Wigner-Weyl transform
Weyl–Wigner transform
Let
,
, be a ray in
. Then, for each
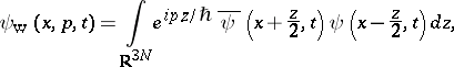
, the Wigner transform of
is
![]() |
where
is Planck's constant. The quantity
is called the Wigner function. It was introduced by E.P. Wigner in 1932, [a1], who interpreted
as a quasi-probability density in the phase space
and showed that it obeyed a kinetic pseudo-differential equation (the Wigner equation) of the form
, where
is a pseudo-differential operator with symbol defined by the potential energy of the system. Wigner went on to discuss how
might be used to calculate quantities of physical interest. In particular, the density is
. Since, in general, the potential energy depends on the density, the Wigner equation is non-linear.
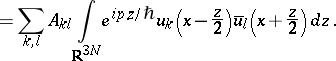
Generalizing to a mixed state, described not by a wave function but by a von Neumann density matrix [a2]
![]() |
(
is the projection onto the vector
):
![]() |
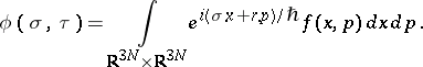
Generalizing further, let
be a (bounded) operator on
. Let
be a basis for
and write
for
, where
is the inner product in
. Then the Wigner transform
of the operator
is
![]() |
![]() |
In particular, if
is a trace-class operator on
and
is bounded as above,
![]() |
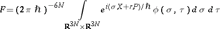
The Wigner transform of an operator is related to the Weyl transform [a3] of a phase-space function, introduced by H. Weyl in 1950 in an attempt to relate classical and quantum mechanics. Indeed, let
be an appropriate function in
(see [a4] for a definition of "appropriate" ). Then the Weyl transform of
,
, is defined in terms of the Fourier transform
of
as [a5]
![]() |
Here,
is the operator
![]() |
and
is the multiplication operator on
defined by
and
. These are the usual position and momentum operators of quantum mechanics [a2]. The Weyl and Wigner transforms are mutual inverses:
and
[a5].
Serious mathematical interest in the Wigner transform revived in 1985, when H. Neunzert published [a6]. Since then, most mathematical attention has been paid to existence-uniqueness theory for the Wigner equation in
and, more recently, in a closed proper subset of
,
. While the situation in
is pretty well understood, [a7], [a8] the more practical latter situation is still under study (1998), the main problem being the question of appropriate boundary conditions [a9].
References
| [a1] | E. Wigner, "On the quantum correction for thermodynamic equilibrium" Phys. Rev. , 40 (1932) pp. 749–759 |
| [a2] | J. von Neumann, "Mathematical foundations of quantum mechanics" , Princeton Univ. Press (1955) |
| [a3] | H. Weyl, "The theory of groups and quantum mechanics" , Dover (1950) |
| [a4] | G.B. Folland, "Harmonic analysis in phase space" , Princeton Univ. Press (1989) |
| [a5] | P.F. Zweifel, "The Wigner transform and the Wigner–Poisson system" Trans. Theor. Stat. Phys. , 22 (1993) pp. 459–484 |
| [a6] | H. Neunzert, "The nuclear Vlasov equation: methods and results that can (not) be taken over from the "classical" case" Il Nuovo Cimento , 87A (1985) pp. 151–161 |
| [a7] | F. Brezzi, P. Markowich, "The three-dimensional Wigner–Poisson problem: existence, uniqueness and approximation" Math. Meth. Appl. Sci. , 14 (1991) pp. 35 |
| [a8] | R. Illner, H. Lange, P.F. Zweifel, "Global existence and asymptotic behaviour of solutions of the Wigner–Poisson and Schrödinger–Poisson systems" Math. Meth. Appl. Sci. , 17 (1994) pp. 349–376 |
| [a9] | P.F. Zweifel, B. Toomire, "Quantum transport theory" Trans. Theor. Stat. Phys. , 27 (1998) pp. 347–359 |
Wigner-Weyl transform. Encyclopedia of Mathematics. URL: http://encyclopediaofmath.org/index.php?title=Wigner-Weyl_transform&oldid=11631







