
![]() |
where
is a parameter assuming positive values, and
is Euler's gamma-function:
![]() |
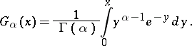
The corresponding distribution function for
is zero, and for
it is expressed by the formula
![]() |
The integral on the right-hand side is called the incomplete gamma-function. The density
is unimodal and for
it attains the maximum
at the point
. If
the density
decreases monotonically with increasing
, and if
,
increases without limit. The characteristic function of the gamma-distribution has the form
![]() |
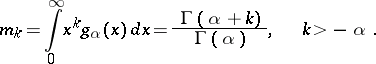
The moments of the gamma-distribution are given by the formula
![]() |
In particular, the mathematical expectation and variance are equal to
. The set of gamma-distributions is closed with respect to the operation of convolution:
![]() |
Gamma-distributions play a significant, though not always an explicit, role in applications. In the particular case of
one obtains the exponential density. In queueing theory, the gamma-distribution for an
which assumes integer values is known as the Erlang distribution. In mathematical statistics gamma-distributions frequently occur owing to the close connection with the normal distribution, since the sum of the squares
of independent
normally-distributed random variables has density
and is known as the "chi-squared" distribution with
degrees of freedom. For this reason the gamma-distribution is involved in many important distributions in problems of mathematical statistics dealing with quadratic forms of normally-distributed random variables (e.g. the Student distribution, the Fisher
-distribution and the Fisher
-distribution). If
and
are independent and are distributed with densities
and
, then the random variable
has density
![]() |
which is known as the density of the beta-distribution. The densities of linear functions
of random variables
obeying the gamma-distribution constitute a special class of distributions — the so-called "type III" family of Pearson distributions. The density of the gamma-distribution is the weight function of the system of orthogonal Laguerre polynomials. The values of the gamma-distribution may be calculated from tables of the incomplete gamma-function [1], [2].
References
| [1] | V.I. Pagurova, "Tables of the incomplete gamma-function" , Moscow (1963) (In Russian) MR0159040 |
| [2] | K. Pearson (ed.) , Tables of the incomplete gamma function , Cambridge Univ. Press (1957) |
Comments
References
| [a1] | N.L. Johnson, S. Kotz, "Distributions in statistics" , 1. Continuous univariate distributions , Wiley (1970) MR0270476 MR0270475 Zbl 0213.21101 |
| [a2] | L.J. Comrie, "Chambers's six-figure mathematical tables" , II , Chambers (1949) |
Gamma-distribution. Encyclopedia of Mathematics. URL: http://encyclopediaofmath.org/index.php?title=Gamma-distribution&oldid=18532






